这一节主要讲解第四章其余内容,包括雨水管渠系统上径流量的调节、立体交叉道路雨水排除、内涝防治、雨水综合利用等4部分内容。
这一节内容可以出案例题,但是截至目前为止历年真题并未出现任何有涉及此处知识点的案例题目,所以了解即可。
雨水管渠系统上,大多采用调节池调节径流量,而调节池形式有三种:溢流堰式(适用于陡坡地区)、底部流槽式(适用于地势平坦而管道埋深较大的地段)、中部侧堰式(适用于地势平坦而管道埋深不大的地段)。其中溢流堰式和底部流槽式较为重要。

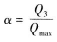
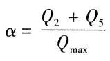
不管什么类型的调节池,其下游干管的雨水设计流量,都遵循以下公式计算。

Q'——调节池下游干管汇水面积上的雨水设计流量,(m3/s);
Qmax——调节池上游干管的设计流量(m3/s);
对于溢流堰式调节池:

对于底部流槽式调节池:

以上两个公式中的Q2代表不进入调节池的超越流量,Q3代表调节池下游雨水干管的流量,Q5为调节池出水流量。
立体交叉道路部分常考知识题,而且属于重点必考内容,其知识点较为复杂,一般每年都会出一两道知识题,需要认真对待。
立体交叉道路排水主要解决降雨在汇水面积内形成的地面径流和必须排除的地下水。需要注意的是,立交道路不仅仅是排除地面径流,还有地下水,这是一般雨水排水管渠所不具备的。
立体交叉道路排水的特点之一是高水高排,低水低排,简而言之就是高处的水(桥面)和低处的水(桥底部区域)不能混合在一起排放,必须各排各的,主要是考虑立交道路对于交通来说非常重要且排水情况复杂,要尽量保证其功能的正常使用。
立交道路排水的特点之二就是对于工程最低点位于地下水位以下时,要采取控制地下水的措施,一般为盲沟,或者设泵站。

立交道路排水的特点之三是其排水设计标准要高于一般道路。主要体现在设计重现期要更高,对此,《室外排水设计规范》有明文规定:“雨水管渠设计重现期不应小于10年,位于中心城区的重要地区,设计重现期应为20年~30年,同一立体交叉道路的不同部位可以采用不同设计重现期”。对于这一条常考的就是不容部分可以采用不同设计重现期这一条规定,类似前面说的普通雨水管渠设计时不同地区可以采用不同设计重现期,规定比较灵活。
立交道路排水的特点之四是雨水口的布置要便于拦截径流。直接体现就是雨水口的距离更近,普通雨水口距离25~50米,立交道路雨水口距离20~30米,雨水口设置更密集。并且每个雨水口都要单独设管排放,而普通雨水口的一段连接管至多可以串接3个雨水口。
立交道路排水的特点之五是其管道设计断面不小于400mm,而以下各段的设计断面均应加大一级。而普通雨水管最小管径为300mm,立交桥雨水排水管比普通雨水排水管管径更大,更安全。
立交道路排水的特点之六是立交地道要采取各种措施防止被淹。
我国城镇内涝防治设计标准是重现期和地面积水深度。关于内涝防治部分内容,参考《室外排水设计规范》3.2.4B部分内容,而对于该条款,应重点了解以下5个方面的内容。
①城镇内涝防治的主要目的是将降雨期间内的地面积水控制在可接受的范围内,至于不同城市内涝防治设计重现期标准,参考下表。

②如何校核地面积水能力?采用重现期对排水系统的排除能力进行校核,校核城镇道路积水深度不超过15cm。
③校核结果如果不符合要求,可采取的措施:放大管径、增设渗透措施、建设调蓄管段或者调蓄池。
④雨水管渠执行上表标准时,雨水管渠按压力流计算,即雨水管渠处于超载状态(雨水管渠设计状态就是满流带压状态)。
⑤上表中道路积水深度是指靠近路拱(就是路中央最高的部位)处的车道上最深的积水深度。当路面积水深度超过15cm时,车道可能因机动车熄火而完全中断,因此规定每条道路至少应有一条车道的积水深度不超过15cm。
关于雨水综合利用的形式,主要有调蓄、渗透和综合利用三种,调蓄有末端调蓄池(防面源污染)和中间调蓄池(控制雨水径流)两种形式,渗透参见规范4.15节(不是重点),综合利用参见规范4.16(也非重点)。所以对于雨水综合利用部分来说,最重点就是调蓄部分。
而调蓄部分最重要的内容就是调蓄池计算,这也是案例的可出题点,具体公式参见规范4.14.4-4.14.7条,值得注意的是4.14.4用于合流制排水系统的径流污染控制时,雨水调蓄池的有效容积计算式中,调蓄池进水时间t中有一个初期效应的概念,什么是初期效应明显?降雨量小且慢,例如南方的梅雨,这时候由于降雨量小,则冲刷地面脏东西的水量小,形成的初期雨水水质就差,就叫做初期效应明显;相反的,当降暴雨时,暴雨量大且急,冲刷地面污物时水量大,形成的初期雨水水质就相对较好,就叫做初期效应不明显。

本节作为雨水部分的收尾,虽然有案例考核部分内容,但是并非案例考核重点,所以仍旧是知识题为主。需要注意的部分主要有以下几点。
1.调节池的三种形式(溢流堰式、底部流槽式、中部侧堰式);
2.立交道路排水系统的5大特点;
3.内涝防治设计标准(重现期和地面积水深度);
4.雨水综合利用部分的调蓄池计算(规范4.14节4个公式)。
相关资料推荐:
https://ziliao.co188.com/d62303515.html
知识点:雨水调节设施的设计计算原则
0人已收藏
0人已打赏
免费3人已点赞
分享
市政给排水
返回版块23.68 万条内容 · 858 人订阅
阅读下一篇
城市河道设计流量的二三事导读 由于城市化发展,城区下垫面条件的急剧改变影响了城市雨水产流、汇流规律,使得按照水利部门的用于计算自然发育条件下河道洪峰流量的推理公式及市政部门采用短历时暴雨计算公式计算的城市河道设计洪峰流量,计算结果往往偏差较大。我院设计人员探索了一种基于降雨过程理论的较接近实际的城市内河洪峰流量计算方法。
回帖成功
经验值 +10
全部回复(0 )
只看楼主 我来说两句抢沙发