土木在线论坛 \ 建筑结构 \ 地基基础 \ 小尺寸独基常忽略的另一种受剪验算

小尺寸独基常忽略的另一种受剪验算

发布于:2022-09-07 15:42:07 来自:建筑结构/地基基础 [复制转发]
        1  一个疑问?


在今年的一次顾问项目中,笔者遇到这么一个案例。
山地上的一群小住宅,层数均为2层,建筑高度也就7m不到。
主体采用剪力墙结构,墙厚均为200mm,典型断面长肢850mm,短肢500~600mm,墙长都不长。
房子依山而建,基础顺应山势,采用墙下独立基础或墩基础。
由于持力层土质非常好,为碎块状强风化凝灰熔岩,其地基承载力特征值高达:

650KPa

因此,计算得到的基础尺寸都不大,典型平面尺寸为:

1100x1500mm

典型的基础平面布置如下:
图片
△ 典型基础布置图
上部荷载较小,原设计的基础高度仅为:

400mm

基础明细表如下:
图片
暂不讨论墙身竖向钢筋在基础中的锚固是否能满足,大白第一眼看到这个布置时立即想到一个问题:

独基尺寸小到一定程度时,还能按独基设计么?



        2  无筋扩展基础!

2015年, 《建筑地基基础设计规范》的主编滕延京先生在一封咨询信中曾被问过这么一个问题:

当扩展基础两底边尺寸均小于柱宽加两倍基础板厚度即基础底面完全笼罩于冲切破坏锥体之内)时,是否可以认为既不需要验算受剪切承载力,也不需要验算受冲切承载力?在此条件下,它可能发生哪一种破坏形态?

主编给出的答复是:

如果基础两底边尺寸均小于柱宽加两倍基础板厚度(即基础底面完全笼罩于冲切破坏锥体之内),该基础类型已从扩展基础改变为无筋扩展基础,基础的破坏形态为材料的剪切破坏(强度破坏)

大家知道,当地基条件特别好(例如前文案例中的碎块状强风化凝灰熔岩地基),算得的独基面积往往很小。
这种情况下,当基础底面被冲切破坏锥体的底面完全包住时,仍按常规扩展基础进行设计可能存在安全隐患,需要设计者引起重视。
此时,我们必须按《建筑地基基础设计规范》第8.1.1条及条文说明的要求,将基础设计为:

无筋扩展基础


        3  规范要求

《建筑地基基础设计规范》的第8.1.1条中,对于无筋扩展基础的设计要求如下:
图片
对于混凝土基础,基底平均压力值不同时,台阶的宽高比要求有所不同。
图片
必须注意的是,公式8.1.1的适用条件是:

标准组合下基础底面处的平均压力值≤300kPa

基础单侧扩展范围内 基底处的平均压力值超过300kPa时,应改为验算:

墙(柱)边缘或变阶处的受剪承载力

相应计算公式见8.1.1条的条文说明:
图片
该公式是在基底反力为直线分布的前提下,根据材料力学及素混凝土抗拉强度设计值公式推导出来的。
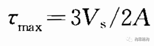
我们知道矩形截面中和轴处的最大剪应力为:
图片
素混凝土的抗拉强度设计值为:
图片
当最大剪应力不超过素混凝土的抗拉强度设计值时,即可得到受剪承载力验算公式。
正是由于假定基地反力直线分布,故该公式 不适用于:

岩石地基

这是由于,相关试验表明,岩石地基的基地反力常集中于立柱附近,导致容易出现沿柱周边的直剪和劈裂破坏现象。
图片
△ 岩石地基上柱下素混凝土基础的
劈裂破坏和压陷现象[1]
故而对于岩石地基上的无筋扩展基础,应进行:

局部受压承载力验算

局压不足时,可通过配置水平向约束钢筋来提高其承载能力。

        4  案例验算

对于第一节中的案例,由于墙肢不长,其冲切破坏锥体的底面(外圈虚线范围)几乎完全覆盖住了基础底面,如下图中的情况:
图片
△  冲切破坏锥体示意图
因为是非岩石地基,我们需要按无筋扩展基础验算其受剪承载力。
设计方未附上基础计算书,大白只能先估算当前基础高度下,其地基土容许平均净反力标准值能达到多少:
基础混凝土等级为C30,故ft=1.43N/mm2。
验算断面取墙边缘的1-1和2-2处,如下图所示:
图片
△ 基础 受剪验算断面示意
对于1-1断面:
ps1k=0.366x1.43x1000x1.5x0.4/1.35/(1.5x0.35)=440kpa
对于2-2断面:
ps2k=0.366x1.43x1000x1.1x0.4/1.35/(1.1x0.35)=440kpa
这就说明,碎块状强风化凝灰熔岩的设计地基承载力取值不能取的太满, 否则基础受剪承载力无法满足规范要求,应加高其高度。

       5   一点提醒

对于本项目,由于房屋高度不高,估计地基承载力的实际利用率并不高。
就算个别基础需要进行无筋扩展基础模式下的受剪承载力验算,大概率应该是能满足的。
目前规范内并未明确,独立基础尺寸小到一定程度时,必须按无筋扩展基础进行相关验算,故现有主流软件对基础的冲切验算执行《建筑地基基础设计规范》第8.2.8条;而受剪验算仅执行第8.2.9条,并不提供:

无筋扩展基础模式下的受剪承载力验算

因此,笔者提醒一点:
对于非岩石地基上的独立基础, 当基础单侧扩展范围内基底处的平均压力值超过300kPa时 ,大家应注意手工复核其受剪承载力,避免出现安全问题。

参考文献
[1] 建筑地基基础设计规范理解与应用(第二版)[M].北京:中国建筑工业出版社,2012.

内容源于网络,如有侵权,请联系删除


相关资料推荐:

提取内力,手动复合独基截面尺寸

独基零应力出现导致基础尺寸巨大


知识点:小尺寸独基


全部回复(0 )

只看楼主 我来说两句抢沙发
这个家伙什么也没有留下。。。

地基基础

返回版块

12.11 万条内容 · 717 人订阅

猜你喜欢

阅读下一篇

无筋扩展基础与扩展基础

三合土基础 1、做法 1)石灰:砂:碎砖=1:2:4或者1:3:6 2)在基槽内分层夯实,每层夯实前虚铺220mm,夯实后净剩150mm, 3)三合土铺至设计标高后,在最后一遍夯打时浇筑石灰浆,待表面灰浆略为风干后,再铺上一层沙子,最后整平夯实。 2、优点 造价低廉。施工简单 3、缺点 强度低,只能用于4层及4层以下房屋的基础。 混凝土基础 1、优点 强度高,整体性好,不怕水,适用于潮湿或者地下水位高的地基中,应用广泛。

回帖成功

经验值 +10