本节主要讲解排水泵站章节剩余内容,包括①集水池容积计算;②集水池设计最高、最低水位;③集水池注意事项;④水泵选择;⑤出水设施。其中集水池部分的设计内容是重点内容,需要大家着重掌握。
根据《室外排水设计规范》5.3.1条规定,集水池的容积,应根据设计流量、水泵能力和水泵工作情况等因素确定,并应符合下列规定。
1.污水泵站集水池的容积,不应小于最大一台水泵5min的出水量。(注:如果水泵机组为自动控制时,每小时开动水泵不得超过6次);
2.雨水泵站集水池的容积不应小于最大一台水泵30s的出水量;
3.合流污水泵站集水池的容积,不应小于最大一台水泵30s的出水量;
4.污泥泵房集水池的容积,应按一次排入的污泥量和污泥泵抽送能力计算确定。活性污泥泵房集水池的容积,应按排入的回流污泥量、剩余污泥量和污泥泵抽送能力计算确定。

集水池有效容积图示:1最高水位;2最低水位;H有效水深
而对于集水池容积计算公式,对于不同的控制形式时有不同的计算方法,整体分为人工控制和自动控制两种方式。
①当为人工控制时的集水池容积计算公式:V=TQ,其中Q为设计流量,T(停留时间)的取值要看该泵站是污水泵站还是雨水泵站(或合流泵站),污水泵站时T≥5min,雨水泵站(合流泵站)时T≥30s。
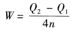
②当为自动控制时的集水池容积计算公式:

泵站一级工作时

泵站二级工作时
V——集水池容积(立方米);
Q0——泵站一级工作时泵的出水量(立方米每小时);
Q1、Q2——泵站分级工作时,一级与二级工作泵的出水量(立方米每小时);
n——泵每小时的启动次数,n=6。
根据《室外排水设计规范》5.3.4条规定,雨水泵站和合流污水泵站集水池的设计最高水位,应与进水管管顶相平,当设计进水管道为压力管道时集水池的设计最高水位可高于进水管管顶,但不得使管道上游地面冒水。
《室外排水设计规范》5.3.5条规定,污水泵站集水池的设计最高水位,应按进水管充满度计算。
《室外排水设计规范》5.3.6条规定,集水池的设计最低水位,应满足所选进水泵吸水头的要求。自灌式泵房尚应满足水泵叶轮浸没深度的要求。

雨水泵站、合流污水泵站集水池有效容积示意图

污水泵站集水池有效容积示意图
关于集水池的注意事项,《室外排水设计规范》中5.3.7规定:泵房应采用正向进水,应考虑改善水泵吸水管的水利条件,减少滞留或涡流。
关于这一条款的理解,泵房正向进水是使水流顺畅,流速均匀的主要条件。侧向进水易形成集水池下游端的水泵吸水管处水流不稳,流量不均,对水泵运行不利,故应避免。由于进水条件对泵房运行极为重要,必要时,15立每秒以上泵站宜通过水力模型试验确定进水布置方式;5~15立每秒泵站宜通过数学模型计算确定进水布置方式。
《室外排水设计规范》第5.3.8条规定:泵站集水池前,应设置闸门或闸槽,泵站宜设置事故排出口,污水泵站和合流泵站设置事故排出口应报有关部门批准。
这一条主要是为了便于清洗集水池或检修水泵,泵站集水池前应设闸门或闸槽。泵站前宜设事故排出口,供泵站检修使用,为防止水污染和保护环境,规定设置事故排出口应报有关部门批准。
《室外排水设计规范》第5.3.11条规定:集水池应设冲洗装置,宜设清泥设施。
《室外排水设计规范》5.4.1规定,水泵的选择应根据设计流量和所需扬程等因素确定,且应符合下列要求:
1.水泵宜选用同一型号,台数不应少于2台,不宜大于8台。当水量变化很大时,可配置不同规格的水泵,但不宜超过两种,或采用变频调速装置,或采用叶片可调节式水泵。
2.污水泵房和合流污水泵房应设备用泵,当工作泵(注意是工作泵)台数不大于4台时,备用泵宜为1台。工作泵台数不小于5台时,备用泵宜为2台,潜水泵房备用泵为2台时,可现场备用1台,库存备用1台,雨水泵房可不设备用泵。立交道路的雨水泵房可视泵房重要性设置备用泵。
根据以上规定,可以总结出,影响污水、合流泵房备用泵的因素为:地区的重要性、泵房的特殊性、工作泵的型号、工作泵台数、水泵制造质量。

污水泵备用相关总结
《室外排水设计规范》5.4.2规定,选用的水泵宜在满足设计扬程时在高效区运行,在最高工作扬程与最低工作扬程的整个工作范围内应能安全稳定运行,2台以上水泵并联运行合用一根出水管时,应根据水泵特性曲线和管路工作特性曲线验算单台水泵工况,使之符合设计要求。

两台相同水泵的并联运行
从上图可以看出,两台相同水泵并联运行时流量为Q1,而Q1=2Q2<2Q3(约小于15%~20%)。说明了因管道阻力的存在,即使两台相同的水泵并联运行,流量也不满足两倍的关系。并联运行时流量增加的比例,随着水泵管路阻力曲线的变陡而减小。
但是对于规范中这一条需要注意的就是,在现实中,两台水泵并联运行是一定要降效的,但是在规范中规定,2台水泵并联运行时可以认为不降效,但是大于2台时依然要考虑降效。
《室外排水设计规范》5.5.1条规定,当2台或2台以上水泵合用一根出水管时,每台水泵的出水管上均应设置闸阀,并在闸阀和水泵之间设置止回阀,当污水泵出水管与压力管或压力井相连时,出水管上必须安装止回阀和闸阀等防倒流装置,雨水泵的出水管末端宜设防倒流装置,其上方宜考虑设置起吊设施。
本条规定污水管出水管上应设置止回阀和闸阀,雨水泵出水管末端设置防倒流装置的目的是在水泵突然停运时,防止出水管的水流倒灌,或水泵发生鼓掌时检修方便,我国目前使用的防倒流装置有拍门、堪门、柔性止回阀等。而雨水泵出水管的防倒流装置上方,应按防倒流装置的重量考虑是否设置起吊装置,以方便拆装和维修,一种做法是设置工字钢,在使用是安装起吊装置,以防锈蚀。

本节重点在于水泵集水池设计,包括集水池水位、容积计算方法和原则部分,需要重点掌握,其余部分内容基本为知识题中考察,可以适当简略看看。总结本节内容,主要有以下几点。
1.集水池容积计算(污水5min、雨水、合流30s);
2.集水池设计最高、最低水位如何确定;
3.水泵的备用原则;
4.2台水泵并联运行不考虑降效;
5.水泵的出水设施。
相关资料推荐:
https://ziliao.co188.com/d63222574.html
知识点: 污水集水池设计
0人已收藏
0人已打赏
免费9人已点赞
分享
中水处理回用
返回版块9852 条内容 · 214 人订阅
阅读下一篇
如何理解雨水管渠系统设计?这一节主要讲解4.3节雨水管渠系统设计计算部分内容,这一章节中看似是计算,其实大多数考点都是知识题,所以重要程度略差,评分三星。 01 雨水管渠系统的平面布置特点 这部分章节内容全部是知识题形式考察,纵观课本这部分内容,重点可以概括为以下几点: ①雨水管渠敷设应尽量利用自然地面坡度,一定要以最短的距离敷设,地形平坦时就敷设在中间,地形高差大时就敷设在低洼地带,这么敷设其实都是为了更方面的接支管,
回帖成功
经验值 +10
全部回复(4 )
只看楼主 我来说两句-
yunyun
沙发
2022-09-19 14:15:19
赞同0
-
放水发电
板凳
2022-09-11 17:55:11
赞同0
加载更多不错的分享,全面完整!楼主辛苦了!
回复 举报
资料还不错,能分享就是最大贡献
回复 举报