我最早接触EPASWMM是在同济大学读研期间,那个时候基本属于懵懵懂懂的感觉,只能说会操作,远远谈不上会使用,因为很多原理性的东西还是很不清楚。真正开始认真研究排水模型的原理,还得从我在上海工作参加相关规范的编制开始,这些年通过大量学习国外的规范、手册、书籍(有气象、水文、水利、土壤等各行各业)等资料,很多问题基本已经清晰(虽然离在中国使用还有一段距离,因为排水行业很多公式是经验公式,有很多参数地区性很强),但有个问题却一直没有得到一个满意的答案:“EPASWMM软件里面的地面汇流模型中的子集水区宽度怎么取?”
SWMM的地面汇流模型不光是在 EPASWMM这个软件里面使用,在很多商业软件中也得到广泛的使用,因为它形式简单,并且还有一定的物理意义。SWMM地面汇流模型也叫运动波汇流模型,它假定集水区宽度、粗糙系数和地面坡度不变,通过联立连续性方程和曼宁公式求解地面径流过程线,原理示意图如下:

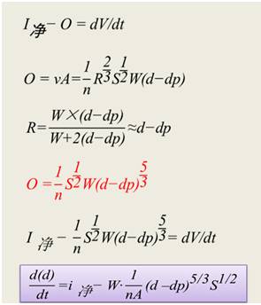
模型推导过程如下:


公式分析如下:
1)SWMM使用的运动波汇流模型是根据净雨过程线求解出流过程线。SWMM中的净雨过程线是通过降雨过程线减去下渗过过程线得到,并不涉及到径流系数的问题。但是,在某些商业软件中,净雨过程线是通过降雨过程线乘以径流系数得到(这种方法也称为固定径流系数法),我最近这段时间在使用这个商业软件进行管道和河道耦合模拟才注意到,当采用固定径流系数法计算净雨过程线时,这个径流系数必须是雨量径流系数,几乎绝大部分模型工程师(包括我在内)一直都是采用流量径流系数。实际上,对于我们的设计暴雨(至少2年一遇),雨量径流系数对于所有的用地类型都是很大的,尤其是南方地区,土壤将很快饱和,基本上所有用地类型统一取0.9都不为过。而如果采用流量径流系数(《室外排水设计规范》内的径流系数),将会大大减少径流总量,这个问题如果只做管道模拟,很难被模型工程师发现,因为管道只关注峰值流量。但是如果做到了管道河道耦合模型,就会出现严重问题,因为河道模型是蓄排水模型,总量对模型非常重要。
固定径流系数法计算净雨过程线方法如下:
净雨过程线 = 降雨过程线 * 雨量径流系数
有些国产软件可以实现根据径流系数反推下渗参数功能,这里提醒下:径流系数要采用雨量径流系数。暴雨时的雨量径流系数主要取决于土壤类型和地下水位高度,换句话说,最大下渗水量等于土壤稳定下渗的水量加上不饱和土壤本身的蓄水量,和下垫面类型关系不大。
在进行内涝模拟和LID模拟时,使用的渗透模型是截然不同的:内涝模拟时是土壤越干燥,下渗能力越大;而LID模拟时,土壤越干燥,渗出能力越小。因为LID模拟时,蓄水空间是一层层的,而内涝模拟大多数时候是假定无限深的土壤层,并未考虑地下水水位。
2)SWMM运动波汇流模型中并没有集水时间的概念,但是并不代表集水时间不重要。在进行模拟时,模拟的时间步长要小于或等于集水区的响应时间(response time),最常见的集水区响应时间就是集水时间(说明还有别的,如lag time)。集水时间的计算方法很多,以运动波法为例:

观察集水时间计算公式和SWMM汇流模型,可以发现,计算tc需要的参数都包括在SWMM汇流模型中。因此,对于每一个集水区,如果可以求解SWMM汇流模型,那么同样可以算出一个tc,进而代入暴雨强度公式求出对应的暴雨强度值,再根据推理公式法求出对应的峰值径流量(这个时候会用到流量径流系数)。有意思的地方到了,我们求解SWMM汇流模型也可以得到出流的峰值流量,比较通过推理公式法和SWMM汇流模型算出的峰值流量的差异将会是一个非常有趣的研究,这个工作留给高校的老师和同学去开展。
SWMM的汇流模型和推理公式法结合起来研究将涉及到:降雨雨型、雨量径流系数、流量径流系数、地面粗糙系数、集水区面积、地面漫流长度、地面坡度。其实这也提醒了我们,流量径流系数不光和下垫面类型有关(通过地面粗糙系数反映),它还和很多因素有关。
3)集水区宽度的确定
严格意义上讲,子集水区宽度是否取值正确只有通过实验确定,只有模拟结果和实测结果一样,才表明集水区宽度取值正确。但是进行这个工作对绝大多数设计人员是不现实的。因此,寻找一个估算方法就显得极为必要。
最早的集水区宽度取值是根据集水区和道路路沿石的相交长度来确定,这对道路路面雨水计算是正确的,因为所有的路面雨水都要先到路沿石才能进入雨水口。这种情况下,W = 2 * Curb Length(假定道路中间高,两边低)。



内容源于网络,如有侵权,请联系删除
相关资料推荐:
https://ziliao.co188.com/p44394806.html
知识点:集水时间、径流系数与集水区宽度
0人已收藏
0人已打赏
免费4人已点赞
分享
市政给排水
返回版块23.68 万条内容 · 858 人订阅
阅读下一篇
雨水调节设施的设计计算原则这一节主要讲解第四章其余内容,包括雨水管渠系统上径流量的调节、立体交叉道路雨水排除、内涝防治、雨水综合利用等4部分内容。 01 雨水管渠系统上径流量的调节 这一节内容可以出案例题,但是截至目前为止历年真题并未出现任何有涉及此处知识点的案例题目,所以了解即可。 雨水管渠系统上,大多采用调节池调节径流量,而调节池形式有三种:溢流堰式(适用于陡坡地区)、底部流槽式(适用于地势平坦而管道埋深较大的地段)、中部侧堰式(适用于地势平坦而管道埋深不大的地段)。其中溢流堰式和底部流槽式较为重要。
回帖成功
经验值 +10
全部回复(0 )
只看楼主 我来说两句抢沙发