土木在线论坛 \ 建筑结构 \ 地基基础 \ 筏形基础基底压力计算及地基承载力验算

筏形基础基底压力计算及地基承载力验算

发布于:2022-09-08 14:33:08 来自:建筑结构/地基基础 [复制转发]
当上部结构和基础刚度足够大时,工程中可采用简化计算法,即假设基础为绝对刚性,基底反力呈线性分布。其平面尺寸应根据地基土的承载能力、上部结构的布置及荷载分布等因素按计算确定;在上部结构荷载和基础自重的共同作用下,按正常使用极限状态下的荷载效应标准组合时,基底压力平均值及基底边缘的最大压力值和修正后的地基持力层承载力特征值之间应满足:

      地基承载力应满足下面要求:

图片

式中:

   pk——相应于荷载效应标准组合时,基础底面处的平均压力值,kPa
       pkmax——相应于荷载效应标准组合时,基础底面边缘的最大压力值,kPa
       fa——修正后的地基持力层承载力特征值,kPa。 

图片

↑筏形基础基底反力

 
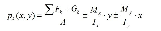
    基底任一点(xy)处的压力可按下式计算:

图片

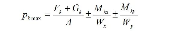
    验算地基承载力,只需要求出极值点的基底压力,极值点的位置在基础的角点。基底压力最大值与最小值可按下式计算: 


            

图片

式中:  
Fk——相应于荷载效应标准组合时,上部结构传至基础顶面的竖向力值,kN;
Gk——基础自重和基础上的土重,kN;
Mkx——相应于荷载效应标准组合时,上部结构传至基础顶面的竖向力值对基底x轴的合力矩,kN·m;
Mky——相应于荷载效应标准组合时,上部结构传至基础顶面的竖向力值对基底y轴的合力矩,kN·m;
Wx——基础底面对x轴的抵抗矩,m3
Wy——基础底面对y轴的抵抗矩,m3
    在使用这个式子计算时,要先定出x轴和y轴。由于力矩对坐标轴也有方向,体现在数值上就有正负号。
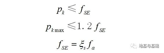
在地震区,pk及pkmax应为考虑地震效应组合后的基底压力平均值和基底边缘最大压力值,要求满足:

图片

 

式中 fSE——经修正、调整后的地基土抗震承载力特征值,kPa;
  ξs——地基土抗震承载力调整系数;应用时,按现行《建筑抗震设计规范》中的有关规定采用。


    基础底面积除应满足持力层地基承载力要求外,如有软弱下卧层,还 验算软弱下卧层

内容源于网络,如有侵权,请联系删除


相关资料推荐:

地基承载力计算

独立基础基底尺寸的直接计算方法


知识点:筏形基础基底压力计算及地基承载力验算

全部回复(0 )

只看楼主 我来说两句抢沙发
这个家伙什么也没有留下。。。

地基基础

返回版块

12.11 万条内容 · 717 人订阅

猜你喜欢

阅读下一篇

筏形基础概述

当地基承载力较差,上部结构荷载较大,采用交叉条形基础也不能满足要求,或者地下水位长年处于地下室的底板以上时,可以用钢筋混凝土做成连续整片基础,即筏形基础(也称筏板基础,英文raft foundation)。筏形基础由于基底面积大,可减小基底压力,有更大的整体刚度,有利于调整地基的不均匀沉降,较能适应上部结构荷载分布的变化,在多、高层建筑中广泛应用。多层住宅建在软弱地基上采用墙下筏板基础,是一种安全、经济、施工方便的方案。带地下室的建筑,为使用方便和防渗要求,也常采用筏板基础。

回帖成功

经验值 +10