杨光华/ 广东省水利水电科学研究院
引言:地基沉降计算一直是土力学的老大难问题。现代土力学理论虽然发展了本构理论和数值计算方法,但工程设计中采用更多的还是传统的半理论半经验的计算方法。问题的根源是什么?如何推进现代土力学理论在工程中的应用,提高工程设计水平,这是我们面临的挑战。这里介绍我们所做的一些思考和探索,希望抛砖引玉,推进学科发展。
1.
地基沉降能算准吗?
全世界工程设计中地基沉降计算的方法都是半理论半经验的方法。地基沉降计算在传统土力学中认为是土的压缩沉降,采用的是室内侧限压缩试验的e-p曲线计算地基沉降。这样计算的结果与实际的差异则采用所谓的经验系数进行修正。最具代表性的是我国建筑地基规范的方法,其修正经验系数为1.4~0.2,相差7倍。软土的修正系数大于1.0,硬土的修正系数小于1.0,最小为0.2。说明计算与实际结果差异大。实际现场压板载荷试验代表了基础在荷载作用下的沉降过程,其与用侧限压缩试验的e-p曲线计算沉降趋势是相反的。如图1所示。
图1 e-p曲线计算的沉降与压板载荷试验的p-s曲线
原因在于e-p压缩曲线是越压缩越密实的。e-p曲线通常形状如图2所示。
图2 土的e-p曲线
随着荷载增大,土的孔隙变小,压缩越来越小,而实际的压板试验则是随着荷载增大,地基应力进入非线性弹塑性状态,沉降随荷载增加而越来越大,最后破坏时沉降无限增大。
显然,用e-p曲线计算准确的地基沉降是困难的。e-p曲线是有侧限的压缩,相当于土的一维压缩,其反映的是土的体积压缩引起的沉降,对于大面积荷载,土的应力状态接近于一维压缩尚有可能。而对于一般的基础工程,其地基应力状态是三维状态,随着荷载增大地基进入非线性后,剪切变形所占沉降会越来越大。因而采用e-p曲线计算沉降与实际的差异也会越来越大,难以准确计算地基的沉降。
如果按一维压缩沉降与三维应力状态变形机理的分析,理论上e-p曲线计算的沉降是偏小的,与三维应力状态的沉降比较,e-p曲线计算的沉降应乘以大于1的系数修正才合适。但规范方法为何对硬土却要乘以小于1的系数进行修正呢?且越硬的土,修正系数也越小,最小达到0.2 ?修正系数小于1.0的情况似乎不是变形机理的差异所产生的。
广东地区一些坚硬残积土的压缩模量Es一般为5~10MPa,而现场压板试验得到的变形模量E0一般可达30~40MPa。E0>>Es与理论结果相反。理论上,E0=βEs ,β<1,应该是E0<Es。一般认为这主要是对结构性强的硬土,由于取样扰动等原因的影响,取样室内试验时的Es偏小,用E0计算的沉降更接近于实际结果,广东的建筑地基规范是建议用E0计算残积土地基沉降。因此,规范中的修正经验系数是实际观测结果的反映,要解决沉降计算的困难,必须要找到困难的原因。
影响沉降计算准确性的原因主要是两个方面的原因:应力状态差异和室内土样试验参数与原位土参数的差异。应力状态的差异可以用理论方法解决,如引入现代土的本构模型等。而室内参数与现场参数的差异则不是理论计算方法的问题,而是计算参数获取的方法问题。因此,改进地基沉降计算方法的途径应对软土和硬土采取不同的方法,软土受应力状态影响大,以改进理论计算方法为主,引入本构模型,硬土则改进参数获取方法为主,采用的本构模型可以简单些。
2.
硬土地基沉降计算的新方法——原位土切线模量法
用原位压板试验求取地基土的变形参数用于地基沉降计算,是克服取样扰动的较好的方法。压板载荷试验的应力状态与基础受力状态非常类似,过去也有很多学者探讨过用压板试验去计算沉降的方法,包括Terzaghi。但真正能应用的还不多,主要是尺寸效应没有解决好。广东地区用压板试验反算土的变形模量的方法是取得较好应用的结果。但要计算基础的荷载沉降过程的p-s曲线还有差距。
图3. 压板载荷试验曲线
较好的突破是杨光华提出的原位土切线模量法[1],其解决了压板试验的尺寸效应问题,建立了相应的计算方法,可以计算荷载沉降全过程的p-s曲线。
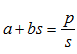
原位土切线模量法假设压板载荷试验曲线为双曲线方程:
a,b可以从压板试验曲线得到。
图4.双曲线线性化
可以由载荷试验数据得到a,b,如图4.
为压板试验极限承载力, Ko为p-s曲线初始斜率,B为矩形压板宽度或直径,
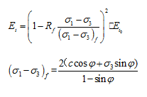
为土的初始切线模量,如图3.
由双曲线方法可以得到不同荷载水平对应地基土的切线模量:
这样,通过压板试验可以获得地基土不同荷载水平的切线模量这一变形参数,这相当于是一个依据压板载荷试验获得的原位土的本构模型。这一参数是土性的参数,与压板尺寸无关。只与荷载水平p/pu有关, pu可以由土的强度参数 c、φ 和压板或基础尺寸计算得到。c、φ 也可以由压板试验得到的pu反算。由切线模量计算公式可见,荷载水平p/pu越高,切线模量越小,接近破坏时荷载水平接近于1,切线模量趋近于0,从而可以反映土的模量随荷载水平增加而减少的特性,由此可以进行加载直到破坏全过程的非线性变形计算。
对于一个基础,在荷载作用p时有一荷载增量Δp,不同深度处的分布应力pi不同,对应该深度处的极限荷载pu也不同,则可以由Et公式获得对应的变形参数,然后可由分层总和法计算荷载增量Δp下不同分层的沉降Δsij,如图 5所示。
图5. 分层沉降计算
增量荷载Δp引起的沉降为各层土的沉降总和:
这样不同深度位置处,由于其荷载水平不同,Eti值也是不同的,而地基沉降是非线性的,需要采用增量法计算每一级增量荷载下的沉降,每级增量荷载总沉降可由各层沉降总和而求得,最后总沉降由各级增量沉降总和而得到。这种方法可以较好解决硬土地基原位土变形参数的问题,并可以考虑土的非线性,能计算荷载沉降全过程的p-s曲线。有人说压板尺寸小,不能反映深部土体的特性。其实压板试验只是用于求取土层的强度和变形参数,深部土体如果是不同的土层,则可以对不同土层进行压板试验或其他原位试验,目的是获取土性的c 、φ 、
参数,然后按照分层土所在位置和荷载水平求得对应位置土层的切线模量Eti用于分层总和即可以。这样,对不同土层,采用不同的土性的c 、φ 、
则可以进行多层土地基的沉降计算。
当采用有限元等数值方法时,也可以用原位土的这三个参数,建立实用的单元体本构模型[2,3]:
3.
软土地基的沉降计算
对于软土地基的沉降计算,由于地基强度低,更易进入非线性,影响误差的应该主要是理论方法的问题。传统用e-p曲线计算未考虑侧向变形引起的沉降或应力水平的影响。为此,杨光华等按广义虎克定律把沉降应变进行分解[4,5]:
因e-p曲线相当于K0固结,是有侧限的应力状态,相当于:
的计算变形一下:
为压缩沉降应变,可用e-p曲线计算,相当于
。
Et为土的切线模量。
这样可以充分利用e-p曲线进行沉降计算。
软土的切线模量Et与应力水平有关,Duncan-Chang模型较好地反映了应力水平的影响。
设压缩试验的应力状态也可以用邓肯模型表达,
则一般应力状态的切线模量为:
可以通过e-p曲线求得的压缩模量。这样充分利用了e-p曲线容易获得的优点,方便计算软土侧向变形产生的沉降。
4.
地基的变形控制设计与正确确定地基承载力的方法
地基的变形控制设计是地基设计的追求目标。但由于地基沉降计算的不准确性,实际工程难以实施。由于变形计算不准,实际地基的承载力取值也不够科学合理,主要是用强度控制的方法确定,难以获得最合理的地基承载力,即使采用压板载荷试验这种认为是最可靠的现场原位试验方法,也难以合理取定地基承载力,例如我国建筑地基规范方法通常按试验的沉降比s/b=0.01~0.015取定地基承载力的特征值,同一个试验,取沉降比为0.01与0.015对应的承载力可能都有不少差异,而广东省的地基规范则认为可以取沉降比为0.015~0.02,则0.02与0.01对应的承载力可能差异更大,这样即使对同一个试验,得到的所谓地基承载力特征值都可能会由于各人取不同的沉降
因而,压板试验还是不能严格合理确定承载力值。而即使这样取定,由于实际基础的尺寸大于压板尺寸,也还不能保证实际基础的沉降就可以满足要求。只有能计算出实际基础的荷载沉降过程的p-s曲线,按p-s曲线取定地基承载力,地基承载力的取值难题才能得以破解。计算基础的p-s曲线可以采用以上的切线模量来去实现,则正确的地基承载力的确定方法就可以按强度和变形双控的方法来解决[6]:
3)满足1)、2)的最大fa,即为最合理的允许地基承载力。
只有取到满足1)、2)的最大值,才是最经济合理的允许地基承载力。由于有了p~s曲线,这样,就可以根据基础允许的沉降值确定对应的地基允许承载力,并核对其安全度。同样,当按强度控制取定承载力时,从p~s曲线上就可以知道其对应的基础沉降,从而很易判断沉降是否满足要求。当沉降不满足时,则按沉降控制取得承载力。这样就实现了强度和变形双控的最合理的地基设计。地基设计能实现按p~s曲线设计,才是真正的现代地基设计理论,就能实现变形控制设计的目标。
5.
结论
地基沉降计算和地基承载力合理确定长期困扰土力学,主要是地基沉降计算不准。传统的沉降计算方法采用室内土样试验以计算压缩沉降为主,不能反映应力或荷载水平影响的非线性和天然土体的原位特性,致使计算与实际差异大,更不能计算地基真实的非线性沉降过程。
现代土力学理论虽然发展了土的本构模型和数值方法,但由于通常土的本构模型及其参数确定是建立于室内试验基础上,室内土体试验参数与原位土参数的差异大,致使难以通过室内试验建立的本构模型来准确计算地基的沉降。
只有建立能反映应力或荷载水平影响的非线性和天然土体原位特性的本构模型和计算方法,才是破解地基沉降计算困难的途径。依据原位土试验的切线模量法反映了土体的这两个特性,是解决的有效途径,值得进一步发展完善。
软土地基沉降计算的影响主要是解决应力水平影响的非线性问题,但要获得工程应用,需要建立参数容易获取的模型和计算方法。
真正科学正确的地基承载力应该是满足强度安全和变形控制的承载力。现代地基设计理论应发展依据基础的荷载沉降的P~S曲线进行设计的方法,才能解决地基承载力合理确定的问题。
主要参考文献:
[1] 杨光华,地基非线性沉降计算的原状土切线模量法[J]. 岩土工程学报,2006,28(11):1927-1931.
[2] 杨光华. 地基沉降计算的新方法[J]. 岩石力学与工程学报, 2008, 27(4): 679-686.
[3] 杨光华,张玉成,张有祥. 变模量弹塑性强度折减法及其在边坡稳定分析中的应用[J]. 岩石力学与工程学报,2009,(07):1506-1512.
[4]杨光华,姚丽娜,姜燕,黄忠铭. 基于e~p曲线的软土地基非线性沉降的实用计算方法[J]. 岩土工程学报. 2015(02)
[5] 杨光华,黄致兴,李志云,姜燕,李德吉,考虑侧向变形的软土地基非线性沉降计算的简化法[J].岩土工程学报.2017年第9期.
[6] 杨光华,姜燕,张玉成,王恩麒,.确定地基承载力的新方法[J].岩土工程学报.2014年第4期.
内容源于网络,如有侵权,请联系删除
相关资料推荐:
知识点:地基沉降计算
0人已收藏
0人已打赏
免费5人已点赞
分享
地基基础
返回版块12.11 万条内容 · 717 人订阅
回帖成功
经验值 +10
全部回复(0 )
只看楼主 我来说两句抢沙发