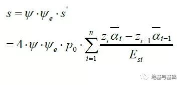
对于桩中心距不大于6倍桩径的桩基,其最终沉降量计算可采用等效作用分层总和法。等效作用面位于桩端平面,等效作用面积为桩承台投影面积,等效作用附加压力近似取承台底平均附加压力。等效作用面以下的应力分布采用各向同性均质直线变形体理论。
(1)计算模式如图所示,桩基任一点最终沉降量可用角点法按下式计算:

式中:
s——桩基最终沉降量,mm;
sl——采用布辛奈斯克解,按实体深基础分层总和法计算出的桩基沉降量,mm;
ψ——桩基沉降计算经验系数;
ψe——桩基等效沉降系数;
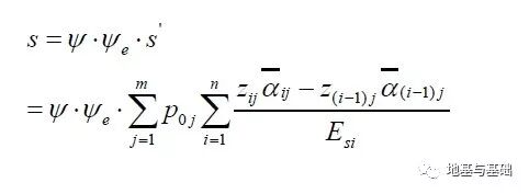
m——角点法计算点对应的矩形荷载分块数;
p0j——第j块矩形底面在荷载效应准永久组合下的附加压力,kPa;
n——桩基沉降计算深度范围内所划分的土层数;
Esi——等效作用面以下第i层土的压缩模量,MPa,采用地基土在自重压力至自重压力加附加压力作用时的压缩模量;
zij、z(i-1)j——桩端平面第j块荷载作用面至第i层土、第i-1层土底面的距离,m;
——桩端平面第j块荷载计算点至第i层土、第i-1层土底面深度范围内平均附加应力系数。
(2)计算矩形底面中点沉降时,桩基沉降量可按下式简化计算:

(3)桩基沉降计算深度zn应按应力比法确定,即计算深度处的附加应力与土的自重应力应符合下列公式要求:

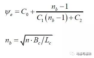
(4)桩基等效沉降系数ψe可按下列公式简化计算:

式中:
nb——矩形布桩时的短边布桩数,当布桩不规则时可按上式近似计算应满足nb >1, nb =1时,可按Mindlin法计算沉降;
C0、C1、C2——根据群桩距径比sa/d、长径比L/d及基础长宽比Lc/Bc,按桩基规范附录E确定;
Lc、Bc、n——分别为矩形承台的长、宽及总桩数。
当布桩不规则时,等效距径比可按下列公式近似计算:

式中:
A——桩基承台总面积;
b——方形桩截面边长。
(5)当无当地可靠经验时,桩基沉降计算经验系数ψ可按表选用。对于采用后注浆施工工艺的灌注桩,桩基沉降计算经验系数应根据桩端持力土层类别,乘以0.7(砂、砾、卵石)~0.8(黏性土、粉土)折减系数;饱和土中采用预制桩(不含复打、复压、引孔沉桩)时,应根据桩距、土质、沉桩速率和顺序等因素,乘以1.3~1.8挤土效应系数,土的渗透性低,桩距小,桩数多,沉降速率快时取大值。

(6)计算桩基沉降时,应考虑相邻基础的影响,采用叠加原理计算;桩基等效沉降系数可按独立基础计算。
(7)当桩基形状不规则时,可采用等代矩形面积计算桩基等效沉降系数,等效矩形的长宽比可根据承台实际尺寸和形状确定。
内容源于网络,如有侵权,请联系删除
相关资料推荐:
知识点:桩基沉降计算的等效作用分层总和法
0人已收藏
0人已打赏
免费8人已点赞
分享
地基基础
返回版块12.11 万条内容 · 717 人订阅
回帖成功
经验值 +10
全部回复(4 )
只看楼主 我来说两句-
楼中楼
沙发
2022-09-13 19:54:13
赞同0
-
静谧2005
板凳
2022-09-13 11:45:13
赞同0
加载更多这个挺好的,学习一下
回复 举报
很不错,学习啦,谢谢。![]()
![]()
![]()
回复 举报