《室外排水设计标准》(GB50014 - 2021)4.1.11:地面集水时间应根据汇水距离、地形坡度和地面种类通过计算确定,宜采用 5-15min。根据国内资料,地面集水时间采用的数据大多数不经计算,按经验确定。在地面平坦、地面种类接近、降雨强度相差不大的情况下,地面集水距离是决定集水时间长短的主要因素;地面集水距离的合理范围是 50-l50m, 采用的集水时间为5-15min。
小区内的雨水流程大概是:屋面分水线→女儿墙侧收水沟→雨水斗→雨水立管→外墙下散水地面→室外硬质地坪/绿地→室外道路→道路雨水口→雨水井,流程比较长,感觉这里采用5-15min能接受。但是市政车行道上的雨水呢?大概流程是:道路中心线→道路两侧→道路雨水口,一般雨水口间距25-50m,纵坡平缓时在25m左右,感觉这里的流程较短,单纯对于雨水口而言,采用5-15min的集水时间是不是有点长了。当然了,上述仅是个人感觉,还需要数据来进行判断。之所以了解集水时间,主要是考虑后续雨水口布置间距及布置个数问题,也即雨水口所能承担的过水量问题。

关于集水时间的计算模型呢,流派众多(见文末),不一一介绍,因为太复杂了,自己也搞不明白,这里只取几种常见的方法进行简单介绍!
1. 小于90m的流行时间
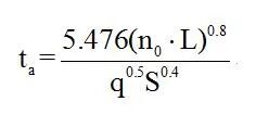
1)Overton-Meadows公式(1976)
地面集水过程的流态分为片流(坡面流)、浅水集中流和明渠流3种状态。其中,片流通常发生在流线不大于90m的上游汇水区域,发生片流时,粗糙系数(曼宁系数)对应不大于3cm的浅层水深,其综合了雨滴影响、平面阻力和沉积物运移的影响。

式中:ta为地面集水时间,min;n0为粗糙系数;L为地面集水距离,m;q为设计重现期24h降雨量,mm;S为地形坡度。
原式如下:

和上式区别在于部分参数的单位,ta单位为h,L单位为ft,P单位为in。经过转化,0.007变成了5.476。
2)Morgali-Linsley公式(1965)
《城镇内涝防治技术规范》(GB51222-2017)3.3.2:地面集水时间应根据汇水距离、地形坡度、地面种类和暴雨强度等因素通过计算确定,并应符合下列规定:
当地面汇水距离不大于90m时,可按下式计算:

式中:ta为地面集水时间,min;n0为粗糙系数;L为地面集水距离,m;q为设计暴雨强度,L/(s·ha);S为地形坡度。
原式如下:

和上式区别在于部分参数的单位,如L单位为ft,i为单位in/h。经过转化,0.94变成了10.41。
2.大于90m的流行时间
在片流流行90m以后或片流不再存在时,会出现浅水集中流,水流厚度大于3cm,集中流动于小溪、洼地等。流行时间是坡度和流态的函数,见下式(《城镇内涝防治技术规范》(GB51222-2017)3.3.2:):

式中:ta为地面集水时间,min;k为地面截留系数,用混凝土、沥青或砖石铺装的地面取6.196,未铺装地面取4.916;L为地面集水距离,m;S为地形坡度。
3. 举例
假如道路红线宽40m,地面纵坡0.003,横坡0.015,雨水口间距25m,红线范围内的雨水都汇集至雨水口排出,重现期按3年考虑,道路雨水的流线长度不大于90m,按上述两种公式进行计算,暴雨强度公式如下:


1)按Overton-Meadows公式计算:t1为0.8min,t2为1.9min,总计2.7min;按Morgali-Linsley公式计算:t1为1.5min,t2为1.8min,总计3.2min。
2)两个公式的数据好像都不大于5min,当然了,你可能会说,那5min如果算上雨水口连接管流行时间呢,以25m连接管长度为例,其流行时间不到30s,算下来总时间也不到5min。
4. 其它
1)文中并未详细说明公式是怎么来的,公式应用范围是什么,主要是不想深究,水力学上的内容过于复杂。
2)两个公式相比较而言,感觉前者在外文书籍中出现的频率更高些,当然,书籍数量有限,也可能感觉有误。
3)探讨地面集水时间的主要目的在于确定雨水口的过流量,进而来合理设置雨水口的数量。

内容源于网络,如有侵权,请联系删除
相关资料推荐:
集水井水泵控制原理图CAD
https://ziliao.co188.com/d63538096.html
知识点:集水时间
0人已收藏
0人已打赏
免费3人已点赞
分享
市政给排水
返回版块23.68 万条内容 · 858 人订阅
阅读下一篇
关于内涝防治设计重现期的思考在我国城镇内涝防治规范中,大排水系统设计重现期是按照人口规模确定的,而部分发达国家和地区的城镇一般采用统一的内涝防治标准,或者按照城镇不同地区的重要性、人口聚集程度等因素划分重现期。我国地域广阔,降雨分布不均,每个城镇都有人口密集区和重要地区,如果只按照城镇人口规模确定内涝防治标准,则不利于保证中小城镇的防灾效果、不利于中小城镇按照高标准建设防涝基础设施,建议按照城镇区域的重要性等指标制定内涝防治标准。
回帖成功
经验值 +10
全部回复(0 )
只看楼主 我来说两句抢沙发