地基基础设计必须满足两个基本条件:
《建筑地基基础设计规范GB50007》根据地基的复杂程度、建筑物规模和功能特征以及由于地基问题可能造成建筑物破坏或影响正常使用的程度,将地基基础基基础设计分为以下三个等级:
↓表1 地基基础设计等级
设 计 等 级 |
建筑和地基类型 |
甲 级 |
重要的工业与民用建筑物 30层以上的高层建筑 体型复杂,层数相差超过10层的高低层连成一体建筑物 大面积的多层地下建筑物(如地下车库、商场、运动场等) 对地基变形有特殊要求的建筑物 复杂地质条件下的坡上建筑物(包括高边坡) 对原有工程影响较大的新建建筑物 场地和地基条件复杂的一般建筑物 位于复杂地质条件及软土地区的二层及二层以上地下室的基坑工程 开挖深度大于15m的基坑工程 周边环境条件复杂、环境保护要求高的基坑工程 |
乙 级 |
除甲级、丙级以外的工业与民用建筑物 除甲级、丙级以外的基坑工程 |
丙 级 |
场地和地基条件简单、荷载分布均匀的七层及七层以下民用建筑及一般工业建筑;次要的轻型建筑物 非软土地区且场地地质条件简单、基坑周边环境条件简单、环境保护要求不高且开挖深度小于5.0m的基坑工程 |
1.所有等级建筑物的地基设计都要满足承载力的要求。在此项计算中,按地基承载力确定基础底面积及埋深时,荷载组合应该按正常使用极限状态下荷载的标准组合,抗力则采用地基承载力的特征值。

2.设计等级为甲级和乙级的建筑物均应按地基变形设计。在计算地基变形时,作用于基础底面上的荷载组合应按正常使用极限状态下荷载效应的准永久组合,不应计入风荷载和地震作用。相应的极限值为地基变形允许值。

3.表2所列范围内设计等级为丙级的建筑物,可不作地基变形验算。但如有下列情况之一时,仍应作地基变形验算:

↓
表2
可不作地基变形计算设计等级为丙级的建筑物范围

注:(1)地基主要受力层系指条形基础底面下深度为3b(b为基础底面宽度),独立基础下为1.5b,
且厚度均不小于5m的范围(二层以下一般的民用建筑除外);
(2)地基主要受力层中如有承载力特征值小于130KPa的土层时,表中砌体承重结构的设计,应符合《地基基础规范》第七章的有关要求;
(3)表中砌体承重结构和框架结构均指民用建筑,对于工业建筑可按厂房高度、荷载情况折合成与其相当的民用建筑层数;
(4)表中吊车额定起重量、烟囱高度和水塔容积的数值系指最大值。
4.对基坑工程、经常受水平荷载作用的高层建筑、高耸结构和挡土结构,以及建造在斜坡上或边坡附近的建筑物和构筑物,除按上述要求进行承载力验算、变形验算外,还应该验算地基稳定性。做地基稳定性验算时,应该采用承载力极限状态下荷载效应的基本组合,但分项系数均取为1.0。
5.地基评价宜采用钻探取样、室内土工试验、触探、并结合其它原位测试方法进行。设计等级为甲级的建筑物应提供载荷试验指标、抗剪强度指标、变形参数指标和触探资料;设计等级为乙级的建筑物应提供抗剪强度指标、变形参数指标和触探资料;设计等级为丙级的建筑物应提供触探及必要的钻探和土工试验资料。

6.对地下水埋藏较浅,建筑地下室或地下构筑物存在上浮问题时,还应进行抗浮验算。

7.在确定基础或桩台的高度、支撑结构的截面、计算基础或支挡结构的内力,确定配筋和验算材料强度时,荷载效应组合和相应的基底反力,应按承载能力极限状态下的荷载效应基本组合,并采用规定的分项系数。

结构物在规定的时间内和条件下完成预定功能的概率称为结构可靠度。现有的国家规范为《工程结构可靠性设计统一标准GB50153》。所谓规定时间就是指设计基准期,一般房屋建筑设计基准期为50年。规定条件就是指施工和应用各种工况的工作条件。完成预定功能就是满足极限状态的设计要求。这种以概率为基础,以极限状态为分析方法,以可靠指标为安全标准的设计方法称为以概率理论为基础的极限状态设计方法。按极限状态设计方法,地基必须满足如下两种极限状态的要求。
这是结构的安全性功能要求,意即让地基土最大限度地发挥承载能力,荷载超过此种限度时,地基土即发生强度破坏而丧失稳定。对于承载能力极限状态,应按荷载的基本组合或偶然组合计算荷载组合的效应设计值,并应采用下列设计表达式进行设计:

这是结构物的使用功能要求,即地基受载后的变形应该小于建筑物地基的变形允许值。
对于正常使用极限状态,应根据不同的设计要求,采用荷载的标准组合、频遇组合或准永久组合,并应按下列设计表达式进行设计:

荷载依使用性质不同,可分成永久荷载G和可变荷载Q两大类。永久荷载可看成不随时间变化的荷载,例如结构自重、土压力、预应力等。可变荷载则随时间而变化,种类很多,例如楼面活荷载、屋面活荷载和积灰荷载、吊车荷载、风荷载、雪荷载等。
建筑结构设计时,对不同荷载应采用不同的代表值。对永久荷载应采用标准值作为代表值。对可变荷载应根据设计要求采用标准值、组合值或准永久值作为代表值。
是荷载的基本代表值。永久荷载的标准值,对结构自重,可按结构构件的设计尺寸与材料单位体积的自重计算确定。对于自重变异较大的材料和构件(如现场制作的保温材料、混凝土薄壁构件等),自重的标准值应根据对结构的不利状态,取上限值或下限值。
可变荷载,按《建筑结构荷载规范》的规定采用。如雪荷载按50年一遇的雪压乘以屋面积雪分布系数等。
荷载的准永久值等于标准值乘以准永久值系数,各种荷载的准永久值系数可以从荷载规范中查用。例如对地基沉降计算,短时间的荷载不一定引起充分的沉降,这种情况,可变荷载就应该采用荷载的准永久值。
3.荷载的组合值
两种或两种以上的可变荷载同时出现标准值的概率很小,因此当结构承受两种或两种以上的可变荷载时,应采用荷载的组合值,所用的系数称为组合值系数,其值可查荷载规范。
设计时,为了保证结构的可靠性,需要确定同时作用在结构上有几种荷载,每种荷载采用何种代表值,这一工作称为荷载组合或荷载效应组合。在地基基础设计中,按承载能力极限状态和正常使用极限状态分别进行荷载(效应)组合,并应取各自的最不利的效应组合进行设计,一般遇到的有如下几种荷载组合。
荷载基本组合的效应设计值Sd,应从下列荷载组合值中取用最不利的效应设计值确定:
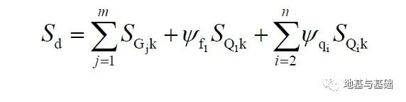
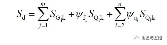
(1)由可变荷载控制的效应设计值,应按下式进行计算:

(2)由永久荷载控制的效应设计值,应按下式进行计算:

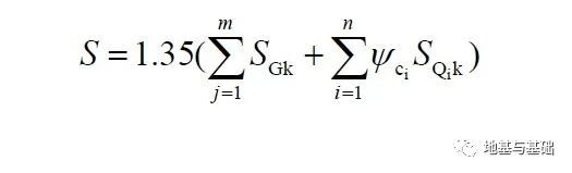
在《建筑地基基础设计规范》中,对永久荷载效应控制的基本组合,还建议永久荷载和可变荷载的分项系数均取1.35,于是进一步简化为

在确定基础或桩基承台高度、支挡结构截面、计算基础或支挡结构内力、确定配筋和验算材料强度时,上部结构传来的作用效应和相应的基底反力、挡土墙土压力以及滑坡推力,应按承载能力极限状态下作用的基本组合,采用相应的分项系数。
a当永久荷载效应对结构不利时,对由可变荷载效应控制的组合应取1.2.对由永久荷载效应控制的组合应取1.35;
a对标准值大于4kN/m2的工业房屋楼面结构的活荷载,应取1.3;
③对结构的倾覆、滑移或漂浮验算,荷载的分项系数应满足有关的建筑结构设计规范的规定。计算挡土墙、地基或滑坡稳定以及基础抗浮稳定时,作用效应应按承载能力极限状态下作用的基本组合,但其分项系数均为1.0。
2.荷载偶然组合
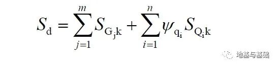
荷载偶然组合的效应设计值Sd可按下列规定采用:
(1)用于承载能力极限状态计算的效应设计值,应按下式进行计算:

(2)用于偶然事件发生后受损结构整体稳固性验算的效应设计值,应按下式进行计算:


对比可知,

基本组合就成为标准组合,或者说标准组合中各项均乘以相应的分项系数就得到基本组合。按地基承载力确定基础底面积及埋深或按单桩承载力确定桩数时,传至基础或承台底面上的作用效应应按正常使用极限状态下作用的标准组合,相应的抗力应采用地基承载力特征值或单桩承载力特征值。当需要验算基础裂缝宽度时,应按正常使用极限状态作用的标准组合。

频遇组合主要适用于当一个极限状态被超越时将产生局部损害、较大变形或短暂振动等情况。频遇组合目前的应用范围较为窄小,如吊车梁的设计等。
计算地基变形时,传至基础底面上的作用效应应按正常使用极限状态下作用的准永久组合,不应计入风荷载和地震作用。相应的限值应为地基变形允许值。不难理解,地基变形计算中永久荷载起主要作用,可变荷载的作用时间是间断的,所引起的变形效应较弱,所以用准永久值系数代替组合值系数,准永久值系数的具体值见荷载规范。
民用建筑楼面均布活荷载的标准值及其组合值、频遇值系数和准永久值系数,不应小于《建筑结构荷载规范》表 5.1.1 的规定。
地基基础设计时,所采用的荷载效应最不利组合与相应的抗力限值见
表
3所列。
↓表
3 荷载效应组合

天然地基上浅基础设计的内容和一般步骤是:
1.阅读和分析建筑物场地的地质勘察资料和建筑物的设计资料,进行相应的现场勘查和调查;
2.选择基础的结构类型和建筑材料;
3.选择持力层、决定合适的基础埋置深度;
4.根据地基的承载力和作用在基础上的荷载组合、计算基础的初步尺寸;
5.进行地基计算,包括地基持力层和软弱下卧层(如果存在)的承载力验算,对需要的进行地基变形验算、地基稳定验算或抗浮验算,根据验算结果,修改基础尺寸或埋置深度;
6.进行基础的结构和构造设计(按基础布置进行内力分析、截面计算和满足构造要求);
7.绘制基础的设计图和施工图。
上述浅基础设计的各项内容是互相关联的。设计时可按上列顺序,首先选择基础材料、类型和埋深,然后逐步进行计算。如发现前面的选择不妥,则须修改设计,直至各项计算均符合要求。
内容源于网络,如有侵权,请联系删除
相关资料推荐:
知识点:地基基础设计原则
全部回复(1 )
只看楼主 我来说两句 抢板凳所有等级建筑物的地基设计都要满足承载力的要求。在此项计算中,按地基承载力确定基础底面积及埋深时,荷载组合应该按正常使用极限状态下荷载的标准组合,抗力则采用地基承载力的特征值。
回复 举报