本节主要讲解活性污泥反应动力学基础,主要包括4个假设、3个内容、3个公式和3个产率系数,同样需要大家注意。
活性污泥反应动力学模型以完全混合式曝气反应池为基础建立,经过修正后应用到推流式曝气反应池系统。
那在研究活性污泥反应动力学前,假定的4个假设条件是什么呢?其实就是一种理想化界定条件,这种条件在现实中是很难满足的,但是为了理论模拟,所做出的的一种假定条件。
1.活性污泥系统运行时处于稳定状态;
2.活性污泥在二沉池内不产生微生物代谢活动且活性污泥泥水分离良好;
3.进入活性污泥系统的有毒物质和抑制物质不超过其毒阈浓度(也就是说有毒物质的量不影响活性污泥的降解作用,也可以理解为有毒物质的极限允许浓度);
4.进入曝气反应池的原污水中不含活性污泥。
这个知识点只是一个入门级的假定条件,一般情况下甚至连知识选择题也很少考到,大家稍作了解即可。
活性污泥反应动力学研究的目的在于,对活性污泥反应机理进行研究,探讨活性污泥对有机物的代谢降解过程,方便的对反应速率加以控制和调节。
对于活性污泥反应动力学,总结起来有以下3点内容。
1.有机物的降解速率与有机物浓度、活性污泥微生物量等因素之间的关系;
2.活性污泥微生物的增殖速率(即活性污泥的增长速率)与有机物浓度、微生物量等因素之间的关系;
3.微生物的耗氧速率与有机物降解、微生物量等因素之间的关系。
毕竟构成活性污泥法的三个要素就是微生物、食料和溶解氧,所以活性污泥法反应动力学的研究必然是以这三种成分为对象,其中第一、二条就是微生物与食料之间的关系,第三条就是微生物与溶解氧之间的关系。
这一部分内容在考试时也不是常考点,稍作了解即可。
这一节内容是本节重点,有关于活性污泥反应动力学的3个公式是历年知识选择题常考点,但是目前为止仅有一次在案例计算当中出现,就是关于劳-麦方程应用。这三个重要公式总结如下所示。
(1)米-门公式
米-门公式是一个理论公式,它表示的是有机物在准稳态酶促反应条件下,有机物的反应(降解)速率方程。

关于米-门公式,一般不会在案例计算当中出现,仅作为一个常识知识点了解其是一个理论公式,表示的内容即可,至于公式不用记,案例不会考到。
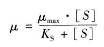
(2)莫诺特方程
莫诺特方程是一个实验式,它表示的是纯种微生物在单一有机物培养基中,微生物的增殖速率与有机物浓度之间的关系。

关于莫诺特方程,同样不会在案例计算当中出现,了解其是一个实验式,以及其表示的内容即可,重点是纯种微生物、单一有机物这两个字样,有时选项中会故意混淆来出。
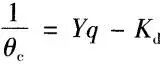
(3)劳-麦方程
劳-麦方程是把米-门方程和莫诺特方程联系在了一起,以微生物的增殖速率与有机物的降解速率为基础提出的,并且在这个方程中提出了单位微生物的有机物利用率概念。

对于劳-麦方程,教材中有许多推导公式,但是最重要,历年真题中考察过的就以上一个公式,考察方向为污泥龄和产率系数之间的关系,其余公式可以不看,毕竟大多是一些中间推导式,案例不会考到,但是一旦遇到污泥龄和产率系数之间的关系时,需要想到莫诺特方程这个公式。
这三个产率系数是总产率系数Yt、合成产率系数Y以及表观产率系数Yobs。关于这三个产率系数是本节最重点内容,不但是案例考试题常考点,而且也算是一个难点,需要大家熟练掌握。
1.总产率系数(Yt):表示生物处理系统内去除单位有机物产生的污泥总量,含内源呼吸衰减时和污水中悬浮物固体量,其针对的是MLSS,其单位为kgss/(kgBOD5)。
2.合成产率系数(Y):表示生物处理系统内去除单位有机物产生的污泥量,包括微生物内源呼吸作用而衰减的量,其针对的是MLVSS,其单位为kgvss/(kgBOD5)。
3.表观产率系数(Yobs):表示的是生物处理系统内去除单位有机物产生的污泥量,不包括微生物内源呼吸作用而衰减的量,其针对的是MLVSS,其单位为kgvss/(kgBOD5)。
用这三个产率系数表示剩余污泥量△X(单位kgss/d)有以下等式关系。
△X=YQ(So-Se)-KdVXv+fQ[(SS)o-(SS)e]=YtQ(So-Se)=YobsQ(So-Se)+fQ[(SS)o-(SS)e]
1.△X——剩余污泥量,kgvss/kgBOD5;
2.Y——污泥合成产率系数,kgvss/(kgBOD5);
3.Yt——污泥总产率系数,kgss/(kgBOD5);
4.Yobs——污泥表观产率系数,kgvss/(kgBOD5);
5.Q——设计平均日污水量,m3/d;
6.So——生物反应池进水5日生化需氧量,kg/m3;
7.Se——生物反应池出水5日生化需氧量,kg/m3;
8.Kd——衰减系数,d-1;
9.V——生物反应池容积,m3;
10.Xv——生物反应池内混合液挥发性悬浮固体平均浓度,gMLSS/L;
11.f——SS的污泥转化率,宜根据实验资料确定,无实验资料时可取0.5~0.7gMLSS/gSS;
12.(SS)o——生物反应池进水悬浮物浓度,kg/m3;
13.(SS)e——生物反应池出水悬浮物浓度,kg/m3;
14.X——生物反应池内混合液悬浮固体平均浓度,gMLSS/L。
对于这个公式中的f,千万不要和f(MLVSS/MLSS)弄混淆,这两个f指代的意义不一样。还要注意的一点就是系统排泥量和污泥净增量,也就是△X和△Xv之间的区别,这两个量用公式表示如下。
1.△X=YQ(So-Se)-KdVXv+fQ[(SS)o-(SS)e]=YtQ(So-Se)=YobsQ(So-Se)+fQ[(SS)o-(SS)e]
2.△Xv=YQ(So-Se)-KdVXv=YobsQ(So-Se)
各参数含义见以上所述。
本节中最重要的两个考点,一个是米-门方程、莫诺特方程和劳-麦方程指代的意义,另一个是三个产率系数之间的关系,尤其是三个产率系数,属于重点中的重点,需要大家熟练掌握。本节内容需要大家掌握的点,总结如下所示。
1.米-门公式是一个理论公式,它表示的是有机物在准稳态酶促反应条件下,有机物的反应(降解)速率方程。
2.莫诺特方程是一个实验式,它表示的是纯种微生物在单一有机物培养基中,微生物的增殖速率与有机物浓度之间的关系。
3.劳-麦方程是把米-门方程和莫诺特方程联系在了一起,以微生物的增殖速率与有机物的降解速率为基础提出的,并且在这个方程中提出了单位微生物的有机物利用率概念。
4.总产率系数(Yt):表示生物处理系统内去除单位有机物产生的污泥总量,含内源呼吸衰减时和污水中悬浮物固体量,其针对的是MLSS,其单位为kgss/(kgBOD5)。
5.合成产率系数(Y):表示生物处理系统内去除单位有机物产生的污泥量,包括微生物内源呼吸作用而衰减的量,其针对的是MLVSS,其单位为kgvss/(kgBOD5)。
6.表观产率系数(Yobs):表示的是生物处理系统内去除单位有机物产生的污泥量,不包括微生物内源呼吸作用而衰减的量,其针对的是MLVSS,其单位为kgvss/(kgBOD5)。
7.△X=YQ(So-Se)-KdVXv+fQ[(SS)o-(SS)e]=YtQ(So-Se)=YobsQ(So-Se)+fQ[(SS)o-(SS)e]
8.△Xv=YQ(So-Se)-KdVXv=YobsQ(So-Se)
相关资料推荐:
https://ziliao.co188.com/p2692.html
知识点: 活性污泥反应动力学
0人已收藏
0人已打赏
免费3人已点赞
分享
中水处理回用
返回版块9852 条内容 · 214 人订阅
阅读下一篇
污水集水池设计知识点总结本节主要讲解排水泵站章节剩余内容,包括①集水池容积计算;②集水池设计最高、最低水位;③集水池注意事项;④水泵选择;⑤出水设施。其中集水池部分的设计内容是重点内容,需要大家着重掌握。 01 集水池容积计算 根据《室外排水设计规范》5.3.1条规定,集水池的容积,应根据设计流量、水泵能力和水泵工作情况等因素确定,并应符合下列规定。 1.污水泵站集水池的容积,不应小于最大一台水泵5min的出水量。(注:如果水泵机组为自动控制时,每小时开动水泵不得超过6次);
回帖成功
经验值 +10
全部回复(0 )
只看楼主 我来说两句抢沙发