本节主要讲解升流式厌氧污泥床(UASB)。
升流式厌氧污泥创反应器指废水通过布水装置依次进入底部的污泥层和中上部污泥悬浮区,与其中的厌氧微生物进行反应生成沼气,气液固混合液通过上部三相分离器进行分离,污泥回落到污泥悬浮区,分离后废水排出系统,同时回收产生沼气的厌氧反应器,简称UASB反应器。
三相分离器是UASB的重要工艺特征之一,指安装于厌氧污泥床中上部,收集反应区产生的沼气,并使悬浮物沉淀、出水排放,实现气体、固体、液体的分离的装置。
絮状污泥是UASB中的一种污泥形式,也称厌氧活性污泥,是指由兼性菌和专性厌氧菌与废水中的有机和无机固形物混合在一起形成的黑褐色絮状污泥。
颗粒污泥是UASB中另一种重要的污泥形式,也是UASB能够高效降解COD的关键因素所在,颗粒污泥是指通过生物自固定过程形成的细胞团聚体;厌氧颗粒污泥有一定形状、结构和表面积,粒径相对较大(d>0.5mm),并在沉速、强度、密度、孔隙率等方面具有相对稳定的物理性质,其包括了降解废水有机物污染物所必须的各种酶和菌群,并具有较高的产甲烷活性。

▲UASB功能分区
UASB有机容积负荷与消化温度、废水水质、布水均匀程度、颗粒污泥浓度有关。处理含蛋白质或脂肪较高的废水时,一般需要考虑两个问题:
1.溶解性COD含量越高,可选择的容积负荷越高;
2.废水中含悬浮固体越多,形成的污泥颗粒密度越小,所以要控制进水悬浮固体浓度不应大于6gTSS/L。
UASB进水系统有树枝管式配水系统、穿孔管式配水系统和多点多管配水系统,UASB进水兼配水和水力搅拌功能。要求在反应器底部均匀配水,防止短路或表面负荷不均匀现象,并满足污水水力搅拌的需要,还有利于沼气气泡逸出与污泥分离,并促进废水与污水间充分接触,使污泥床处于完全混合状态,防止局部产生酸化现象。
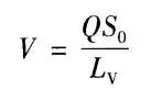
对于UASB设计计算,最重要的一点就是上流速度在数值上等于水力表面负荷,与进水流量、反应器横截面积有关。上流速度的设计主要考虑颗粒污泥的沉降速率,与反应器高度有直接关系,有关公式如下所示:
(1)有效容积:

▲秘五公式14-21
?V——UASB反应区容积;
?Q——废水设计流量,m3/d;
?Lv——可溶性有机容积负荷,kgCOD/(m3?d),可根据表14-9选用;
?S0——原废水的总COD浓度,kg/m3,即包括溶解性COD,也包括悬浮COD。

表14-9 推荐的溶解性COD容积负荷
(2)反应区横截面积:

▲秘五公式14-22
?A——反应区表面积,m2;
?H——反应区高度,m;
?t——反应区水力停留时间,h;
?Q——废水设计流量,m3/h。
(3)反应区高度计算:

?q——反应区允许水力表面负荷(上流速度),m3/(m2?h)
本节主要总结升流式厌氧污泥创反应器(UASB)相关知识点,总结如下:
1.UASB的重要特点:颗粒活性污泥;
2.UASB的重要工艺特征:三相分离器;
3.UASB上流速度v在数值上等于水力表面负荷q;
4.UASB处理VFA(挥发性有机酸)废水时,其有机负荷高,说明VFA废水易降解。
内容源于网络,旨在分享,如有侵权,请联系删除
相关资料推荐:
https://ziliao.co188.com/p63054468.html
知识点:UASB工艺设计计算
0人已收藏
0人已打赏
免费3人已点赞
分享
中水处理回用
返回版块9852 条内容 · 214 人订阅
阅读下一篇
污水的深度处理和三级处理的联系与区别本节内容为污水三级处理与深度处理的区别、污水深度处理的去除目标。 01 污水三级处理与深度处理的区别 正式开始之前,先看一看《室外排水设计规范》对于相关工艺段是如何定义的。 1.一级处理:污水通过沉淀去除悬浮物的过程; 2.一级强化处理:投加混凝剂或生物污泥,提高一级处理污染物去除率的过程; 3.二级处理:污水一级处理后,再用生物方法进一步去除污水中胶体和溶解性有机物的过程;
回帖成功
经验值 +10
全部回复(0 )
只看楼主 我来说两句抢沙发