地基承载力验算是最基本的地基计算,所有的建筑物都必须满足承载力的设计要求。设计天然地基上的浅基础时,选择好基础埋深后,就可按持力层的承载力特征值计算所需的基础底面尺寸。


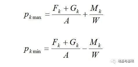
Fk——相应于作用的标准组合时,上部结构传至基础顶面的竖向力值(kN);

工程实践中,基础不仅承受竖向荷载,还可能承受弯矩及水平力作用,此时基底反力将呈梯形或三角形分布,如图所示。


Mk——相应于作用的标准组合时,作用于基础底面的力矩值(kN·m);
pkmax——相应于作用的标准组合时,基础底面边缘的最小压力值(kPa)。
pkmin——相应于作用的标准组合时,基础底面边缘的最小压力值(kPa)。


(3)
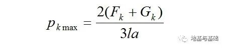
当基础底面形状为矩形且偏心距e>b/6时,
pkmax应按下式计算:


式中:
a——合力作用点至基础底面最大压力边缘的距离(m)。
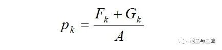
pk——相应于作用的标准组合时,基础底面处的平均压力值(kPa);


(2)当偏心荷载作用时
,除符合上式要求外,尚应符合下式规定:
式中:
pkmax——相应于作用的标准组合时,基础底面边缘的最大压力值(kPa)。

建筑场地土大多数是成层的,一般土层的强度随深度而增加,而外荷载引起的附加应力则随深度而减小,这时只要基础底面持力层承载力满足设计要求即可。但是,也有不少情况,持力层不厚,在持力层以下受力层范围内存在软弱土层,其承载力很低,如我国沿海地区表层土较硬,在其下有很厚一层较软的淤泥、淤泥质土层,此时仅满足持力层的要求是不够的,还需验算软弱下卧层的强度,要求传递到软弱下卧层顶面的附加应力与自重应力之和不超过软弱下卧层的承载力,即:
pz——相应于作用的标准组合时,软弱下卧层顶面处的附加压力值(kPa);
pcz——软弱下卧层顶面处土的自重压力值(kPa);
faz——软弱下卧层顶面处经深度修正后的地基承载力特征值(kPa)。

关于附加应力pz的计算,一般采用简化方法,即参照双层地基中附加应力分布的理论解答按压力扩散角的概念计算。假设基底处的附加压力往下传递时按压力扩散角θ向外扩散至软弱下卧层表面,根据基底与扩散面积上的总附加压力相等的条件,可得附加应力pz的计算公式如下:

θ——地基压力扩散线与垂直线的夹角(°),可按下表采用。
表↓地基压力扩散角θ
Es1/Es2 |
z/b |
0.25 |
0.50 |
3 5 10 |
6° 10° 20° |
23° 25° 30° |
注:1 Es1为上层土压缩模量;Es2为下层土压缩模量;
2 z/b <0.25时取θ=0°,必要时,宜由试验确定;z/b>0.50时θ值不变;
3 z/b在0.25与0.50之间可插值使用。

按双层地基中应力分布的概念,当上层土较硬、下层土软弱时,应力分布将向四周更为扩散,也就是说持力层与下卧层的模量比Es1/Es2 越大,应力扩散越快,故θ值越大。另外按均质弹性体应力扩散的规律,荷载的扩散程度,随深度的增加而增加,表中的压力扩
散角θ的大小就是根据这种规律确定的。
经验算,若软弱下卧层承载力不满足要求,得更改基底面积,减小基底压力,或改变基础埋深,甚至改用地基处理或深基础设计的地基基础方案。
内容源于网络,如有侵权,请联系删除
相关资料推荐:
知识点:地基承载力验算
全部回复(1 )
只看楼主 我来说两句 抢板凳资料还不错,能分享就是最大贡献
回复 举报