摘 要
一、《建筑地基基础设计规范》GB 50007-2011变形计算

(5. 3. 5)
——地基最终变形量(mm);
——按分层总和法计算出的地基变形量(mm);
——沉降计算经验系数,根据地区沉降观测资料及经验确定,无地区经验时可根据变形计算深度范围内压缩模量的当量值(
)、基底附加压力按表5.3.5取值;
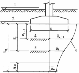
——地基变形计算深度范围内所划分的土层数(图5.3.5);
——相应于作用的准永久组合时基础底面处的附加压力(kPa);
——基础底面下第i层土的压缩模量(MPa),应取土的自重压力至土的自重压力与附加压力之和的压力段计算;
——基础底面至第i层土、第i-1层土底面的距离(m);
——基础底面计算点至第i层土、第i-1层土底面范围内平均附加应力系数,可按本规范附录K采用。

图5.3.5基础沉降计算的分层示意
1—天然地面标高;2—基底标高;3—平均附加应力系数
曲线;4—i-1层;5—i层
表5.3.5 沉降计算经验系数


——复合地基最终变形量(mm);
——复合地基沉降计算经验系数,根据地区沉降观测资料经验确定,无地区经验时可根据变形计算深度范围内压缩模量的当量值(
)按表7.2.10取值;
——复合地基计算变形量(mm),可按本规范公式(5.3.5)计算;加固土层的压缩模量可取复合土层的压缩模量,按本规范第7.2.12条确定;地基变形计算深度应大于加固土层的厚度,并应符合本规范第5.3.7条的规定。

),应按下式计算:

(5.3.6)
——第i层土附加应力系数沿土层厚度的积分值。
(图5.3.5),应符合式(5.3.7)的规定。当计算深度下部仍有较软土层时,应继续计算。

(5.3.7)
——在计算深度范围内,第i层土的计算变形值(mm);
——在由计算深度向上取厚度为
的土层计算变形值(mm),
见图5.3.5并按表5.3.7确定。
表5.3.7

《建筑地基基础设计规范》GB 50007—2011第5.3.8条规定,当无相邻荷载影响,基础宽度在1m~30m范围内时,基础中点的地基变形计算深度也可按简化公式(5.3.8)进行计算。在计算深度范围内存在基岩时,
可取至基岩表面;当存在较厚的坚硬黏性土层,其孔隙比小于0.5、压缩模量大于50MPa,或存在较厚的密实砂卵石层,其压缩模量大于80MPa时,
可取至该层土表面。此时,地基土附加压力分布应考虑相对硬层存在的影响,按本规范公式(6.2.2)计算地基最终变形量。

(5.3.8)

(5.3.10)
——地基的回弹变形量(mm);
—— 回弹量计算的经验系数,无地区经验时可取1.0
——基坑底面以上土的自重压力(kPa),地下水位以下应扣除浮力;
——土的回弹模量(kPa),按现行国家标准《土工试验方法标准》GB/T 50123 中土的固结试验回弹曲线的不同应力段计算。

(5.3.11)
——地基土回弹再压缩变形量(mm);
——地基的回弹变形量(mm);
——临界再压缩比率,相应于再压缩比率与再加荷比关系曲线上两段线性交点对应的再压缩比率,由土的固结回弹再压缩试验确定;
——临界再加荷比,相应在再压缩比率与再加荷比关系曲线上两段线性交点对应的再加荷比,由土的固结回弹再压缩试验确定;
——对应于再加荷比R′=1.0时的再压缩比率,由土的固结回弹再压缩试验确定,其值等于回弹再压缩变形增大系数;
——再加荷的基底压力(kPa)。
(MPa),要求取土的自重压力至土的自重压力与附加压力之和的压力段计算,而目前勘察报告给出的是给定压力段的平均压缩模量,通常是不吻合的;
采用应变比法;
。
二、《北京地区建筑地基基础勘察设计规范》 DBJ 11-501-2009(2016年版)
变形计算

(7.4.7)
——地基最终沉降量(mm);
——按分层总和法计算的地基沉降量(mm);
——沉降计算经验系数,根据建筑物的类别、基础类型、基础埋置深度、基础宽度及地基土质情况,分别按表7.4.7-1或表7.4.7-2采用;
——地基计算深度范围内划分的土层数,地基变形的计算深度,对于中、低压缩性土取附加压力等于自重压力20%的深度;对于高压缩性土取附加压力等于自重压力10%的深度;
——相应于荷载效应准永久组合的基础底面处的附加压力值(kPa);
——基础底面至第i层土、第i-1层土底面的距离(m);
——基础底面计算点到第i层土、第i-1层土底面范围内的平均附加应力系数,按本规范附录H采用。
——基础底面下第i层土的压缩模量(MPa),取土的自重压力至土的自重压力与附加压力之和的压力段所对应的压缩模量。

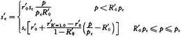
《北京地区建筑地基基础勘察设计规范》 DBJ 11-501-2009(2016年版)第7.4.8条规定,当高层建筑的基础埋置较深,考虑地基土回弹再压缩和正常固结压缩的实际加载变形过程,按下式计算最终沉降量:

——沉降计算经验系数;根据建筑物的类别、基础类型、基础埋置深度、基础宽度及地基土质情况,按表7.4.8-1采用;
——基础底面处土的有效自重压力,相当于基坑开挖的卸荷量(kPa);
——基础底面以下第i层土的回弹再压缩模量,按实际应力段取值(MPa)。
表7.4.8-1 沉降计算经验系数
值


——
地基变形计算深度(m);
、
——分别为与基础长宽比有关的经验值和折减系数,按照表7.4.8-2确定;
——
调整系数,按表7.4.8-3确定。

。
三、《高层建筑岩土工程勘察标准》JGJ/T 72-2017变形计算
)、压缩指数(
)、初始孔隙比(
)和先期固结压力(
),根据先期固结压力
与土的有效自重压力
的比值——超固结比
OCR
,确定土的固结状态。当超固结比
OCR
<1.0 时,为欠固结土;当OCR 为 1.0~1.2 时,可视为正常固结土;当 OCR>1.2 时,可视为超固结土。
时,该层土的固结沉降量可按下式估算:

——第i层土的固结沉降量(mm);
——第i层土的平均厚度(mm);
——第i层土的初始孔隙比平均值;
——第i层土的回弹再压缩指数平均值;
——第i层土的有效自重压力平均值(kPa);
——对应于荷载效应准永久组合时,第i层土有效附加压力平均值(kPa);
——第i层土的先期固结压力平均值(kPa)。
时,该层土的固结沉降量可按下式估算:

(8.2.11-2)
——
第i层土的压缩指数平均值。

4、当为欠固结土时,该层土的沉降量可按下式估算:

5、整个沉降计算深度内的总沉降量应为各土层沉降量之和。沉降计算深度对于中、低压缩性土应算至有效附加压力等于上覆土有效自重压力 20%处,对于高压缩性土应算至有效附加压力等于上覆土有效自重压力 10%处。当无相邻荷载影响时,亦可按本标准附录 C 计算沉降量。
四、小 结
值随压缩模量
增大而减少,《北京地区建筑地基基础勘察设计规范》 DBJ 11-501-2009(2016年版)多层建筑沉降计算经验系数
值随压缩模量
增大而减少(具体数值和《建筑地基基础设计规范》差异明显),高层建筑沉降计算经验系数
值随压缩模量
增大而增大。
采用应变比法,《北京地区建筑地基基础勘察设计规范》 DBJ 11-501-2009(2016年版)和《高层建筑岩土工程勘察标准》JGJ/T 72-2017地基变形计算深度采取应力比法。
内容源于网络,如有侵权,请联系删除
相关资料推荐:
知识点:建筑地基变形计算
0人已收藏
0人已打赏
免费5人已点赞
分享
地基基础
返回版块12.11 万条内容 · 717 人订阅
阅读下一篇
唯一的地基计算理论(地基沉降)近代哲学的认识论有两大流派,唯理论和经验论。唯理论的代表人物是地球人都知道的笛卡尔坐标的那个笛卡尔,而经验论的代表是休谟,大家可能不熟悉,熟悉的是培根。唯理论基本脱离了人们对世界的经验完全用最初的公理演绎出了理论的大厦比如欧几里得几何学等,认为只有这个严密逻辑的推出的理论才是真理。而经验论认为人类的一切知识都必须来源于经验,只能从经验归纳出理论。唯理论的演绎的基础如何保证是真理呢?这也是经验论被唯理论攻击的弱点,唯理论只好把这些理论的基点说成是先验的,即无需证明就是正确的。而经验论认为一切东西都来源于经验,那人类如何穷尽经验呢?所以结论是世界上就根本不存在真理,从而发展到了极端的怀疑论。休谟甚至认为连因果关系也并不存在,是人类头脑自己产生的。“科学只能证伪不能证实”就是怀疑论的名言。
回帖成功
经验值 +10
全部回复(0 )
只看楼主 我来说两句抢沙发