1 基础埋置深度
1.1 基础的埋置深度,应按下列条件确定:
1 建筑物的用途,有无地下室、设备基础和地下设施,基础的形式和构造;
2 作用在地基上的荷载大小和性质;
3 工程地质和水文地质条件;
4 相邻建筑物的基础埋深;
5 地基土冻胀和融陷的影响。
1.2 在满足地基稳定和变形要求的前提下,当上层地基的承载力大于下层土时,宜利用上层土作持力层。除岩石地基外,基础埋深不宜小于0.5m。
1.3 高层建筑基础的埋置深度应满足地基承载力、变形和稳定性要求。位于岩石地基上的高层建筑,其基础埋深应满足抗滑稳定性要求。
1.4 在抗震设防区,除岩石地基外,天然地基上的箱形和筏形基础其埋置深度不宜小于建筑物高度的1/15;桩箱或桩筏基础的埋置深度(不计桩长)不宜小于建筑物高度的1/18。
1.5 基础宜埋置在地下水位以上,当必须埋在地下水位以下时,应采取地基土在施工时不受扰动的措施。当基础埋置在易风化的岩层上,施工时应在基坑开挖后立即铺筑垫层。
1.6 当存在相邻建筑物时,新建建筑物的基础埋深不宜大于原有建筑基础。当埋深大于原有建筑基础时,两基础间应保持一定净距,其数值应根据建筑荷载大小、基础形式和土质情况确定。
1.7 季节性冻土地基的场地冻结深度应按下式进行计算:
zd=z0·ψzs·ψzw·ψze (5. 1. 7)
式中:zd——场地冻结深度(m),当有实测资料时按zd=h′-△z计算;
h′——最大冻深出现时场地最大冻土层厚度(m);
△z——最大冻深出现时场地地表冻胀量(m);
z0——标准冻结深度(m);当无实测资料时,按本规范附录F采用;
ψzs——土的类别对冻结深度的影响系数,按表5. 1.7-1采用;
ψzw——土的冻胀性对冻结深度的影响系数,按表5. 1.7-2采用;
ψze——环境对冻结深度的影响系数,按表5.1.7-3采用。
表5.1.7-1 土的类别对冻结深度的影响系数
| 土的类别 | 影响数ψzs |
| 黏性土 | 1.00 |
| 细砂、粉砂、粉土 | 1.20 |
| 中、粗、砾砂 | 1.30 |
| 大块碎石土 | 1.40 |
表5.1.7-2 土的冻胀性对冻结深度的影响系数
| 冻胀性 | 影响系数ψzw |
| 不冻胀 | 1. 00 |
| 弱冻胀 | 0.95 |
| 冻胀 | 0.90 |
| 强冻胀 | 0.85 |
| 特强冻胀 | 0.80 |
表5.1.7-3 环境对冻结深度的影响系数
| 周围环境 | 影响系数ψze |
| 村、镇、旷野 | 1.00 |
| 城市近郊 | 0.95 |
| 城市市区 | 0.90 |
注:环境影响系数一项,当城市市区人口为20万~50万时,按城市近郊取值;当城市市区人口大于50万小于或等于100万时,只计入市区影响;当城市市区人口超过100万时,除计入市区影响外,尚应考虑5km以内的郊区近郊影响系数。
1.8 季节性冻土地区基础埋置深度宜大于场地冻结深度。对于深厚季节冻土地区,当建筑基础底面土层为不冻胀、弱冻胀、冻胀土时,基础埋置深度可以小于场地冻结深度,基础底面下允许冻土层最大厚度应根据当地经验确定。没有地区经验时可按本规范附录G查取。此时,基础最小埋置深度dmin可按下式计算:
dmin=zd-hmax (5.1.8)
式中:hmax——基础底面下允许冻土层最大厚度(m)。
1.9 地基土的冻胀类别分为不冻胀、弱冻胀、冻胀、强冻胀和特强冻胀,可按本规范附录G查取。在冻胀、强冻胀和特强冻胀地基上采用防冻害措施时应符合下列规定:
1 对在地下水位以上的基础,基础侧表面应回填不冻胀的中、粗砂,其厚度不应小于200mm;对在地下水位以下的基础,可采用桩基础、保温性基础、自锚式基础(冻土层下有扩大板或扩底短桩),也可将独立基础或条形基础做成正梯形的斜面基础。
2 宜选择地势高、地下水位低、地表排水条件好的建筑场地。对低洼场地,建筑物的室外地坪标高应至少高出自然地面300mm~500mm,其范围不宜小于建筑四周向外各一倍冻结深度距离的范围。
3 应做好排水设施,施工和使用期间防止水浸入建筑地基。在山区应设截水沟或在建筑物下设置暗沟,以排走地表水和潜水。
4 在强冻胀性和特强冻胀性地基上,其基础结构应设置钢筋混凝土圈梁和基础梁,并控制建筑的长高比。
5 当独立基础连系梁下或桩基础承台下有冻土时,应在梁或承台下留有相当于该土层冻胀量的空隙。
6 外门斗、室外台阶和散水坡等部位宜与主体结构断开,散水坡分段不宜超过1.5m,坡度不宜小于3%,其下宜填入非冻胀性材料。
7 对跨年度施工的建筑,入冬前应对地基采取相应的防护措施;按采暖设计的建筑物,当冬季不能正常采暖时,也应对地基采取保温措施

2 承载力计算
2.1 基础底面的压力,应符合下列规定:
1 当轴心荷载作用时
pk≤?a (5.2.1-1)
式中:pk——相应于作用的标准组合时,基础底面处的平均压力值(kPa);
?a——修正后的地基承载力特征值(kPa)。
2 当偏心荷载作用时,除符合式(5. 2.1-1)要求外,尚应符合下式规定:
pkmax≤1.2?a (5.2.1-2)
式中:pkmax——相应于作用的标准组合时,基础底面边缘的最大压力值(kPa)。
2.2 基础底面的压力,可按下列公式确定:
1 当轴心荷载作用时
pk=(Fk+Gk)/A (5.2.2-1)
式中:Fk——相应于作用的标准组合时,上部结构传至基础顶面的竖向力值(kN);
Gk——基础自重和基础上的土重(kN);
A——基础底面面积(m2)。
2 当偏心荷载作用时
pkmax=[(Fk+Gk)/A]+(Mk/W) (5. 2.2-2)
pkmin=[(Fk+Gk)/A]-(Mk/W) (5. 2.2-3)
式中:Mk——相应于作用的标准组合时,作用于基础底面的力矩值(kN·m);
W——基础底面的抵抗矩(m3);
pkmin——相应于作用的标准组合时,基础底面边缘的最小压力值(kPa)。
3 当基础底面形状为矩形且偏心距e>b/6时(图5.2.2),pkmax应按下式计算:
pkmax=[2(Fk+Gk)]/3la (5. 2.2-4)
式中:l——垂直于力矩作用方向的基础底面边长(m);
a——合力作用点至基础底面最大压力边缘的距离(m)。

图5.2.2 偏心荷载(e>b/6)下基底压力计算示意
b-力矩作用方向基础底面边长
2.3 地基承载力特征值可由载荷试验或其他原位测试、公式计算,并结合工程实践经验等方法综合确定。
2.4 当基础宽度大于3m或埋置深度大于0.5m时,从载荷试验或其他原位测试、经验值等方法确定的地基承载力特征值,尚应按下式修正:
?a=?ak+ηbγ(b-3)+ηdγm(d-0.5) (5. 2.4)
式中:?a——修正后的地基承载力特征值(kPa);
?ak——地基承载力特征值(kPa),按本规范第5. 2.3条的原则确定;
ηb、ηd——基础宽度和埋置深度的地基承载力修正系数,按基底下土的类别查表5.2.4取值;
γ——基础底面以下土的重度(kN/m3),地下水位以下取浮重度;
b—基础底面宽度(m),当基础底面宽度小于3m时按3m取值,大于6m时按6m取值;
γm—— 基础底面以上土的加权平均重度(kN/m3),位于地下水位以下的土层取有效重度;
d——基础埋置深度(m),宜自室外地面标高算起。在填方整平地区,可自填土地面标高算起,但填土在上部结构施工后完成时,应从天然地面标高算起。对于地下室,当采用箱形基础或筏基时,基础埋置深度自室外地面标高算起;当采用独立基础或条形基础时,应从室内地面标高算起。
表5.2.4 承载力修正系数
| 土 的 类 别 | ηb | ηd | |
| 淤泥和淤泥质土 | 0 | 1.0 | |
| 人工填土 e或IL大于等于0.85的黏性土 |
0 | 1.0 | |
| 红黏土 | 含水比aw>0.8 含水比aw≤0.8 |
0 0.15 |
1.2 1.4 |
| 大面积压实填土 | 压实系数大于0.95、黏粒含量pc≥10%的粉土 最大干密度大于2100kg/m3的级配砂石 |
0 0 |
1. 5 2. 0 |
| 粉土 | 黏粒含量pc≥10%的粉土 黏粒含量pc<10%的粉土 |
0.3 0.5 |
1.5 2.0 |
| e及IL均小于0.85的黏性土 粉砂、细砂(不包括很湿与饱和时的稍密状态) 中砂、粗砂、砾砂和碎石土 |
0.3 2.0 3.0 |
1.6 3.0 4.4 |
|
注:1 强风化和全风化的岩石,可参照所风化成的相应土类取值,其他状态下的岩石不修正;
2 地基承载力特征值按本规范附录D深层平板载荷试验确定时ηd取0;
3 含水比是指土的天然含水量与液限的比值;
4 大面积压实填土是指填土范围大于两倍基础宽度的填土。
2.5 当偏心距e小于或等于0.033倍基础底面宽度时,根据土的抗剪强度指标确定地基承载力特征值可按下式计算,并应满足变形要求:
?a=Mbγb+Mdγmd+Mcck (5.2.5)
式中:?a——由土的抗剪强度指标确定的地基承载力特征值(kPa);
Mb、Md、Mc——承载力系数,按表5.2.5确定;
b——基础底面宽度(m),大于6m时按6m取值,对于砂土小于3m时按3m取值;
ck——基底下一倍短边宽度的深度范围内土的黏聚力标准值(kPa)。
表5.2.5 承载力系数Mb、Md、Mc
| 土的内摩擦角标准值φk(°) | Mb | Md | Mc |
| 0 | 0 | 1.00 | 3.14 |
| 2 | 0.03 | 1.12 | 3.32 |
| 4 | 0.06 | 1.25 | 3.51 |
| 6 | 0.10 | 1.39 | 3.71 |
| 8 | 0.14 | 1.55 | 3.93 |
| 10 | 0.18 | 1.73 | 4.17 |
| 12 | 0.23 | 1.94 | 4.42 |
| 14 | 0.29 | 2.17 | 4.69 |
| 16 | 0.36 | 2.43 | 5.00 |
| 18 | 0.43 | 2.72 | 5.31 |
| 20 | 0.51 | 3.06 | 5.66 |
| 22 | 0.61 | 3.44 | 6.04 |
| 24 | 0.80 | 3.87 | 6.45 |
| 26 | 1.10 | 4.37 | 6.90 |
| 28 | 1.40 | 4.93 | 7.40 |
| 30 | 1.90 | 5.59 | 7.95 |
| 32 | 2.60 | 6.35 | 8.55 |
| 34 | 3.40 | 7.21 | 9.22 |
| 36 | 4.20 | 8.25 | 9.97 |
| 38 | 5.00 | 9.44 | 10.80 |
| 40 | 5.80 | 10.84 | 11.73 |
注:φk——基底下一倍短边宽度的深度范围内土的内摩擦角标准值(°)。
2.6 对于完整、较完整、较破碎的岩石地基承载力特征值可按本规范附录H岩石地基载荷试验方法确定;对破碎、极破碎的岩石地基承载力特征值,可根据平板载荷试验确定。对完整、较完整和较破碎的岩石地基承载力特征值,也可根据室内饱和单轴抗压强度按下式进行计算:
?a=ψr·?rk (5. 2.6)
式中:?a——岩石地基承载力特征值(kPa);
?rk——岩石饱和单轴抗压强度标准值(kPa),可按本规范附录J确定;
ψr——折减系数。根据岩体完整程度以及结构面的间距、宽度、产状和组合,由地方经验确定。无经验时,对完整岩体可取0.5;对较完整岩体可取0.2~0.5;对较破碎岩体可取0.1~0.2。
注:1 上述折减系数值未考虑施工因素及建筑物使用后风化作用的继续;
2 对于黏土质岩,在确保施工期及使用期不致遭水浸泡时,也可采用天然湿度的试样,不进行饱和处理。
2.7 当地基受力层范围内有软弱下卧层时,应符合下列规定:
1 应按下式验算软弱下卧层的地基承载力:
pz+pcz≤?az (5.2.7-1)
式中:pz——相应于作用的标准组合时,软弱下卧层顶面处的附加压力值(kPa);
pcz——软弱下卧层顶面处土的自重压力值(kPa);
?az——软弱下卧层顶面处经深度修正后的地基承载力特征值(kPa)。
2 对条形基础和矩形基础,式(5.2.7-1)中的pz值可按下列公式简化计算:
条形基础
pz=[b(pk-pc )]/(b+2ztanθ) (5. 2.7-2)
矩形基础
pz=[lb(pk-pc )]/[(b+2ztanθ)(l+2ztanθ)] (5. 2.7-3)
式中:b——矩形基础或条形基础底边的宽度(m);
l——矩形基础底边的长度(m);
pc——基础底面处土的自重压力值(kPa);
z——基础底面至软弱下卧层顶面的距离(m);
θ——地基压力扩散线与垂直线的夹角(°),可按表5.2.7采用。
表5.2.7 地基压力扩散角θ
| Es1/Es2 | z/b | |
| 0.25 | 0.50 | |
| 3 | 6° | 23° |
| 5 | 10° | 25° |
| 10 | 20° | 30° |
注:1 Es1为上层土压缩模量;Es2为下层土压缩模量;
2 z/b<0.25时取θ=0°,必要时,宜由试验确定;z/b>0.50时θ值不变;
3 z/b在0.25与0.50之间可插值使用。
2.8 对于沉降已经稳定的建筑或经过预压的地基,可适当提高地基承载力。

3 变形计算
3.1 建筑物的地基变形计算值,不应大于地基变形允许值。
3.2 地基变形特征可分为沉降量、沉降差、倾斜、局部倾斜。
3.3 在计算地基变形时,应符合下列规定:
1 由于建筑地基不均匀、荷载差异很大、体型复杂等因素引起的地基变形,对于砌体承重结构应由局部倾斜值控制;对于框架结构和单层排架结构应由相邻柱基的沉降差控制;对于多层或高层建筑和高耸结构应由倾斜值控制;必要时尚应控制平均沉降量。
2 在必要情况下,需要分别预估建筑物在施工期间和使用期间的地基变形值,以便预留建筑物有关部分之间的净空,选择连接方法和施工顺序。
3.4 建筑物的地基变形允许值应按表5.3.4规定采用。对表中未包括的建筑物,其地基变形允许值应根据上部结构对地基变形的适应能力和使用上的要求确定。
表5.3.4 建筑物的地基变形允许值
| 变 形 特 征 | 地基土类别 | ||
| 中、低压缩性土 | 高压缩性土 | ||
| 砌体承重结构基础的局部倾斜 | 0.002 | 0.003 | |
| 工业与民用建筑相邻柱基的沉降差 | 框架结构 | 0.002l | 0.003l |
| 砌体墙填充的边排柱 | 0.0007l | 0.001l | |
| 当基础不均匀沉降时不产生附加应力的结构 | 0.005l | 0.005l | |
| 单层排架结构(柱距为6m)柱基的沉降量(mm) | (120) | 200 | |
| 桥式吊车轨面的倾斜(按不调整轨道考虑) | 纵 向 | 0.004 | |
| 横 向 | 0.003 | ||
| 多层和高层建筑的整体倾斜 | Hg≤24 | 0.004 | |
| 24<Hg≤60 | 0.003 | ||
| 60<Hg≤100 | 0.0025 | ||
| Hg>100 | 0.002 | ||
| 体型简单的高层建筑基础的平均沉降量(mm) | 200 | ||
| 高耸结构基础的倾斜 | Hg≤20 | 0.008 | |
| 20<Hg≤50 | 0.006 | ||
| 50<Hg≤100 | 0.005 | ||
| 100<Hg≤150 | 0.004 | ||
| 150<Hg≤200 | 0.003 | ||
| 200<Hg≤250 | 0.002 | ||
| 高耸结构基础的沉降量(mm) | Hg≤100 | 400 | |
| 100<Hg≤200 | 300 | ||
| 200<Hg≤250 | 200 | ||
注:1 本表数值为建筑物地基实际最终变形允许值;
2 有括号者仅适用于中压缩性土;
3 l为相邻柱基的中心距离(mm);Hg为自室外地面起算的建筑物高度(m);
4 倾斜指基础倾斜方向两端点的沉降差与其距离的比值;
5 局部倾斜指砌体承重结构沿纵向6m~10m内基础两点的沉降差与其距离的比值。
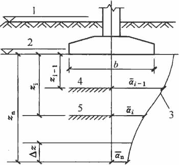
5.3.5 计算地基变形时,地基内的应力分布,可采用各向同性均质线性变形体理论。其最终变形量可按下式进行计算:
(5. 3. 5)
式中:s——地基最终变形量(mm);
s′——按分层总和法计算出的地基变形量(mm);
ψs——沉降计算经验系数,根据地区沉降观测资料及经验确定,无地区经验时可根据变形计算深度范围内压缩模量的当量值(Es)、基底附加压力按表5.3.5取值;
n——地基变形计算深度范围内所划分的土层数(图5.3.5);
p0——相应于作用的准永久组合时基础底面处的附加压力(kPa);
Esi——基础底面下第i层土的压缩模量(MPa),应取土的自重压力至土的自重压力与附加压力之和的压力段计算;
zi、zi-1——基础底面至第i层土、第i-1层土底面的距离(m);
ai、ai-1——基础底面计算点至第i层土、第i-1层土底面范围内平均附加应力系数,可按本规范附录K采用。

图5. 3. 5基础沉降计算的分层示意
1—天然地面标高;2—基底标高;3—平均附加应力系数a曲线;4—i-1层;5—i层
表5.3.5 沉降计算经验系数ψs
| Es(MPa) | 2.5 | 4.0 | 7.0 | 15.0 | 20.0 | |
| 基底附加压力 | ||||||
| p0≥?ak | 1.4 | 1.3 | 1.0 | 0.4 | 0.2 | |
| p0≤0.75?ak | 1.1 | 1.0 | 0.7 | 0.4 | 0.2 | |
5.3.6 变形计算深度范围内压缩模量的当量值(Es),应按下式计算:
(5. 3. 6)
式中:Ai——第i层土附加应力系数沿土层厚度的积分值。
5.3.7 地基变形计算深度zn(图5 3.5),应符合式(5. 3. 7)的规定。当计算深度下部仍有较软土层时,应继续计算。
(5. 3. 7)
式中:△s′i——在计算深度范围内,第i层土的计算变形值(mm);
△s′n——在由计算深度向上取厚度为△z的土层计算变形值(mm),△z见图5. 3. 5并按表5. 3. 7确定。
表5.3.7 △z
| b(m) | ≤2 | 2<b≤4 | 4<b≤8 | b>8 |
| △z(m) | 0.3 | 0.6 | 0.8 | 1.0 |
3.8 当无相邻荷载影响,基础宽度在1m~30m范围内时,基础中点的地基变形计算深度也可按简化公式(5.3.8)进行计算。在计算深度范围内存在基岩时,zn可取至基岩表面;当存在较厚的坚硬黏性土层,其孔隙比小于0.5、压缩模量大于50MPa,或存在较厚的密实砂卵石层,其压缩模量大于80MPa时,zn可取至该层土表面。此时,地基土附加压力分布应考虑相对硬层存在的影响,按本规范公式(6.2.2)计算地基最终变形量。
zn=b(2.5-0.41nb) (5. 3.8)
式中:b—— 基础宽度(m)。
3.9 当存在相邻荷载时,应计算相邻荷载引起的地基变形,其值可按应力叠加原理,采用角点法计算。
5.3.10 当建筑物地下室基础埋置较深时,地基土的回弹变形量可按下式进行计算:
(5. 3.10)
式中:sc——地基的回弹变形量(mm);
ψc—— 回弹量计算的经验系数,无地区经验时可取1.0;
pc——基坑底面以上土的自重压力(kPa),地下水位以下应扣除浮力;
Eci——土的回弹模量(kPa),按现行国家标准《土工试验方法标准》GB/T 50123 中土的固结试验回弹曲线的不同应力段计算。
3.11 回弹再压缩变形量计算可采用再加荷的压力小于卸荷土的自重压力段内再压缩变形线性分布的假定按下式进行计算:
(5.3. 11)
式中:s′c——地基土回弹再压缩变形量(mm);
sc——地基的回弹变形量(mm);
r′0——临界再压缩比率,相应于再压缩比率与再加荷比关系曲线上两段线性交点对应的再压缩比率,由土的固结回弹再压缩试验确定;
R′0——临界再加荷比,相应在再压缩比率与再加荷比关系曲线上两段线性交点对应的再加荷比,由土的固结回弹再压缩试验确定;
r′R′=1.0——对应于再加荷比R′=1.0时的再压缩比率,由土的固结回弹再压缩试验确定,其值等于回弹再压缩变形增大系数;
p——再加荷的基底压力(kPa)。
3.12 在同一整体大面积基础上建有多栋高层和低层建筑,宜考虑上部结构、基础与地基的共同作用进行变形计算。

4 稳定性计算
4. 1 地基稳定性可采用圆弧滑动面法进行验算。最危险的滑动面上诸力对滑动中心所产生的抗滑力矩与滑动力矩应符合下式要求:
MR/MS≥1.2 (5.4.1)
式中:MS——滑动力矩(kN·m);
MR——抗滑力矩(kN·m)。
4. 2 位于稳定土坡坡顶上的建筑,应符合下列规定:
1 对于条形基础或矩形基础,当垂直于坡顶边缘线的基础底面边长小于或等于3m时,其基础底面外边缘线至坡顶的水平距离(图5.4. 2)应符合下式要求,且不得小于2.5m:
条形基础
a≥3.5b-(d/tanβ) (5. 4.2-1)
矩形基础
a≥2.5b-(d/tanβ) (5.4.2-2)
式中:a——基础底面外边缘线至坡顶的水平距离(m);
b——垂直于坡顶边缘线的基础底面边长(m);
d——基础埋置深度(m);
β——边坡坡角(°)。
2 当基础底面外边缘线至坡顶的水平距离不满足式(5.4.2-1)、式(5.4.2-2)的要求时,可根据基底平均压力按式(5.4. 1 )确定基础距坡顶边缘的距离和基础埋深。
3 当边坡坡角大于45°、坡高大于8m时,尚应按式(5.4. 1)验算坡体稳定性。

图5.4.2 基础底面外边缘线至坡顶的水平距离示意
4.3 建筑物基础存在浮力作用时应进行抗浮稳定性验算,并应符合下列规定:
1 对于简单的浮力作用情况,基础抗浮稳定性应符合下式要求:
Gk/Nw,k≥Kw (5.4.3)
式中:Gk——建筑物自重及压重之和(kN);
Nw,k——浮力作用值(kN);
Kw——抗浮稳定安全系数,一般情况下可取1.05。
2 抗浮稳定性不满足设计要求时,可采用增加压重或设置抗浮构件等措施。在整体满足抗浮稳定性要求而局部不满足时,也可采用增加结构刚度的措施。
内容源于网络,如有侵权,请联系删除
相关资料推荐:
知识点:地基计算
0人已收藏
0人已打赏
免费5人已点赞
分享
地基基础
返回版块12.11 万条内容 · 717 人订阅
阅读下一篇
不同年代规范中地基基础承载力的计算方法既有建筑结构鉴定时,地基基础是结构系统中除上部承重结构、围护结构以外重要的一环。由于我国岩土工程勘察和地基基础设计规范、荷载规范的变更修订,不同年代的地基基础设计方法有所不同,地基承载力的概念也有所不同。 本文主要对天然地基基础设计时,不同年代规范中地基基础承载力的计算方法进行简要的介绍。 01
回帖成功
经验值 +10
全部回复(0 )
只看楼主 我来说两句抢沙发