本节主要讲解第17章污泥处理部分内容,主要包括污泥处理的目的、污水厂污泥分类及其特性。
《室外排水设计规范》第7.1.1条规定:城镇污水污泥,应根据地区经济条件和环境条件进行减量化、稳定化和无害化处理,并逐步提高资源化程度。
因此,污泥处理的目的就是实现“四化”:减量化、稳定化、无害化、资源化,前三者是必须要保证的,后一种有条件的话可以实行。
一般情况下,典型的污泥处理工艺流程包括以下几个方面:污泥→污泥浓缩→污泥消化→污泥脱水→污泥处置,在其中污泥浓缩、污泥消化和污泥脱水产生的上清液,继续回到污水处理系统进行达标处理。
污水厂在运营过程中,产生的污泥,如果按照成分来分,可以分为有机污泥和无机污泥,按照来源来分,可以分为初次沉淀污泥、剩余活性污泥、腐殖污泥、消化污泥和化学污泥。
对于不同种类的污泥,按脱水难易程度由难至易进行排序,应为下列顺序:活性污泥>消化污泥>初沉污泥>腐殖污泥。
对于这一部分来说,最重要的考点是以下几个指标的计算:
(1)污泥含水率与含固率的关系:

?Pw——污泥含水率,%;
?W——污泥中所含水分质量,g;
?S——污泥中所含固体质量,g。
(2)含水率与含固率的关系:

▲秘五公式17-2
?Ps——污泥含固率,%。
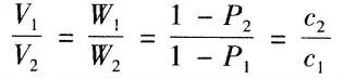
(3)质量比的关系:

▲秘五公式17-4
?V1,W1,c1——含水率为P1时的污泥体积、含水质量与含固体物浓度;
?V2,W2,c2——含水率为P2时的污泥体积、含水质量与含固体物浓度。
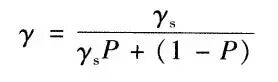
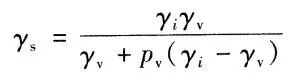
(4)湿污泥相对密度计算公式,按17-5计算,当有机物相对密度取1,无机物相对密度取2.5时,按公式17-8计算:

▲秘五公式17-5

▲公式17-8
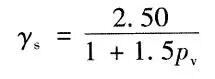
(5)干污泥相对密度计算公式,按17-6计算,当有机物相对密度取1,无机物相对密度取2.5时,按公式17-7计算:

秘五公式17-6

▲公式17-7
污泥的化学性质指标可以从如下4项指标分析:
1.理化成分:城市污水厂污泥的有机物含量较高,不稳定,易腐化发臭,因此城市污水厂污泥应进行稳定处理。挥发分是污泥最重要的化学性质、决定了污泥的热值与可消化性,通常挥发分含量越高,污泥热值也高,可消化性越好。污泥中有机物含量通常用挥发性固体(VSS)表示。挥发性有机酸(VFA)、矿物油。
2.植物营养成分:污水厂污泥含有丰富的植物营养,可转化为植物培植基质如人造表土、土壤调理剂、有机肥等。
3.污泥热值:污泥的燃烧热值表示了污泥的含能量,污水厂污泥的热值与污水水质、排水体制、污水及污泥处理工艺有关。就干固体而言,污泥具有较高的能量利用价值,可通过将污泥直接干化焚烧,或利用水泥窑焚烧、污泥和生活垃圾混合焚烧等途径对污泥中的热值进行资源化利用。
4.有毒有害物质:污水厂污泥中含有的有毒有害物质主要有重金属和有机化合物两类,都来自于污水,而污水中的有毒有害物质主要来自于工业废水。因此城市污水中工业废水所占比例和工业废水排入城市市政排水管道前的预处理水平,是决定污水厂污泥中有毒有害物质含量的关键因素。
污泥的生物性质指标可以从如下2项指标分析:
1.生物含量:在污水处理过程中,细菌及大部分寄生生物留存在污泥中,病毒可以吸附在污水的悬浮物上,随颗粒的沉淀也沉积到污泥中。
2.污泥可生化性:物你会发型炫富固体中可以被生物降解的百分率。
本节有关于计算公式总结部分内容属于案例考试重点内容,需要大家熟练掌握,其余知识点均为知识选择题。总结本节,有以下几点需要大家掌握。
1.污泥处理的目的就是实现“四化”:减量化、稳定化、无害化、资源化,前三者是必须要保证的,后一种有条件的话可以实行。
2.四种污泥脱水难易程度由难至易进行排序:活性污泥>消化污泥>初沉污泥>腐殖污泥
3.污泥含水率与含固率的关系;
4.含水率与含固率的关系;
5.质量比的关系;
6.湿污泥相对密度计算公式;
7.干污泥相对密度计算公式;
相关资料推荐:
https://ziliao.co188.com/d62283217.html
知识点: 污泥处理知识总结
0人已收藏
0人已打赏
免费3人已点赞
分享
中水处理回用
返回版块9852 条内容 · 214 人订阅
阅读下一篇
污水的自然处理工艺总结本节主要讲解第16章污水自然生物处理技术,包括稳定塘系统和污水土地处理系统、人工湿地三部分内容。 01 稳定塘系统 对于微生物的自然生物处理法,从原理上说就是两种:其一为水体净化法,主要包括氧化塘和养殖塘,统称为生物稳定塘,主要通过菌藻共生系统或水生生物系统对污水进行自然处理;其二是土壤净化法,包括土壤渗透和污水灌溉,统称为土地处理,主要利用土壤-微生物-植物系统(陆地生态系统)的自我调控机制和对污染物的综合净化功能,对污水进行自然净化。
回帖成功
经验值 +10
全部回复(1 )
只看楼主 我来说两句 抢板凳不错,谢谢楼主用心分享!
回复 举报