土木在线论坛 \ 建筑设计 \ 建筑构造 \ CFG桩复合地基变形计算

CFG桩复合地基变形计算

发布于:2022-09-02 14:22:02 来自:建筑设计/建筑构造 [复制转发]

复合地基变形计算是复合地基设计的重要内容,亦属于强制性规范条文;复合地基变形计算参数选取、深度确定等是变形计算准确性的重要因素。本文对变形计算中的应力比法和应变比法进行了分析,并提出了计算参数选取需要注意的问题。

关键词:复合压缩模量、放大系数、强度控制、变形控制、变形计算深度、应力比、应变比法

1

引言

随着城市化发展,高层建筑增多,天然地基的承载力和变形满足不了设计要求时,需进行地基处理。根据地层、工艺经验、造价、工期等因素考虑,北京地区地基处理方式大多采用CFG桩复合地基。CFG桩复合地基设计计算时,必须同时满足地基强度和变形计算,变形计算尤为重要。本文简要介绍了CFG桩复合地基变形计算时,如何正确选取计算参数、静载荷试验最大加载量、如何确定计算深度及倾斜计算等需要注意的问题。

2

CFG桩复合地基变形计算标准

《建筑地基处理技术规范》JGJ 79-2012

7.1.7 复合地基变形计算应符合现行国家标准《建筑地基基础设计规范》GB 50007的有关规定,地基变形计算深度应大于复合土层的深度。复合土层的分层与天然地基相同,各复合土层的压缩模量等于该层天然地基压缩模量的ξ倍,ξ值可按下式确定:

图片

式中:

fak—基础底面下天然地基承载力特征值(kPa)。

7.1.8 复合地基的沉降计算经验系数ψs可根据地区沉降观测资料统计值确定,无经验取值时,可采用表7.1.8的数值。

表7.1.8 沉降计算经验系数ψs 

图片
图片
图片

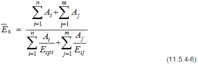
式中:

Ai—加固土层第i层土附加应力系数沿土层厚度的积分值;

 Aj—加固土层下第j层土附加应力系数沿土层厚度的积分值。


建筑地基基础设计规范》GB 50007—2011

5.3.5  计算地基变形时,地基内的应力分布,可采用各向同性均质线性变形体理论。其最终变形量可按下式进行计算: 

图片
图片
图片

图5.3.5  基础沉降计算的分层示意

图片

5.3.7  地基变形计算深度zn(图5.3.5),应符合式(5.3.7)的规定。当计算深度下部仍有较软土层时,应继续计算。

图片

式中:

s'i—在计算深度范围内,第i层土的计算变形值(mm);

s'n—在由计算深度向上取厚度为z的土层计算变形值(mm),z见图5.3.5并按表5.3.7确定。

图片


《北京地区建筑地基基础勘察设计规范》

 DBJ 11-501-2009(2016年版)

11.5.4 水泥粉煤灰碎石桩复合地基设计应满足下列要求:

7  水泥粉煤灰碎石桩复合地基变形计算应符合本规定第7.4节变形计算的有关规定,地基变形计算深度应大于复合土层的深度。

1) 土层的分层与天然地基相同,各土层的压缩模量等于该层天然地基压缩模量的ζ倍,ζ值可按下式确定:

图片

式中:

fka—基础底面下天然地基承载力标准值(kPa)。

2)地基变形计算深度范围内压缩模量的当量值按下式计算:

图片
图片

8  水泥粉煤灰碎石桩复合地基的沉降计算经验系数ψs可根据沉降观测资料统计值确定。无经验,按本规范公式(7.4.7)和公式(7.4.8-1)计算高层建筑地基沉降时,沉降计算经验系数ψs可分别按表11.5.4-1和表11.5.4-2。

7.4.7  计算建筑物地基变形时,地基内的应力分布可采用各向同性均质线性变形体理论。可按下式计算其最终沉降量: 

图片
图片


3

需要注意的问题

3.1 复合土层各参数取值需要注意以下问题:

(1) 天然地基承载力取值

      fak应为基础底面下天然地基承载力特征值,而不是基础底面下各层土的天然承载力特征值,在计算放大系数ξ时,天然地基承载力fak是唯一值。如果基础底面第二层土层承载力小于第一层持力层承载力,且第一层土层以薄层或透镜体状呈现,宜取第二层土天然地基承载力特征值。本公式中的fak取值还应与《建筑地基处理技术规范》(JGJ79-2012)(7.1.5-2)式中fak取值一致。

(2) 土层压缩模量Es取值

      压缩模量Es的压力段按照《北京地区建筑地基基础勘察设计规范》(DBJ11-501-2009)(2016年版),为有效自重压力到有效自重压力+附加压力之和。也就是基础底面下取附加压力较大值,随着深度的增加,附加压力取值应逐渐减小。准确取值时可依据土工试验的e~p曲线,按适当压力段计算取值。有些设计单位为了让地基变形计算满足设计要求,土层压缩模量Es取值从基底到桩端附加压力均按大值取Es是错误的。

(3) 复合地基承载力特征值fspk取值

      这里分两种情况,即地基处理是按强度控制设计还是按变形控制设计。当承载力满足设计要求,变形计算亦满足设计要求时,可按强度控制设计,fspk取设计要求的复合地基承载力特征值,工程验收承载力检测时,静载荷试验最大加载量不应小于按设计要求的承载力特征值的2倍;当承载力满足设计要求,变形计算不能满足设计要求时,可按变形控制设计,fspk取按公式(7.1.5-2)计算出来的复合地基承载力特征值,工程验收承载力检测时,静载荷试验最大加载量不应小于按公式计算的承载力特征值的2倍。

3.2 复合地基设计计算书较多采用理正软件,其计算的复合压缩模量值,没有区分是按强度控制还是按变形控制所得出的复合压缩模量值,做设计计算时应注意加以区别。

3.3 地基变形计算公式的选用。

      《建筑地基基础设计规范》GB 50007地基变形计算公式采用的是变形比法,北京规范地基变形计算公式采用的是应力比法。根据经验,如果桩端持力层为砂卵石等硬层时,两者计算沉降量基本一致;如果桩端持力层为粘性土等较软层时,按北京规范计算的复合地基变形计算沉降量偏小。

3.4 变形计算深度需要注意以下问题:

(1) 地基变形计算深度应大于复合土层的深度。

      这就要求在勘察报告中,需要地基处理的建(构)筑物,其钻孔深度应符合规范的有关规定,尤其是控制孔深度应满足地基变形计算要求。

(2) 复合地基变形计算深度的确定。

      建议采用《建筑地基基础设计规范》GB 50007—2011第5.3.7条规定的应变比法。北京地区复合地基变形计算也可以采用《北京地区建筑地基基础勘察设计规范》 DBJ 11-501-2009(2016年版)第7.4节变形计算规定的应力比法。根据经验,如果桩端持力层为砂卵石等硬层时,按北京规范计算的复合地基变形计算深度偏深;如果桩端持力层为粘性土等软弱土层时,按北京规范计算的复合地基变形计算深度偏浅。

(3) 当计算深度下部仍有较软土层时,应继续计算。

(4) 地基最大沉降量计算应计算建筑物基础中心点沉降。

3.5 倾斜计算需要注意的问题:

(1) 筏板基础。计算倾斜最大值,宜采用容易倾斜方向的两点计算,如长边的两个中点或短边的两个角点。计算参数应采用相对应的荷载、钻孔等参数。注意角点沉降计算公式与中心点沉降计算公式的区别。

(2) 独立柱基。应采用相邻柱基最大沉降差计算。

(3) 主楼和地库沉降差。当主体结构设计提出主楼和地库沉降差计算时,应计算主楼和地库之间相连构件两端的沉降差。

(4) 对于砌体承重结构(条形基础)应由局部倾斜值控制。

4

结论

综上所述,计算参数的正确选取、变形计算深度的确定是地基变形计算准确性的重要保证,CFG桩复合地基设计计算在满足强度控制的同时也要满足变形控制。地基处理设计人员在运用软件带来方便的同时,要深刻理解计算公式和参数的来源和含义。

知识点:CFG桩复合地基变形计算

实例:CFG桩复合地基沉降计算及变形观测


全部回复(0 )

只看楼主 我来说两句抢沙发
这个家伙什么也没有留下。。。

建筑构造

返回版块

7.65 万条内容 · 194 人订阅

猜你喜欢

阅读下一篇

复合地基变形计算深度4大要点!

《建筑地基处理技术规范》JGJ 79-2012第7.1.7条规定,复合地基变形计算应符合现行国家标准《建筑地基基础设计规范》GB 50007的有关规定,地基变形计算深度应大于复合土层的深度。 《建筑地基基础设计规范》GB 50007—2011第5.3.7条规定,地基变形计算深度(图5.3.5),应符合式(5.3.7)的规定。当计算深度下部仍有较软土层时,应继续计算。

回帖成功

经验值 +10