本节主要讲解污泥浓缩部分内容。
污泥浓缩的含义就是把含水率高的污水中的空隙水份脱除出来,以此达到减少污泥体积的目的。对于污泥中的水份分类,主要有以下四种:空隙水、毛细水、吸附水和内部水,每一种水份的占比及适合应用什么工艺脱除,分别见如下分析。
1.空隙水:占比达到65%~85%,是污泥浓缩阶段主要脱除的目标;
2.毛细水:占比达到10%~25%,可以采用自然干化和机械脱水脱除;
3.吸附水+内部水:这两部分水份占比仅有10%,可以通过干燥和焚烧工艺脱除一部分,完全脱除非常困难。

污泥水份示意图
对于污泥浓缩和机械脱水的区别,相信很多考友总是分不清楚,其实这两者的目的相同,但是脱水效果不同,污泥浓缩是将99%左右含水率的污泥浓度降低到96%~97%,而机械脱水是将含水率97%左右的污泥中的大部分水脱除使其含水率大幅下降,在实际生产中,带式压滤机出泥干度能达到25%,螺旋挤压机出泥干度可以达到40%,板式压滤机出泥干度可达60%,以上工艺均需要添加污泥脱水化学品。
综合起来,就可以把污泥浓缩看成机械脱水的前处理,实际上目前生产的大多数设备,都是浓缩脱水一体机。
污泥浓缩工艺主要包括重力浓缩、气浮浓缩和机械浓缩,这三种浓缩工艺中,重力浓缩能耗最低,气浮浓缩能耗次之,机械浓缩中的离心浓缩能耗最高。

不同浓缩工艺的污泥浓缩能耗比较
重力浓缩方法分为两种:间歇式浓缩和连续式浓缩,对于重力浓缩来说,尤为重要的一点是,当采用生物除磷工艺时,不应采用重力浓缩。
对于间歇式浓缩多用于小型污水处理厂,池型可以建成矩形或者圆形。《室外排水设计规范》第7.2.6条规定,间歇式污泥浓缩池应设置可排出深度不同的污泥水的设施。

而对于连续式浓缩多用于大中型污水处理厂,一般采取竖流式和辐流式沉淀池的形式。

▲连续式重力浓缩池
《室外排水设计规范》第7.2.1条规定,浓缩活性污泥时,重力式污泥浓缩池的设计,应符合下列要求:
1.污泥固体负荷宜采用30~60kg/(m2?d);
2.浓缩时间不宜小于12h;
3.由生物反应池后的二次沉淀池进入污泥浓缩池的污泥含水率为99.2%~99.6%时,浓缩后的污泥含水率可为97%~98%;
4.有效水深宜为4m;
5.采用栅条浓缩机时,其外缘线速度一般宜为1~2m/min,池底坡向泥斗的坡度不宜小于0.05。
对于二沉池的设计来说,一种方法是固体负荷法,一种方法是表面水力负荷法,之前讲解的生物反应池后面的二沉池来说,用表面水力负荷法设计,用固体通量法校核,而对于污泥浓缩池来说,应用固体通量法设计,用表面水力负荷法校核,这两者有着这样的区别。
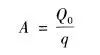
重力浓缩池总面积用以下公式计算:

▲秘五公式17-21
?A——重力浓缩池总面积,m2;
?Q——湿污泥量,m3/d;
?C——污泥固体浓度,g/L,C=1000×(1-Pw);
?Pw——污泥含水率;
?M——浓缩池污泥固体通量,kg/(m2?d)。
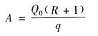
浓缩后的污泥量按如下公式计算:

▲秘五公式17-26
?V2——浓缩后污泥量,m3/d;
?Q——原污泥量,m3/d;
?P1——进泥含水率;
?P2——出泥含水率。
气浮浓缩适合于处理易于上浮的疏水性污泥,或悬浮液很难沉降且易于凝聚的场合。气浮浓缩具备以下6点优点:
1.浓缩度高,污泥中固体物可浓缩到5%~7%;
2.固体物质回收率高达99%以上;
3.停留时间短,浓缩速度快,处理时间是重力浓缩的1/3,因此占地面积小;
4.操作弹性大,对于污泥负荷变化及四季气候变化均能稳定运行;
5.由于污泥混入空气,造成好氧环境,不易腐败发臭;
6.管理操作简单。
对于气浮浓缩的缺点,主要是基建费用和操作费用较高。
气浮浓缩需要注意的两大公式,分别为计算溶气比和表面积,其中溶气比的计算公式如下所示,对于下面公式中,需要注意P是0.1MPa的倍数。

▲公式17-27:无回流时,采用全部污泥加压

▲公式17-28:有回流时,采用回流水加压
对于气浮池表面积的计算,采用以下两公式计算,按固体负荷通量校核:

▲17-29:无回流时

▲17-30:有回流时
气浮池浓缩池水力及表面固体负荷值见下表所示。

▲气浮池浓缩池水力及表面固体负荷值
对于机械浓缩来说,主要有三种工艺:离心浓缩、带式浓缩和转鼓浓缩,其中离心浓缩的能耗最高,机械浓缩工艺最适合生物除磷工艺污泥浓缩脱水。
对于重力浓缩、气浮浓缩和离心浓缩三种浓缩工艺的比较,如下表所示:

对于本节来说,污泥的气浮浓缩脱水是重点难点,需要大家好好理解。
1.对于污泥中的水份分类,主要有以下四种:空隙水、毛细水、吸附水和内部水;
2.重力浓缩能耗最低,气浮浓缩能耗次之,机械浓缩中的离心浓缩能耗最高;
3.当采用生物除磷工艺时,不应采用重力浓缩;
4.气浮浓缩需要注意的两大公式,分别为计算溶气比和表面积;
5.对于重力浓缩、气浮浓缩和离心浓缩三种浓缩工艺的比较。
相关资料推荐:
https://ziliao.co188.com/d62743066.html
知识点: 污水厂污泥浓缩脱水相关计算
0人已收藏
0人已打赏
免费5人已点赞
分享
中水处理回用
返回版块9852 条内容 · 214 人订阅
阅读下一篇
污泥处理知识总结本节主要讲解第17章污泥处理部分内容,主要包括污泥处理的目的、污水厂污泥分类及其特性。 01 污泥处理的目的 《室外排水设计规范》第7.1.1条规定:城镇污水污泥,应根据地区经济条件和环境条件进行减量化、稳定化和无害化处理,并逐步提高资源化程度。 因此,污泥处理的目的就是实现“四化”:减量化、稳定化、无害化、资源化,前三者是必须要保证的,后一种有条件的话可以实行。 一般情况下,典型的污泥处理工艺流程包括以下几个方面:污泥→污泥浓缩→污泥消化→污泥脱水→污泥处置,在其中污泥浓缩、污泥消化和污泥脱水产生的上清液,继续回到污水处理系统进行达标处理。
回帖成功
经验值 +10
全部回复(1 )
只看楼主 我来说两句 抢板凳资料还不错,能分享就是最大贡献
回复 举报