本节主要讲解厌氧反应器的构造与设计部分,包括厌氧接触法(悬浮型)生物反应器、厌氧生物滤池(AF)、厌氧膨胀床与厌氧流化床、升流式厌氧污泥床(UASB)。
自从厌氧生物处理法发明至今,可以分为三代技术更迭,其中第一代工艺以普通厌氧消化池、厌氧接触工艺为主,主要特征就是水力停留时间(HRT)=污泥停留时间(SRT);而第二代厌氧反应器主要以AF、UASB、AFB等工艺为代表,主要特征就是HRT<SRT;第三代厌氧反应器以EGSB、IC、ABR、AMBS为代表,主要特征就是增强厌氧微生物与废水的混合与接触,提高负荷及处理效率。
厌氧接触工艺指有污泥回流的厌氧消化处理工艺,即在厌氧反应池后设置沉淀池,上清液排除,沉淀污泥一部分回流至厌氧反应池,以增加厌氧反应池中生物量的工艺。
厌氧接触氧化法适用于悬浮物含量低的溶解性高浓度有机废水处理,对于该工艺中的脱气器,可以采用真空脱气器、上向流斜板脱气法和搅拌脱气法,脱气器的作用是分离残留在污泥中的微小气泡,以提高沉淀效果。

▲厌氧接触法的工艺流程
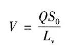
对于厌氧接触法的计算,最重要的考核点在于有效容积计算,计算有效容积有两种方法,一种是有效容积负荷法,另一种是污泥龄法。
(1)有效容积负荷法通过以下公式计算:

▲秘五公式14-5
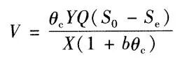
(2)污泥龄法通过以下公式计算:

▲秘五公式14-6
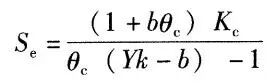
一般利用污泥龄法计算有效容积时,会先涉及到出水可生物降解COD浓度(Se)计算,该计算公式如下所示。

▲秘五公式14-7
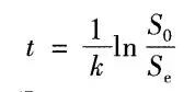
(3)厌氧接触法污泥龄计算按照以下原则计算:
首先计算临界污泥龄(临界污泥龄的定义是出水有机物浓度等于进水有机物浓度时的污泥龄):

▲秘五公式14-4
要想使厌氧出水COD值低于进水COD值,其所需要的污泥龄就要为临界污泥龄的2~10倍,因此要想求得正常运行的厌氧接触法的污泥龄,算出临界污泥龄后还要乘以2~10倍。
AF属于是生物膜法,只不过属于厌氧环境,构筑物内部也装有填料,厌氧微生物以生物膜的形态生长在滤料表面,污水以淹没方式通过滤料,在生物膜吸附作用和微生物代谢作用以及滤料截留作用下,使水得到净化。
对于厌氧生物滤池有效容积计算,有两种方式:有效容积负荷法和动力学方法,其中动力学方法表示的有机物降解与生物膜的增长速率属于一级反应,更适合于升流式厌氧生物滤池(AF工艺分为升流式和降流式)。
(1)有效容积负荷法计算公式如下所示。

▲秘五公式14-11
(2)动力学法计算公式如下所示(注意此方法适合于升流式,因为升流式的流态更趋近于推流式)。计算出时间t后,按照公式V=Q?t即可算出最终的有效容积。

(3)对于AF工艺的停留时间校核,一般采用HRT为24~48h为宜,如果知道实际去除COD的百分比,则可以通过公式计算:E%=(1-1.8/HRT)x100%,这个公式秘书处教材上并未给出,可以标记在教材相关部分。
本节内容也是案例考试中的常考点,主要是教材中给出的四种工艺的相关设计计算(厌氧接触氧化法、厌氧生物滤池、厌氧膨胀床与流化床、升流式厌氧反应器),并且这四种工艺的侧重点不一样,对于本节介绍的厌氧接触氧化法和厌氧生物滤池来说,需要注意的就是以下2点:
1.厌氧接触氧化法的临界污泥龄概念及污泥龄计算、出水COD值计算;
2.厌氧生物滤池的升流式动力学计算方法及其HRT校核方法。
对于剩余两种工艺(厌氧膨胀床和流化床以及UASB)需要注意的点,详见下节分解。
内容源于网络,旨在分享,如有侵权,请联系删除
相关资料推荐:
https://ziliao.co188.com/d63612149.html
知识点:厌氧接触法工艺和厌氧生物滤池工艺介绍
0人已收藏
0人已打赏
免费3人已点赞
分享
中水处理回用
返回版块9852 条内容 · 214 人订阅
阅读下一篇
污水处理的两级厌氧消化工艺原理介绍本节主要讲解两级厌氧消化和两相厌氧消化。 01 两级厌氧消化相关规定 两级厌氧消化将整个消化过程分为两级,第一级消化池加热、搅拌和收集污泥气,第二级消化池不加热不搅拌,利用第一级消化池的余热继续消化,其主要功能是浓缩和排除上清液。 ▲两级厌氧消化池 有关于两级厌氧消化工艺,《室外排水设计规范》相关条款给出了说明,分别见如下所述。 第7.3.3条:厌氧消化可采用单级或两级中温消化。单级厌氧消化池(两级厌氧消化池中的第一级)污泥温度应保持33~35℃。有初次沉淀池系统的剩余污泥或类似污泥,宜与初沉池污泥合并进行厌氧消化处理。对于第7.3.3条有如下三条解释:
回帖成功
经验值 +10
全部回复(0 )
只看楼主 我来说两句抢沙发