设计径流量与汇水面积、平均降雨强度、径流系数等因素有关。
(一)基本计算公式

式中:Q—设计径流量(m3/s);
ψ—径流系数;
F—汇水面积(km2);
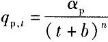
qp,t——设计重现期和降雨历时内的平均降雨强度(mm/min)。
(二)径流系数
径流系数是指径流量占总降水量的百分比,可按表1确定。当汇水区域内有多种类型的地表时,应分别为每种类型选取径流系数后,按相应的面积大小取加权平均值。
(三)设计重现期和降雨历时内的平均降雨强度
设计降雨的重现期根据公路等级和排水类型按表2确定。
表1 径流系数ψ

表2 设计降雨的重现期(单位:年)

当地气象站有10年以上自记雨量资料时,宜利用气象站观测资料,经统计分析,确定相关参数后按式(1)计算设计重现期和降雨历时内的平均降雨强度。

其中:
式中:t—降雨历时(min);
P—重现期(年);
b、n、c、d—回归系数。
当地缺乏自记雨量资料时,可利用标准降雨强度等值线图和有关转换系数,按式(2) 计算降雨强度。

式中:q5,10—5年重现期和10min降雨历时的标准降雨强度(mm/min),按公路所在地区查图获得;
cp——重现期转换系数,为设计降雨重现期降雨强度qp与标准重现期降雨强度q5的比值(qp /q5),按公路所在地区由表1查取;
ct——降雨历时转换系数,为降雨历时t的降雨强度qt 与10min降雨历时的降雨强度q10 的比值(qt / q10),按公路所在地区的60min转换系数c60 由表2查取。
表1 重现期转换系数cp

注:*干旱区约相当于5年一遇10min降雨强度小于0.5mm/min的地区。
表2 降雨历时转换系数ct

降雨历时是指径流由汇水区最远点到设计控制点的汇流时间,其值为由汇水区最远点到排水设施处的坡面汇流历时和在沟或管内由入口时间到控制点时间的沟管径流历时之和。
(1)坡面汇流历时
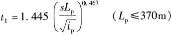
坡面汇流历时可按下式计算确定:

式中:t1—坡面汇流历时(min);
Lp—坡面流的长度(m);
ip一坡面流的坡度;
s—地表粗度系数,按地表情况查表1确定
表1 地表粗度系数s

(2)沟管内汇流历时
应在断面尺寸、坡度变化点或者有支沟(支管)汇入处分段,分别计算各段的汇流历时,再叠加而得,按下式计算。当沿程有旁侧入流时,第一段沟管的平均流速可用该段沟管的末断面流速乘折减系数0.75计算,其余各段可用上、下端断面流速的平均值计算。

式中:t2—沟管内汇流历时(min);
n、m—分段数和分段序号;
lm—第m段的长度(m);
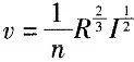
vm—第m段沟管的平均流速m/s,也可按式(3)近似估算,可按式(4)计算确定。
(3)
计算路表排水时,单向三车道及以下的路面汇流历时可取5min;单向三车道以上的路面汇流历时按公式计算,可不计沟管内汇流历时。
(4)
式中:n—沟壁或管壁的粗糙系数,可按表1查取;
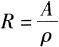
R—水力半径(m),各种沟或管的水力半径计算式可参考《公路排水设计规范)(JTG/T D33—2012)附录 B;
(5)
ρ——过水断面湿周(m);
I一水力坡度,无旁侧入流的明沟,水力坡度可采用沟的底坡,有旁侧入流的明沟,水力坡度可采用沟段的水面坡降。
沟壁或管壁的粗糙系数n

相关资料推荐:
https://ziliao.co188.com/d62317238.html
知识点:路基排水设计
0人已收藏
0人已打赏
免费3人已点赞
分享
市政给排水
返回版块23.68 万条内容 · 858 人订阅
回帖成功
经验值 +10
全部回复(0 )
只看楼主 我来说两句抢沙发