《建筑地基处理技术规范》JGJ 79-2012第7.1.7条规定,复合地基变形计算应符合现行国家标准《建筑地基基础设计规范》GB 50007的有关规定,地基变形计算深度应大于复合土层的深度。
《建筑地基基础设计规范》GB 50007—2011第5.3.7条规定,地基变形计算深度
(图5.3.5),应符合式(5.3.7)的规定。当计算深度下部仍有较软土层时,应继续计算。
——在计算深度范围内,第i层土的计算变形值(mm);
——在由计算深度向上取厚度为
的土层计算变形值(mm),
见图5.3.5并按表5.3.7确定。


《北京地区建筑地基基础勘察设计规范》 DBJ 11-501-2009(2016年版)第11.5.4 条第7款规定,水泥粉煤灰碎石桩复合地基变形计算应符合本规定第7.4节变形计算的有关规定,地基变形计算深度应大于复合土层的深度。
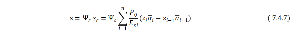
7.4.7 计算建筑物地基变形时,地基内的应力分布可采用各向同性均质线性变形体理论。可按下式计算其最终沉降量:


知识点:复合地基变形计算深度
0人已收藏
0人已打赏
免费0人已点赞
分享
建筑构造
返回版块7.65 万条内容 · 194 人订阅
回帖成功
经验值 +10
全部回复(0 )
只看楼主 我来说两句抢沙发