《建筑桩基技术规范》规定,单桩竖向极限承载力标准值Quk的确定应符合下列要求:
(1)设计等级为甲级的建筑桩基,应通过单桩竖向静载试验确定。
(2)设计等级为乙级的建筑桩基,当地质条件简单时,可参照地质条件相同的试桩资料、结合静力触探等原位测试和经验参数综合确定;其余均应通过单桩静载试验确定。
(3)设计等级为丙级的建筑桩基,可根据原位测试和经验参数确定。
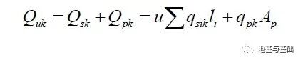
一般桩基的单桩竖向极限承载力标准值按下式计算:

式中:
qsik——桩侧第层土的极限侧阻力标准值,kPa,如无当地经验时,可按《建筑桩基技术规范》附表5.3.5-1取值;
qpk——极限端阻力标准值,kPa,如无当地经验时,可按《建筑桩基技术规范》附表5.3.5-2取值。

注:(1)对于尚未完成自重固结的填土和以生活垃圾为主的杂填土,不计算其侧阻力;
(2) aw为含水比,aw=w/wl,w为土的天然含水量,wl为土的液限;
(3) N为标准贯入击数;N63.5为重型圆锥动力触探击数;
(4)全风化、强风化软质岩和全风化、强风化硬质岩系指其母岩分别为frk≤15MPa 、frk>30MPa的岩石。
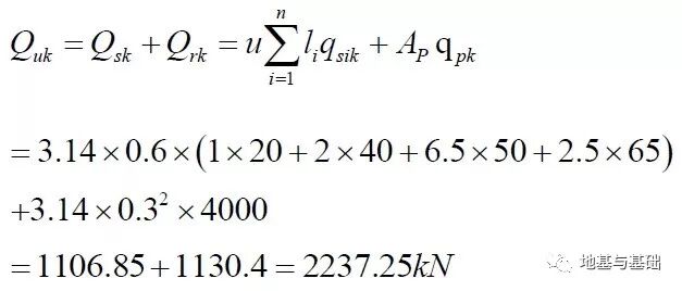
一般预制桩竖向极限承载力算例
某工程采用混凝土预制桩基础,承台埋深1.5m,桩为圆形截面,桩径d=0.6m,桩长12m。场地土层情况(自上而下)为:第1层杂填土,厚度2.5m,土层与桩侧摩阻力标准值qs1k=20kPa;第2层粘土,厚度2.0m,土层与桩侧摩阻力标准值qs2k=40kPa;第3层为粉质粘土,厚度6.5m,qs3k=50kPa;第4层为中砂,厚度较大,qs4k=65kPa,qpk=4000kPa。=3.14。求单桩竖向极限承载力标准值。
解:

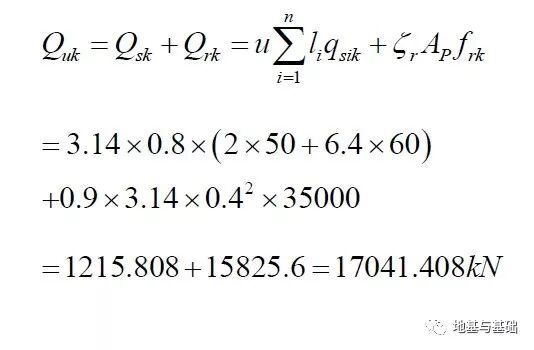
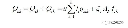
桩端置于完整、较完整基岩的嵌岩桩单桩竖向极限承载力,由桩周土总极限侧阻力和嵌岩段总极限阻力组成。当根据岩石单轴抗压强度确定单桩竖向极限承载力标准值时,可按下列公式计算:

式中 Qsk、Qrk——分别为土的总极限侧阻力、嵌岩段总极限阻力;
qsik——桩周第i层土的极限侧阻力,无当地经验时,可根据成桩工艺按桩基规范表5.3.5-1取值;
frk——岩石饱和单轴抗压强度标准值,黏土岩取天然湿度单轴抗压强度标准值;
ζr——嵌岩段侧阻和端阻综合系数,与嵌岩深径比hr/d、岩石软硬程度和成桩工艺有关,可按桩基规范表5.3.9采用;表中数值适用于泥浆护壁成桩,对于干作业成桩(清底干净)和泥浆护壁成桩后注浆,ζr应取表列数值的1.2倍。

注:①极软岩、软岩指frk≤15MPa,较硬岩、坚硬岩指frk>30MPa,介于二者之间可内插取值。
②hr为桩身嵌岩深度,当岩面倾斜时,以坡下方嵌岩深度为准;当hr/d为非表列值时,ζr可内差取值。
嵌岩桩竖向极限承载力算例
某工程采用桩基础,桩为圆形截面,桩径d=0.8m,桩长10m。桩端置于完整坚硬基岩,场地土层情况(自上而下)为:第一层粘土,厚度2.0m,土层与桩侧摩阻力标准值qs1k=50kPa;第二层为粉质粘土,厚度6.4m,qs2k=60kPa;第三层为基岩,厚度较大,岩石饱和单轴抗压强度标准值frk=35MPa。嵌岩段侧阻和端阻综合系数ζr=0.90, π=3.14。求单桩竖向极限承载力标准值。
解:

内容源于网络,如有侵权,请联系删除
相关资料推荐:
知识点:单桩竖向极限承载力的计算
0人已收藏
1人已打赏
免费16人已点赞
分享
结构资料库
返回版块41.29 万条内容 · 424 人订阅
阅读下一篇
新版《混凝土结构工程施工质量验收规范》关于混凝土强度验收规定的解读0 引言 混凝土强度是衡量混凝土质量的最重要指标,科学合理的混凝土强度检验评定方法,是正确评价及客观公正验收混凝土工程施工质量的关键。本文介绍了《混凝土结构工程施工质量验收规范》(GB 50204-2015)[1](以下简称《规范》)关于混凝土强度验收的方案,检验批混凝土强度检验和评定,以及结构实体混凝土强度检验等内容。总体来说,《规范》在混凝土强度验收方面的规定比2002版更加清晰合理,其中针对结构实体混凝土强度检验提出的回弹-取芯法,不仅简便,且能够更加科学客观地检验结构混凝土强度,对促进我国混凝土结构工程施工质量提升,并完善混凝土强度验收方法具有重要意义。
回帖成功
经验值 +10
全部回复(4 )
只看楼主 我来说两句-
wx_1653615116070
沙发
2025-02-05 17:32:05
赞同0
-
天地不言
板凳
2023-08-05 09:49:05
赞同0
加载更多真是学习了,感谢![]()
回复 举报
感谢楼主的分享,结构工程师对岩土的把握比较差一些,有了这个“单桩竖向极限承载力及抗拔力计算表格”效率会高很多![]()
回复 举报