
○
1
对于整体箱梁、整体板梁等整体结构
其分布调整系数就是其所承受的汽车总列数,考虑纵横向折减、偏载后的修正值。例如,对
于一个跨度为
230
米的桥面
4
车道的整体箱梁验算时,其横向分布系数应为
4 x 0.67
(四
车道的横向折减系数)
x 1.15
(经计算而得的偏载系数)
x0.97
(大跨径的纵向折减系
数)
= 2.990
。汽车的横向分布系数已经包含了汽车车道数的影响。
○
2
多片梁取一片梁计算时
按桥工书中的几种算法计算即可,也可用程序自带的横向分布计算工具来算。计算时中梁边
梁分别建模计算,中梁取横向分布系数最大的那片中梁来建模计算。
人群集度,人行道宽度,公路荷载填所建模型的人行道总宽度,横向分布系数填
1
即可。
因为在桥博中人群效应
=
人群集度
x
人行道宽度
x
人群横向分布调整系数。城市荷载填
所建模型的单侧人行道宽度,若为双侧人行道且宽度相等,横向分布系数填
2
,因为城
市荷载的人群集度要根据人行道宽度计算。
人群集度按实际的填写,横向分布调整系数按求得的横向分布系数填写,一般算横向分布时,
人行道宽度已经考虑了,所以人行道宽度填
1
。
○
1
对于整体箱梁、整体板梁等整体结构
满人宽度填所建模型扣除所有护栏的宽度,横向分布调整系数填
1
。与人群荷载不同,城市
荷载不对满人的人群集度折减。
○
2
多片梁取一片梁计算时
满人宽度填
1
,横向分布调整系数填求得的。
注:
1
、 由于最终效应:
人群效应
=
人群集度
x
人行道宽度
x
人群横向分布调整系数。
满人效应
=
人群集度
x
满人总宽度
x
满人横向分布调整系数。
所以,关于两项的一些参数,也并非一定按上述要求填写,只要保证几项参数乘积不变,也
可按其他方式填写。
2
、新规范对满人、特载、特列没作要求。所以程序对满人工况没做任何设计验算的处理,
用户若需要对满人荷载进行验算的话,可以自定义组合。
○
1
计算箱形框架截面,实际是计算桥面板的同时考虑框架的影响,汽车横向分布系数=轴
重
/
顺桥向分布宽度;
○
2
横梁,盖梁,汽车荷载横向分布调整系数可取纵向一列车的最大支反力
(
该值可由纵向
计算时,使用阶段支撑反力汇总输出结果里面,汽车
MaxQ
对应下的最大值,除以纵向
计算时汽车的横向分布调整系数来算得
)
,进行最不利加载。
b)
对于人群(或满人)效应,在“横向加载有效区域”中已经填入了人行道分布区域,程
序会据此进行影响线加载。人行道宽度填
1
。
横梁、盖梁计算时,这里的人群横向分布系数与汽车的相似,是指单位横向人行道宽度(
1m
)
的支反力。在计算支反力时,这个系数已经考虑人群集度的大小,所以此时窗口中的“人
群集度”应该填
1
。
(
假设汽车车道数输入为
3)
如果计入车道折减系数则折减系数
=0.78(
公路技术规范
)
,不计入
则
=1.0
。
汽车效应
=
三辆汽车加载的效应
(
每辆汽车的总重为
1
,每轮重
1/2)x
汽车横向分布系数
x
车
道折减系数。
汽车冲击力
=
汽车效应
x
冲击系数。
(
此时用户应自己输入汽车冲击系数,因为横向加载不知
道桥梁的实际纵向跨径,但冲击系数是根据纵向跨径计算的
.)
空间模型简化成平面杆系
? 计算荷载横向分布系数
? 方法
– 杠杆法
– 刚性横梁法(偏心受压法)
– 修正刚性横梁法
– 铰接板(梁)法
– 比拟正交异性板法
? 优点
– 取单片梁进行分析,概念清晰,易于手算
? 缺点
– 以变量分离为前提,存在一定的误差
– 适用范围小
杠杆法
? 适用条件
– 主梁间的横向联系很弱
– 桥面板在主梁梁肋上断开
– 双主梁桥
– 靠近主梁支点的荷载横向分布影响线

刚性横梁法(偏心压力法)
? 适用条件
– 桥的宽跨比B/L小于0.5
– 在梁的两端、跨中或四分点处设置中间横梁,
横梁刚度相对纵梁大得多
? 基本假设
– 所有横梁的刚度为无穷大
– 不考虑纵梁的抗扭刚度
– 若考虑纵梁的抗扭刚度则为修正刚性横梁法
(仍然是横梁无限刚度的前提下考虑主梁的
抗扭影响)。
刚性横梁法(偏心压力法)
? 横向影响线的计算方法
– 横向影响线为直线
– 计算公式:


铰接板(梁)法
? 适用条件
– 横向连接刚度较弱
? 装配式板桥(用现浇混凝土纵向企口缝连接)
? 装配式梁桥(在翼板间用焊接钢板或伸出交叉钢筋
连接且无中间横隔梁)
? 横向连接只传递剪力,不传递弯矩(相对较小)

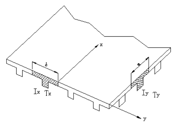
比拟正交异性板法(G-M法)
? 计算步骤
– 将纵梁的抗弯惯矩和抗扭惯矩分别除以纵梁宽b,
将横梁的抗弯惯矩和抗扭惯矩分别除以横梁宽度a,
得到比拟正交异性板。
– 按弹性力学理论,求得跨中单位荷载P=1作用于某
一片梁跨中截面的横向挠度曲线
– 每根主梁覆盖的部分挠曲线面积与挠曲线总面积之
比就是该梁分配到的荷载
– 编制实用图表


相关资料推荐:
https://ziliao.co188.com/p63060217.html
知识点: 横向分布调整系数及几种理论计算法的适用条件
全部回复(0 )
只看楼主 我来说两句抢沙发