(1) 锥形基础的边缘高度不宜小于200mm,且两个方向的坡度不宜大于1:3;阶梯形基础的每阶高度宜为300mm~500mm。
(2)垫层的厚度不宜小于70mm,垫层混凝土强度等级不宜低于C10。
(3)扩展基础受力钢筋最小配筋率不应小于0.15%,底板受力钢筋的最小直径不应小于10mm;间距不应大于200mm,也不应小于100mm。当有垫层时钢筋保护层的厚度不应小于40mm;无垫层时不应小于70mm。
(5)当柱下钢筋混凝土独立基础的边长大于或等于2.5m时,底板受力钢筋的长度可取边长的0.9倍,并宜交错布置,如下图所示。

(6)钢筋混凝土柱和剪力墙纵向受力钢筋在基础内的锚固长度应符合下列规定:
1)钢筋混凝土柱和剪力墙纵向受力钢筋在基础内的锚固长度(la)应根据现行国家标准《混凝土结构设计规范》GB 50010 有关规定确定。
2)抗震设防烈度为 6 度、7 度、8 度和 9 度地区的建筑工程,纵向受力钢筋的抗震锚固长度(laE)应按下式计算:

3)当基础高度小于 la(laE)时,纵向受力钢筋的锚固总长度除符合上述要求外,其最小直锚段的长度不应小于 20d,弯折段的长度不应小于 150mm。
(7)现浇柱的基础,其插筋的数量、直径以及钢筋种类应与柱内纵向受力钢筋相同。插筋的锚固长度应满足第(6)条的规定,插筋与柱的纵向受力钢筋的连接方法,应符合现行国家标准《混凝土结构设计规范》GB 50010 的有关规定。插筋的下端宜做成直钩放在基础底板钢筋网上。当符合下列条件之一时,可仅将四角的插筋伸至底板钢筋网上,其余插筋锚固在基础顶面下 la 或 laE 处。
1)柱为轴心受压或小偏心受压,基础高度大于或等于 1200mm。
2)柱为大偏心受压,基础高度大于或等于 1400mm。
(8)有关杯口基础的构造要求详见《建筑地基基础设计规范》GB50007有关规定。
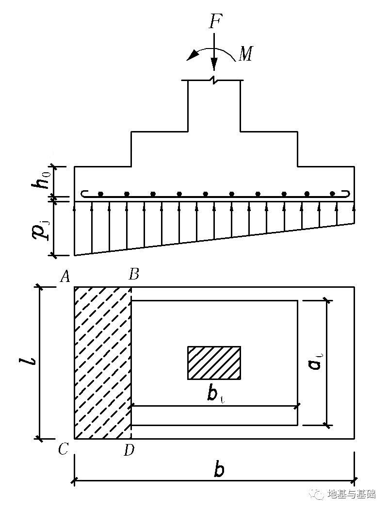
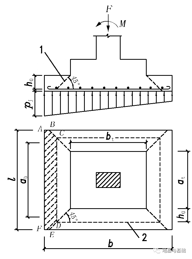
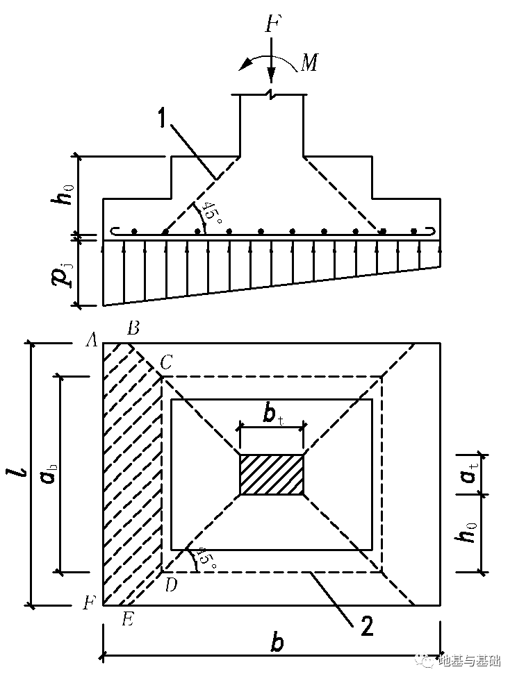
①对柱下独立基础,当冲切破坏锥体落在基础底面以内时,应验算柱与基础交接处以及基础变阶处的受冲切承载力。
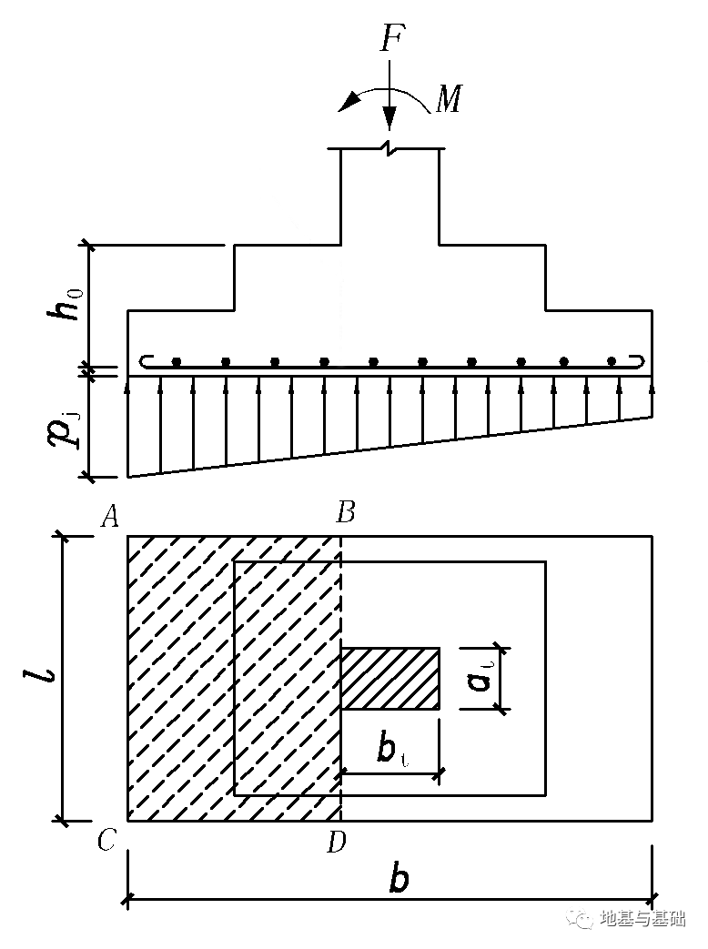
②对基础底面短边尺寸小于或等于柱宽加两倍基础有效高度的柱下独立基础,应验算柱与基础交接处的基础受剪切承载力。
④当基础的混凝土强度等级小于柱的混凝土强度等级时,尚应验算柱下基础顶面的局部受压承载力。
在柱荷载作用下,如果基础的高度或阶梯高度不足,基础将沿着柱周边或阶梯变阶处产生冲切破坏,形成45°斜裂面的锥体。因此,设计时应验算基础的受冲切承载力,即由冲切破坏锥体以外的地基净反力所产生的冲切力不应大于冲切面处混凝土的抗冲切能力。对于矩形基础,短边一侧冲切破坏一般比长边方向危险,故通常只需验算短边一侧的基础受冲切承载力来确定底板的厚度。对于矩形截面的基础,应验算柱与基础交接处及基础变台阶处的受冲切承载力。

柱下钢筋混凝土独立基础的受冲切承载力应按下式验算:

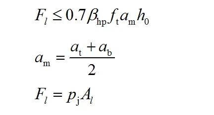
βhp——受冲切承载力截面高度影响系数,当h≤800mm时,βhp=1.0;当h≥2000mm时,βhp=0.9,其间按线性内插法取用;
at——冲切破坏锥体最不利一侧斜截面的上边长(m),当计算柱与基础交接处的受冲切承载力时,取柱宽;当计算基础变阶处的受冲切承载力时,取上阶宽;
ab——冲切破坏锥体最不利一侧斜截面在基础底面积范围内的下边长(m),当冲切破坏锥体的底面落在基础底面以内(见下图),计算柱与基础交接处的受冲切承载力时,取柱宽加两倍基础有效高度;当冲切破坏锥体的底面落在基础底面以外时,取基础底面宽度;当计算基础变阶处的受冲切承载力时,取上阶宽加两倍该处的基础有效高度。
pj——扣除基础自重及其上土重后相应于作用的基本组合时的地基土单位面积净反力(kPa),对偏心受压基础可取基础边缘处最大地基土单位面积净反力;
Al——冲切验算时取用的部分基底面积(m2)(图中的阴影面积ABCDEF);
Fl——相应于作用的基本组合时作用在Al上的地基土净反力设计值(kPa)。


↑计算阶形基础的受冲切承载力截面位置示意图
图中1-代表冲切破坏锥体最不利一侧的斜截面;
图中2-代表冲切破坏锥体的底
面线

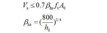
当l≤at+2h0时,应按下列公式验算柱与基础交接处截面受剪承载力:

式中:
Vs ——柱与基础交接处的剪力设计值(kN),图中的阴影面积乘以基底平均净反力;
βhs——受剪切承载力截面高度影响系数,当h0<800mm时,取h0=800mm;当h0>2000mm时,取h0=2000mm;
A0——验算截面处基础的有效截面面积(m2)。当验算截面为阶形或锥形时,可将其截面折算成矩形截面,截面的折算宽度和截面的有效高度按《建筑地基基础设计规范》GB50007附录U计算。


在地基净反力作用下,基础沿柱的周边发生双向弯曲,所以两个方向均应配受力钢筋,钢筋面积按两个方向的最大弯矩分别计算。

在轴心荷载或单向偏心荷载作用下,当台阶的宽高比小于或等于2.5和偏心距小于或等于1/6基础宽度时,柱下矩形独立基础任意截面的底板弯矩可按下列简化方法进行计算,如下图所示。
式中:
MⅠ、MⅡ——任意截面Ⅰ-Ⅰ、Ⅱ-Ⅱ处相应于作用的基本组合时的弯矩设计值(kN·m);
a1——任意截面Ⅰ-Ⅰ至基底边缘最大反力处的距离(m);
pmax、pmin——相应于作用的基本组合时的基础底面边缘最大和最小地基反力设计值(kPa);
p——相应于作用的基本组合时在任意截面I-I处基础底面地基反力设计值(kPa);
G——考虑作用分项系数的基础自重及其上的土自重(kN);当组合值由永久作用控制时,作用分项系数可取1.35;
pjmax、pjmin——相应于作用的基本组合时的基础底面边缘最大和最小地基净反力设计值(kPa);
pj——相应于作用的基本组合时在任意截面I-I处基础底面地基净反力设计值(kPa);

↑矩形基础底板受弯计算示意图
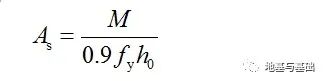
求得基础底板的弯矩后,便可按下式计算基础底板受力钢筋的面积As:
式中:fy——钢筋抗拉强度设计值(N/mm2)。
表格-普通钢筋抗拉/抗压强度设计值(N/mm2)↓
牌号 |
抗拉强度设计值fy |
抗压强度设计值fy′ |
HPB300 |
270 |
270 |
HRB335、HRBF335 |
300 |
300 |
HRB400、HRBF400、RRB400 |
360 |
360 |
HRB500、HRBF500 |
435(抗剪计算360) |
435 |
内容源于网络,如有侵权,请联系删除
相关资料推荐:
4层钢混框架结构综合楼结构施工图(独立基础+柱下条形基础)
知识点:柱下钢混独立基础
全部回复(0 )
只看楼主 我来说两句抢沙发