知识点:建筑电气符号
建筑电气施工图中有许多的字母符号,一会BV BVV,一会TC SC,还有很多奇奇怪怪的组合,它们都分别有什么含义呢?今天小编就和大家一起学习一下建筑电气施工图中的的一些基础知识。

电缆由线芯、绝缘层、保护层组成,在电路中起着输送和分配电能的作用。
1.聚氯乙烯绝缘聚氯乙烯护套电力电缆:VV VLV
2.交联聚乙烯绝缘聚氯乙烯护套电力电缆:YJV YJLV
① 电话电缆:HYY HYV
② 同轴射频电缆:STV-75-4
三.母线
四.线路敷设代号
五.线路敷设部位代号
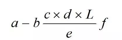
六.线路在平面图上的表示
a-b (c × d) e - f
七.灯具在平面图上的表示

例:

西元 建筑电气工程技术实训室解决方案
建筑电气工程技术专业(代码540403)是高职建筑设备大类中的一个主要专业,本方案根据高职建筑设备类专业特点和岗位技能需求,充分应用了计算机网络技术、物联网、人工智能等新一代信息技术,满足建筑电气、建筑智能化等领域对工程项目设计、安装施工、调试验收和运维管理等大国工匠与高技能专业人才的培养需求。本方案以专业教学标准为依据,以相关国家标准为导向,以专业核心课为重点,以学生对口就业为最终目标,提出了系列实训室解决方案。
本方案从产教融合入手,开发了丰富优质的软性资源,解决了教师敢上课,上好课的难题。第一教材先行,优先主编出版了专业教材;第二理实合一,按照教学与技能实训需求,配置专业设备,安排了实训项目;第三送课上门,西元持证技师、专业工程师送课上门;第四实训操作视频与VR相结合,快速掌握技能,第五西元工坊师资培训与技能鉴定增值服务;第六省级科技创新服务平台开展继续教育等。
本方案以掌握岗位技能和对口就业为目标,在实训室硬件设备配置中,第一安排了常用器材与工具展示柜,专业文化展示箱;第二安排了基本技能实训设备和技能竞赛内容;第三安排了工程设计与实战操作设备;第四安排了工具箱及货架;第五安排了成套的实训材料包。
本方案全面覆盖了建筑电气工程技术专业(代码540403)需要的实训室,包括建筑智能化工程技术实训室、建筑电气消防工程技术实训室、建筑供配电与照明技术实训室、电工电子实训室、建筑电气控制实训室、建筑电气施工技术实训室等。每个实训室都包括技术原理、项目设计、设备选型、工程施工、联动调试、运行维护等,对标真实工程案例,全方位的让学生参与整个项目运营过程,直接获取真实工程经验,专业对口就业。
一
建筑电气相关国家标准
我国在建筑智能化行业已经建立了比较完善的标准体系,主要国家标准如下:
1)GB 50303-2015《建筑电气工程施工质量验收规范》
2)GB 50617-2010《建筑电气照明装置施工与验收规范》
3)GB/T 50786-2012《建筑电气制图标准》
4)GB 51204-2016《建筑电气工程电磁兼容技术规范》
5)JG/T 417-2013《建筑电气用并联有源电力滤波装置》
6)JG/T 526-2017《建筑电气用可弯曲金属导管》
7)JG/T 16-2008《民用建筑电气设计规范》

更多国家标准资源,请访问西元网站 www.s369.com,或联系西元当地办事处。
二
专业核心课程
专业核心课程:(建议必修课与课时、学分,按照18学时为1学分)
三
配套的软性资源
西元实训室配套有完整的软性资源,包括教材、专业文化等,详见表540404-11-0。
相关推荐链接:
0人已收藏
0人已打赏
免费0人已点赞
分享
电气工程原创版块
返回版块2.2 万条内容 · 597 人订阅
阅读下一篇
建筑电气施工图识图知识汇集知识点:建筑电气图纸 电气施工图的特点: 1.建筑电气工程图大多是采用统一的图形符号并加注文字符号绘制而成的; 2.电气线路都必须构成闭合回路; 3.线路中的各种设备、元件都是通过导线连接成为一个整体的; 4.在进行建筑电气工程图识读时应阅读相应的土建工程图及其他安装工程图,以了解相互间的配合关系; 5.建筑电气工程图对于设备的安装方法、质量要求以及使用维修方面的技术要求等往往不能完全反映出来,所以在阅读图纸时有关安装方法、技术要求等问题,要参照相关图集和规范。
回帖成功
经验值 +10
全部回复(0 )
只看楼主 我来说两句抢沙发