①单一横坡的浅三角形沟的泄水能力Qc 可按下式计算:
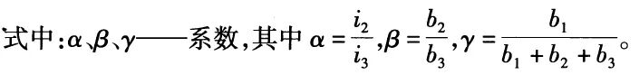
②复合横坡浅三角形沟的泄水能力可按上式计算泄水能力乘以系数,系数由下式确定:
计算示意如下图所示:
③其他深宽比小于1:6 的浅沟的泄水能力应乘以1.2,即Qc=1.2vA。
当水流深度为0.4m~1.0m 时,宜按下表的规定取值↓

相关资料推荐:
https://ziliao.co188.com/s62301302.html
知识点:边坡排水沟的水力计算
0人已收藏
0人已打赏
免费4人已点赞
分享
市政给排水
返回版块23.68 万条内容 · 859 人订阅
阅读下一篇
路基排水设计丨排水明沟的水文计算设计径流量与汇水面积、平均降雨强度、径流系数等因素有关。 (一)基本计算公式 式中:Q—设计径流量(m3/s); ψ—径流系数; F—汇水面积(km2); q
回帖成功
经验值 +10
全部回复(0 )
只看楼主 我来说两句抢沙发