土木在线论坛 \ 道路桥梁 \ 桥梁工程 \ 桥梁结构数值分析

桥梁结构数值分析

发布于:2022-09-02 14:08:02 来自:道路桥梁/桥梁工程 [复制转发]

随着经济发展,我国的桥梁建设取得了举世瞩目的成就。得益于科学技术的不断进步,新材料以及新的施工方法的出现,桥梁结构向更大跨度、组合体系的方向发展,跨海大桥及山区复杂地理条件下桥梁也不断出现,这都需要在桥梁建造前掌握结构在各种复杂环境和作用下的力学状态和行为特征,对桥梁结构施工过程及运营阶段的状态的安全性和承载力进行正确的评估。目前桥梁结构所遇到的问题主要是弹性范围内结构静力、振动和稳定问题,以及非弹性范围内的材料非线性和几何非线性等问题。而所能解决这些问题的方法,概括起来大体上可分为解析法、数值法和实用计算法三大类。

材料力学、结构力学以及弹性理论是解析法对结构进行分析的理论基础,其方法是通过一定的假定条件借助于理论推导出解析公式,计算精度较高。但解析方法仅适合于那些结构及边界条件简单、规则、具有闭合解的情况。随着计算机的出现及应用普及,计算理论研究的深入和计算方法的日益成熟,越来越多的工程领域问题都引入了数值方法来分析工程中出现的各种问题。这种方法最显著的优点是能够建立各种作用下的复杂结构的精确数值模型,实现数值仿真模拟分析,其解决问题的步骤易于在计算机上编程实现,且具有计算速度快、通用性强、自动化程度高的特点。

数值方法的类型有许多,桥梁结构分析中常用的数值方法包括:有限差分法、有限单元法、有限条法、边界元等方法。有限条法采用纵向三角级数解析、横向离散的条元作为基本单元。这种单元可使二维问题简化为一维问题,因而所需求解的代数方程阶数大大降低,对计算机的内存容量要求不高,但这种方法仅适用于几何形状较规则的结构物。边界元法是在边界积分方程法和有限元法的基础上,通过对边界划分为有限个单元,在其内部利用经典解答,而发展出来的一种数值方法。由于仅在边界离散,故其参数的数目较少,输入数据简单,计算误差也限于边界及边界附近。另外,边界元法可以采用处理奇异性及无限域的解析试函数,从而克服了一般有限元在处理问题的定义域为无限域时或存在奇异性时所遇到的困难,扩大了适用范围。边界元法的不足之处是难以处理非线性及非均质问题,并且最终的线性代数方程组的系数矩阵是满阵、非对称的。

有限单元法是一种将连续体离散化为有限个形状相似的单元,单元间依靠结点相互联接组合成为整体模型。通过对单元进行研究、综合,然后运用计算机进行组集求解而得到问题解的数值方法。与差分法相比,有限单元法对于不规则的形状,具有更大的灵活性和适用性。与变分法相比,有限单元法采用的是在单元范围内用低次的多项式(或其它插值函数)分片插值的方法来逼近问题的真实解,从而克服了变分法在全域范围内寻找基函数的困难。因而其应用范围最为广泛。随着有限元理论和计算机的迅速发展,数值仿真技术已广泛使用于包括土木工程在内的许多行业和领域。由于有限元仿真技术相对于解析方法在计算的效率和适用范围上更具不可比拟的优势,在桥梁结构各种响应行为研究中处于主导地位。尽管有限单元法在解决桥梁结构受力分析方面具有强大的适应能力,但分析首先需要将结构和作用转化为数值模型。而实际的工程结构无论是在构造上或者材料本身特性具有复杂性和多变性,而现有的理论方法都不能完全描述结构的真实物理特性,造成数值化模型和实际结构的差异,因此有限元结果的精确性依赖于分析中结构模型化的合理性。近年来随着研究者不懈努力以及计算机技术的不断进步,在材料本构关系方面新的理论出现,结构数值模拟方法新技术也层出不穷,这都为我们深入和准确把握桥梁结构在复杂条件下的行为提供了可能。


PART-1

结构模拟方法

2.1 梁的数值模型:

桥梁结构中,梁和索等为主要的承力构件,因此桥梁结构分析以梁作为主要的分析模型。由于梁的截面尺寸远小于长度方向的尺寸,梁理论中将应力和应变分量作为厚度方向的函数,根据对函数不同的假定产生了不同的梁理论,因此梁理论求解是对空间结构行为的一种近似的求解方法。

经典的梁理论是基于Euler-Bernoulli假定[1],这种梁基于平截面假定,并且忽略了横向的剪应变和正应变。基于这个假定梁的弯曲时通过梁中心线的变形来表示的,梁上各点位移可以通过中面挠度?来表示:

图片

上式中:x为梁轴向坐标、z为竖向坐标;ux和uz则表示梁纵向和竖向的位移。

经典梁理论只适用于长梁,对于跨度较短或者梁高较大的深梁,这种忽略剪切变形的假定会带来不可忽略的偏差,因此Timnoshenko提出了考虑剪切变形的梁理论,这种梁通过两个独立的广义位移?、ψ表示梁的变形,符合平截面假定,但变形后梁轴线不再垂直于梁中面,这样梁的位移可以表示为:

图片

尽管Timnoshenko在经典梁的基础上考虑了剪切变形,但仍然是一种近似的梁,与三维弹性力学理论结构相比较,具有一定的局限性。而后学者又研究了高阶剪切变形梁理论,由于这些梁理论的计算精度并没得到显著提高,并且计算量却很大,因此很少用于实际桥梁结构分析。

经典Euler-Bernoulli梁和Timnoshenko都基于一个基本假定,就是梁在发生弯曲时满足平截面假定。这种处理方法对实腹截面梁,这种假定能较好满足精度的需求,而对于薄壁截面的梁单元,则不能反映截面真实的变形和应力状态。桥梁结构的主要受力构件多为具有翼缘和腹板的薄壁构件组成,在竖向弯曲荷载作用下,由于自身面内剪切变形的影响,导致梁截面出现了纵向附加位移,会使翼缘板在同一高度位置处正应力分布不均匀,这种现象称为剪力滞效应。由于剪力滞效应是薄壁梁的一种空间力学行为,采用平截面假定的初等梁理论则无法考虑这一问题。要分析梁的剪力滞效应,常用的方法是在初等梁理论的基础上增加一个附加纵向位移翘曲函数U(x),然后建立箱梁的总势能,再利用变分法和最小势能原理得到箱梁剪力滞控制微分方程,进而得到梁单元剪力滞系数矩阵和广义荷载矩阵。通过求解建立的总体平衡方程得到梁的剪力滞效应[2]。而杨绿峰提出箱梁的附加挠度代替剪力滞函数U(x),并将箱梁单元荷载、尺寸、材料视为常数,将箱梁单元的总势能泛函用矩阵形式表示,然后分别求得箱梁单元的形函数并导出刚度矩阵[3],求解得到单元的挠度与附加挠度,进而计算出截面的应力。

研究者在此基础上分离出了剪力滞效应引起的附加挠度,将其作为广义位移,推导出箱梁附加挠度的解析表达式,通过附加挠度函数得到单元节点位移的形函数,推导出关于附加挠度的刚度矩阵和荷载矩阵[4,5]。这种方法分析的过程中把箱梁的剪力滞变形状态看作是一种基本的,独立的变形状态,假定剪力滞变形的广义位移为剪力滞效应引起的附加挠度g(x),则任意一点处的纵向位移u (x,y,z)可表达为[5]:

图片

上式中:η为考虑剪力滞翘曲应力自平衡条件的修正系数;ωζ(y,z)为剪力滞翘曲位移函数。

通过以上方式可将剪力滞变形与梁的挠曲变形状态分离开来,进行剪力滞效应的分析,可分别计算出剪力滞翘曲应力和初等梁理论应力,然后叠加求得最终的解答。

Xiayuan Li针对桥梁结构薄壁单室和多室箱梁的剪力滞和剪切变形效应,提出了一种新的梁有限元[6]。将横截面翘曲位移定义为五种变形模式,即剪切滞后翘曲位移模式、初始剪切变形模式、弯曲模式、轴向模式和校正模式。通过选择微分方程的齐次解作为位移插值函数来计算单元刚度矩阵。这种单元在桥梁结构多箱室梁剪力滞效应时具有计算效率上的优势。

2.2几何非线性问题:

随着桥梁结构跨度日益增大,其力学行为上表现为几何非线性效应越显著。这种情况下位移与应变关系是线性的假定,不再适用于结构分析,需要采用大位移理论。而在桥梁结构中的几何非线性问题大都属于大位移、小应变问题。经过研究者几十年的努力,结构的几何非线性理论已日趋成熟,并在许多主流有限元软件种得到采用。

尽管几何非线性问题已取得大量研究成果,但由于分析中假定的不同,仍存在不同的学派,各派在理论上有差别,导致最后控制方程不同。在建立有限元方程时,这些学派的主要差别在于对应变位移运动方程做了不同简化;采用不同的能量平衡方程;选择不同的应力及其共轭应变作为求解应变能的基本参数。这就影响了非线性平衡方程的最后形式,也使计算方法各不相同。目前应用于桥梁结构分析的主流方法是Lagrange列式法。根据相关与参照描述在t时刻以前物体是在连续运动,所以每一时刻都可作为参照构形(图1)。但只有两种参照构形使用最方便,一种为参照描述法,以未变形时的物体构形0C为参照构形,称之为全Lagrange列式法;另一类为相关描述法,参照最后一个已知平衡构形,随计算进行其构形与坐标值也是变化的,所以称之为更新Lagrange列式法。这种方法被包括ANSYS、ABAQUS、MIDAS等在内的商业有限元分析软件所采用。

图片

图1 物体在不同时刻的构形

随动坐标法(co-rotaitional)则为几何非线性有限元提供了另一条途径,其主要思想是通过引入一个与单元一起共同旋转和平移的参考系,将单元的运动分解为刚体和纯变形部分[7-10]。变形响应是在局部坐标系的水平上计算,而由大刚体运动引起的几何非线性则包含在与局部量和全局量相关的变换矩阵中,这样可以在局部坐标系中使用线性理论。这种假设的主要好处在于非线性计算中可以利用既有高性能线性单元的计算步骤以降低算法的复杂性。

而近年来几何非线性问题研究多集中在薄壁结构、曲线梁及组合材料结构有限变形力学行为分析。研究者通过对翘曲位移场进行高阶插值建立了薄壁梁非线性分析的有限元模型[11],这种梁单元考虑了横截面形状的变化,并能描述弯曲变形和薄膜变形之间耦合作用,以及横截面上的位移分布,通过基于几何精确非线性方法实现薄壁梁单元的几何非线性分析。Kosar基于应变场混合插值提出了一种适用于变截面的曲梁单元来进行几何非线性分析[12]。使用了高性能的列式来缓解锁定现象(locking)并考虑有限转动问题,这种单元具有计算上的高效性和高精度。

非线性问题的研究已深入到结构分析的多个方面,M.Patni等提出了考虑了层合复合材料的几何非线性计算方法[13],推导了包含广义刚度的切线刚度矩阵的显式形式,适用于三维各向异性组合结构失效分析。这种方法建立在拉格朗日列式基础上,单元包含高阶剪切变形,以及局部横截面翘曲。采用这种方法对高度非线性的叠层复合材料类梁的静力分析,与三维有限元结果相比,在相似的计算水平下,显著提高了计算的准确度。此外有学者提出一种三维非线性增广有限元方法,用于研究材料在大变形下的裂纹发展[14]。这种方法将构件内材料层裂纹通过三维增广单元与层间分层的三维粘结界面单元耦合来实现,层内和层间裂纹的高度不连续性用几何非线性内聚区模型表示。其主要优势在于研究多裂纹的萌生和扩展问题时,单元不需要增加额外的自由度。

2.3 材料非线性分析:

塑性铰法最初发展起来的是弹塑性铰分析法,该方法假定构件不发生局部屈曲,允许单元端部形成零长度的塑性铰,单元的其他部分则保持完全弹性。这种方法只是在一定程度上考虑了非弹性,不能考虑屈服区域在塑性铰截面上分布及在两铰之间的扩展,以及两铰之间残余应力影响。对于主要发生弹性屈曲的细长构件,弹塑性铰法与实际的情况吻合较好;而由于忽略了屈服沿构件的扩展,以及构件因渐进屈服过程造成的刚度降低,对于发生较大屈服并伴随塑性扩展的粗短构件,因此计算承载能力可能存在较大的偏差。后来一些学者研究了基于塑性铰概念的改进塑性铰法,主要用来分析钢框架二阶非线性效应,但这种方法对于钢筋混凝土构件,无法反映出钢筋屈服、混凝土开裂以及塑性区域的分布及发展过程,因此分析结果偏差较大。

鉴于塑性铰法的局限性,研究者提出了基于纤维模型的二维梁单元,这种单元的每一个节点上有三个自由度,沿单元分析有三个积分点,将积分点位置的截面作为控制截面,截面沿高度方向分层(称为纤维层) (图2),由纤维层材料的应变得到控制截面的内力,通过三次Hermitian形函数,由截面的内力和曲率得到单元的内力。此后研究者进一步将二维梁单元纤维模型扩展到每个节点有六个自由度三维模型,假定弯曲和扭转效应不发生耦合,每个单元有三个控制截面以记录材料在加载过程中的状态。这种单元被大量运用于梁-柱结构的材料的非线性分析,并取得了公认的良好效果。

以上单元都是利用位移插值函数通过最小势能原理推导出来的,这种方法属于刚度法[15]。这种方法在分析线弹性问题时具有较高的效率,但当单元材料发生屈服时,就很难通过位移插值函数来描述复杂的位移场。因此Spacone等提出了一种基于力的纤维模型单元,用于对钢筋混凝土结构的动力响应分析[16,17]。与之前的纤维模型单元的不同之处在于这种单元采用了力的插值而非位移插值的方式,这样在分析中单元力的平衡条件和位移协调条件容易得到满足。笔者也提出了基于柔度的网格模型作为结构的材料非线性分析方法,这种模型是在Spacone等方法基础上用平面等参单元代替了纤维模型,以解决梁截面划分为纤维时纤维面积过大带来的计算误差。

图片

图2 纤维单元示意图

采用纤维梁柱模型进行非线性分析时,需要沿单元长度方向划分多个监测断面以反映单元的响应和材料的非弹性状态,这样会进行大量的储存及数值积分运算。因此Hamd提出了一种简化的方法[18],利用预定义的柔度分布函数来反映沿单元长度的弹性扩展,通过精确的校准来预测横截面形状相关的柔度分布因子。这样就不需要对大量的监测截面记录断面的应力和塑性状态,从而大大减少了计算量。

纤维模型单元不仅应用于材料弹塑性问题的分析,对于解决一些具有特殊构造的构件、材料缺陷等问题也具有计算上的优势。Giovanni采用基于纤维单元有限元评估钢筋混凝土夹套加固构件抗弯性能[19]。这种方法通过非线性界面连接的纤维截面梁单元,采用了具有2个积分点的基于位移的梁单元进行单调静态非线性分析。计算分析结果与实验结果的比较证实了该方法的可靠性,与基于三维实体单元的有限元结果相比,在保证精度的前提下大幅度降低计算量。

ZuoLei Du提出了一种考虑剪切变形和具有初始缺陷基于柔度的梁柱单元[20]。该单元基于Hellinger-Reissner泛函,具有精确的力插值函数,并引入曲率和剪应变的扩展位移插值方法进行位移插值。计算中采用分布塑性纤维截面反映杆件的初始缺陷,可以考虑轴力、弯矩和剪力的耦合作用。文献[21]提出了一种考虑二阶效应基于柔度计算变截面钢框架非线性弹塑性分析的方法,该模型结合了幂级数方法用Maxwell-Mohr法求二阶弯矩的通解,考虑单元在弯曲和轴向力共同作用下的材料非弹性、单元几何非线性效应以及材料的初始几何缺陷。

另一方面,由于采用基于位移法有限元非线性分析时,材料屈服带来位移场的不断变化,存在难以寻找一个合适的位移函数来反映这种位移场的变化问题,因此多采用基于力插值的单元进行非线性分析。而Pantò则提出了自适应位移插值函数概念[22],这种单元材料的塑性分布依赖于反映塑性变形区域扩散的不连续轴向位移插值函数,与以前插值函数不同的是这种三次Hermite多项式插值函数中增加了一个描述材料塑性区域扩散的附加调整项,能够在分析过程中根据塑性变形的扩散进行更新[23],并能考虑轴力-弯矩相互作用的情况,这种单元被称为基于智能位移(SDB)的梁单元。通过对比,将这种单元应用于钢筋混凝土构件非线性分析,与基于位移的梁单元分析结果相比具有更高的计算精度。


PART-2

材料的本构模型

2.1 混凝土本构:

目前仍然没有一种公认的混凝土本构模型能完整描述混凝土材料的力学特性。本构模型分析理论中,常用理论包括弹性理论、黏弹性理论、黏塑性理论、弹塑性理论、断裂力学理论、内时理论、损伤力学理论等。这些理论是在对材料力学试验数据回归的基础上,再对相应材料特性进行不同程度的简化,从而推导出材料应力-应变本构关系的数学表达式,并通过大量的材料试验数据来确定不同规格材料本构表达式中的相关参数。 线弹性本构模型是最基本的混凝土本构模型,假设混凝土是线弹性均质材料,材料的应力-应变关系在加、卸载过程中均呈线性,卸载时没有残余应变。这种模型与混凝土自身特性不相吻合,但在低应力状态下,线性假定带来的计算误差在工程应用中可以接受的范围内。因其计算简单,是桥梁工程分析中采用最常采用的一种模型。

桥梁结构承载力、稳定性及地震响应问题的研究则都涉及到材料进入非线性阶段、高应力下的材料软化等问题,这就需要在分析时引入混凝土的弹塑性单轴应力-应变本构关系模型。近几十年来国内外学者对混凝土的本构模型开展了大量研究工作。Sargin最早提出的考虑了箍筋对混凝土变形侧向限制作用的混凝土应力-应变曲线关系,此后许多学者分别对Sargin的模型进行了改进,在应力-应变关系中考虑了箍筋对混凝土的变形侧向限制作用。而Kent-Park 则采用二次抛物线作为混凝土应力-应变曲线的上升段、将直线作为下降段的本构模型(图3),这种模型能反映箍筋对混凝土的约束影响,适合于结构地震下的非线性响应分析。Popovics和Mander 通过试验数据确定了应力-应变曲线中的多个参数, Hoshikuma在此模型基础上,提出了能够反映高强混凝土的受力特性的改进模型[24]。以上模型大多基于Kent-Park和Mander所提出的混凝土本构模型,获得了试验的验证,较为成熟,在非线性分析时较多被采用[25-28]。

图片

图3 Kent-Park混凝土单轴单向受压应力-应变曲线

弹塑性损伤模型通过定义损伤变量和等效塑性应变来描述材料内部的变化,不仅考虑了刚度退化的问题,而且考虑了损伤产生的不可逆变形。弹塑性损伤模型将总应变分解为弹性应变、塑性应变和损伤应变三个部分,损伤应变只考虑刚度退化的变形,利用塑性应变描述不可逆变形。桥梁结构的损伤力学模型在桥梁结构地震及疲劳等问题的研究中应用较为广泛。由于损伤模型通过描述混凝土裂缝导致的结构损伤和刚度退化,在混凝土应力-应变本构关系中引入损伤因子来模拟损伤积累、裂缝发展导致结构卸载刚度逐步减少的特性,相比其他模型更加符合材料在损伤状态下的力学特征。混凝土损伤模型(简称CDP模型)最早由Lubline等提出,而后Le等引人刚度回复的概念对Lubline模型进行了改进[29]。CDP模型通过损伤因子描述加载中材料的刚度退化,并且能考虑循环荷载作用下混凝土裂缝发展过程及刚度恢复的力学行为[30],因此被用于往复荷载作用下混凝土结构和组合结构损伤行为的分析[31]。Ram在CDP模型的基础上进一步研究了膨胀角和偏心率等参数的影响,从而提高了分析的准确性。方自虎等通过对循环荷载作用下的混凝土构件进行研究,对比了混凝土单轴应力-应变曲线对模拟结果的影响,建议混凝土的受拉部分取做直线,而其余部分采用我国规范中提供的公式。为了将混凝土结构设计规范中提供的混凝土应力-应变曲线应用到ABAQUS混凝土塑性损伤模型中,李清富对混凝土应力-应变曲线截断处及损伤因子的取值进行了标定,对模型参数计算方法及损伤因子的取值范围进行了研究[32],通过试验和数值分析对比验证了混凝土应力-应变曲线截断处及损伤因子的取值的可靠性。

高强混凝土是近年来发展起来的一种新型的建筑材料。钢纤维混凝土在受力过程中会呈现出较强的非线性行为。虽然对于钢纤维混凝土尚未有一个公认的受压和受拉弹塑性本构关系,但研究者仍然在这一领域开展了研究工作。Changyong Li采用的混凝土弹塑性本构模型考虑了钢纤维特征的影响[33],将受压弹塑性本构曲线的上升段用多项式、下降段为有理分式分别进行模拟。根据钢纤维混凝土的拉伸试验结果,利用钢纤维特征参数建立了本构方程,并利用纤维间距理论,结合试验数据获得了钢纤维混凝土各参数。

2.2   钢筋的本构:

钢筋混凝土非线性分析中,通常钢筋应力?-应变的强化段是通过直线模拟,这种模型为双线性钢筋恢复力模型。而后为了解决结构的承载力及稳定分析中出现的承载力下降问题,需要模拟钢筋加载过程中强化段及材料软化现象。研究者提出了采用硬化曲线来模拟强化段的钢筋模型(图3),后来学者对此模型进行了多次改进,并将数学模型与单向加载下试验结果进行了比较,将钢筋受拉应力-应变曲线分为弹性阶段、屈服阶段、强化段和下降段 [34]。

钢筋混凝土结构非线性时程分析时,选用合理的钢筋的滞回非线性模型变得至关重要。Giuffrè-Menegotto-Pinto模型(GMP)因其公式简单在数值分析中获得了广泛的采用。近年来通过分析发现采用GMP模型分析时,当部分卸载时的应变低于最大记录值的情况下,重新加载路径提供的力高于预期值。针对此问题M. BoscoE对该模型进行了改进,以提高钢在部分卸载后重新加载时的响应[35]。新模型保留了原公式的简单易用性的特点,适合于有限元分析。研究者通过36个钢筋试件的往复荷载作用下试验数据,提出了Giuffrè-Menegotto-Pinto材料模型中影响最大的参数的联合概率密度函数(PDF)[36],并采用PDF确定了模型的参数。雷燕云提出了一种改进的Giuffre-Menegotto-Pinto钢筋滞回本构模型[37],这种模型中采用了对小幅反转点重新赋值的修正方法来消除不合理的加载-卸载历程,从而改善了小幅卸载再加载履历时存在应变和刚度突变、高估材料强度的问题,使得数值模型更接近材料的真实状态。

图片

图4 考虑强化段的钢筋应力-应变曲线

2.3 结构的时效性:

我国沿海地区多为经济发达地区,其交通基础设施发展迅速,近年来如港珠澳大桥、嘉绍跨海大桥等跨海大桥不断涌现。而氯离子侵蚀是海洋环境下导致钢筋混凝土和拉索钢丝等材料性能退化的主要因素,材料的腐蚀不仅会增加运营维护成本,严重时会对桥梁的使用性能和结构安全造成威胁。此外长期处于酸性环境下的雨水腐蚀也是造成结构耐久性降低的主要原因,桥面漏水等因素易造成钢梁在支撑区域发生材料腐蚀,构件力学性能下降。基于以上原因,有必要考虑环境因素的影响,从全寿命周期角度对桥梁结构力学性能开展研究分析,从而对结构的耐久性做出评估。

实现结构性能劣化分析的关键问题在建立一个有效的混凝土材料性能劣化计算模型。对此Duracrete基于Fick扩散理论,提出了钢筋混凝土考虑氯离子扩散时变特性的腐蚀扩散模型[38],该模型可根据钢筋表面氯离子的浓度确定其初始锈蚀时间;另一方面Du等研究了锈蚀钢筋承载力降低的机理,根据钢筋类型、直径对其剩余承载力的影响的试验数据建立了钢筋强度退化计算模型[39]。而Sung等考虑了混凝土保护层开裂加快钢筋锈蚀这一因素,提出了估算保护层开裂后钢筋锈蚀速率的方法[40]。过去关于环境腐蚀对钢筋混凝土结构性能不同方面的影响的研究工作并不多见,而且主要依赖于试验方法[41-43]。钢筋锈蚀对钢筋混凝土桥梁整体结构性能的影响更是少之又少。由于条件限制试验研究多采用对单一构件加速腐蚀的试验方法,但这样很难对整个桥梁结构的劣化状态及安全性进行全面的评估[44]。数值分析方面Biswas建立了一种考虑钢筋不均匀腐蚀的三维有限元模型,能考虑构件截面腐蚀导致钢筋力学性能的不均匀性变化、混凝土开裂、钢筋-混凝土粘结破坏等因素[45]。数值模拟与实验结果的比较显示了这种有限元分析方法的可靠性。

Georgios建立了一种有限元模型,通过数值模拟来研究锈蚀对钢腹板的影响,包括构件自身缺陷、几何结构和腐蚀特性对残余承载力的影响[46]。在对数值分析的结果分析的基础上,建立了腐蚀腹板轧制梁承载强度评估的经验公式。Kheira提出了一种钢筋腐蚀预测的数值模拟方法。这种方法在研究碳化和氯离子渗透引起的钢筋腐蚀速度基础上,对钢筋混凝土T 型梁模型进行数值模拟[47],分析氯离子的渗透对钢筋快速腐蚀的影响,以及环境条件对服役期和剥落期的裂缝宽度影响等问题。这种数值模拟方法有助于对现有结构的维护和加固方案提供依据,并在结构设计阶段有助于结构构件截面尺寸的确定。缆索体系结构中,拉索腐蚀也是导致结构承载力降低的重要原因,其腐蚀过程分为护套破损、镀锌层和钢丝基体腐蚀三个阶段。江辉考虑氯离子侵蚀对拉索截面面积的削弱效果,采用幂函数建立钢丝的腐蚀模型来反映钢丝基体的腐蚀状态,并考虑钢丝应力的加速作用[48]。通过对斜拉桥的增量动力分析,获得主塔等构件及桥梁系统的时变易损性曲线。这些研究成果为桥梁结构性能劣化数值模拟方法的发展奠定了基础。


PART-3

 组合结构数值模拟

钢-混组合梁中混凝土层主要用于承载压应力,而钢主要用于承受拉应力,因此材料性能在其组成中得到了合理的利用。大多数情况下组合梁的承载力取决于与钢和混凝土构件连接的连接件的类型。传统的剪力连接件将剪切应力从一个构件传递到具有复合作用的其他构件。在实际组合结构中,剪力连接件由于其固有的刚度而具有有限的刚度可变形性。由于组合梁的两层或两个构件之间有界面滑移,因而存在部分剪切相互作用。采用实体单元来模拟两种材料及其相互作用,在技术上并不十分困难,但在实施效率低下,并且大量的数据处理也不适合于工程上的应用,因此梁单元有限元仍然是最有效的分析方法。

基于梁单元的组合梁有限元方法,是最早由Newmark提出的一种组合梁的梁单元模型,这种模型通过剪切滑移的形式考虑钢和混凝土的相互影响。由于算法上简单,这个模型得到广泛应用,但该模型仅适用于具有简支边界和相对简单荷载的梁。此后许多研究人员在该模型的基础上开展进一步研究,建立了部分相互作用组合梁的有限元模型。然而这些模型多是基于Euler-Bernoulli梁理论来反映梁层的小变形,没有考虑钢和混凝土层间的剪切变形影响。对于小跨高比梁、局部集中荷载、固支边界条件和其他一些情况,这种剪切变形的影响在某些情况下是显著的。后来研究者利用Timoshenko的梁理论(TBT)考虑梁的横向剪切变形,这种方法假定沿梁深的剪应力均匀分布以简化问题的复杂性,并通过剪切修正系数修正梁的剪切刚度,得到与梁截面面积有关的满意结果。剪切修正系数的取值取决于粘结层的几何形状和材料特性以及界面滑移。TBT有助于分析整体响应,如挠度或振动频率,但无法准确预测局部响应,如结构内的应力分布。

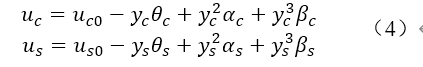
为了解决这些问题,近年来研究者提出高阶梁理论(HBT)来解决钢-混凝土组合梁在局部剪切作用下的整体和局部响应问题[49-54]。高阶梁理论单元通过考虑梁截面上纤维轴向位移在梁高度方向上的非线性变化,结合由剪切变形产生的梁截面翘曲,来反映组合梁的空间效应,其位移插值函数如式(4)所示:

图片

上式中:uc0和us0分别为参考坐标系下混凝土板和钢梁纵向位移;θc和θs分别为弯曲转角,α与β为高阶项。

基于以上方法,Mukherjee等提出基于Timoshenko梁理论的三节点等参HBT梁单元模型[55,56],模型为单层3节点和2节点梁单元。这种HBT模型由钢和混凝土层组成,梁高度方向纵向位移按三阶多项式变化,将连接混凝土板和钢梁的可变形剪力钉模拟为沿着这两个材料层之间的界面分布剪切弹簧。将这种TBT梁理论的有限元方法,应用于局部荷载作用下钢-混凝土组合梁的响应分析。

另一方面,采用梁单元替代三维实体模型来反映梁截面的空间变形是近年来薄壁结构分析的一种新的方法,Li Zhu提出了一种组合曲线箱梁单元的高效的数值模拟方法[57],这种单元模型具有26自由度,可以考虑混凝土板和钢底板的约束翘曲、变形和剪力滞、板-梁界面处的滑移以及沿梁横向的曲率差。采用梁单元模拟来反映箱梁截面变形,相对于板壳单元模型大大提高了计算效率。H.A.F.A. Santos提出了一种基于力的考虑局部相互作用双层组合梁结构屈曲分析非线性限元方法[58]。这种梁单元具有单一柔性剪切界面,每一层均采用Timoshenko理论建模。单元推导采用了包含力和力矩类变量作为基本未知场的混合余能变分原理,并选择近似场变量,使所有平衡微分方程都满足强形式。采用拉格朗日乘子法实现了单元间的平衡和Neumann边界条件。

总结与展望

针对近年来数值化仿真分析技术在桥梁结构分析中应用研究进行了综述,随计算机技术的日新月异和结构分析理论的不断深入,在建模技术、计算方法和求解方法方面取得了巨大的进展,结构数值化分析方法已经成为桥梁结构各种复杂问题分析的主要手段,为我国桥梁事业的建设和发展提供了强有力的支撑。但由于问题的复杂性,目前的数值分析理论和技术仍然不能涵盖桥梁结构所有的问题。其主要在以下几方面需要进一步研究。

1) 桥梁结构失效过程的模拟,这涉及到材料相互作用,材料的开裂、损伤扩展、收敛性等一系列问题。因此需要进一步改进梁单元的非线性模型、材料的本构关系以及非线性求解方法,进一步提高非线性问题分析的收敛性。

2) 建立多种环境因素影响下,桥梁结构的劣化模型。进一步完善的结构全寿命力学行为分析方法,实现对既有结构的安全性评估及寿命预测。

3) 随着计算机技术的发展,并行计算、云计算等方法也进入桥梁结构数值模拟分析中,这为桥梁结构精确化分析、多场耦合下结构的响应计算提供了可能。因此建立基于云计算的桥梁结构精细化分析方法也是需要深入开展的一项重要工作。

4) 桥梁设计规范与桥梁结构的数值化分析的统一。目前无论是公路桥梁设计规范或铁路桥梁设计规范中的许多计算方法,尤其是验算方法都是建立在手算方法的基础上,与现在采用的有限元分析方法有效结合存在一定的困难,甚至难以通过数值方法实现。建立一套基于数值分析的规范相关验算方法和标准,也是目前桥梁分析中迫切需要解决的一项任务。

5)多因素、多场耦合作用下,桥梁结构的响应分析。桥梁从建设到运用投入使用阶段,可能经历多种外界因素的作用,并且桥梁结构自身又对这些因素的作用产生不同的影响,如地震、风、水流、海浪等,分析这些作用与结构共同作用后结果,需要建立一种多场作用下桥与外界因素耦合的分析方法。


内容源于网络,如有侵权,请联系删除


相关资料推荐:

第2章桥梁结构数值分析方法基本原则

https://ziliao.co188.com/p62370238.html



知识点: 桥梁结构数值分析


全部回复(0 )

只看楼主 我来说两句抢沙发
这个家伙什么也没有留下。。。

桥梁工程

返回版块

19.44 万条内容 · 655 人订阅

猜你喜欢

阅读下一篇

混凝土桥面板移动荷载计算及注意事项

混凝土桥面板移动荷载计算及注意事项 1、建模要点及核心参数说明 A. 横向分析建模助手 整体模型为三跨连续混凝土箱梁,跨径布置(27.5+55+27.5)m,桥宽11.5m(护栏0.5m+人行道0.75m+行车道9m+人行道0.75m+护栏0.5m),双向2车道,由于悬浇梁跨中合拢段位置处的顶底板厚度较薄,应选取该处断面进行建模分析,可采用横向分析模型建模助手快速建立混凝土箱梁桥面板的局部模型。

回帖成功

经验值 +10