为了便于比较,此处分别选择柱下独立基础(浅基础的一种,如图1)和柱下多桩承台(桩基础的一种,如图2)的抗弯强度验算进行对比。
图1 柱下独立基础

图2 柱下多桩承台
通常,基础(承台)弯矩最大截面为柱边截面,需进行抗弯强度验算。通过静力平衡分析可知,在基础顶部轴力与弯矩相同的情况下,柱下独立基础的反力由地基提供,为梯形分布荷载;柱下多桩承台的反力由桩基础提供,为多个集中力。基础任意截面弯矩计算公式如图3、图4:

图3 柱下独立基础截面弯矩计算


图4 柱下多桩承台截面弯矩计算
下面对抗弯强度验算过程进行对比:
公式适用条件
柱下独立基础截面弯矩计算公式需满足3个条件:基础台阶宽高比小于等于2.5;e≤b/6;岩石地基不适用本公式。
柱下多桩承台截面弯矩计算则未考虑承台下土的承载力。
反力计算要点
两者计算地基反力和基桩竖向反力时方法相同:
1、均采用基本组合下柱轴力设计值,反力标准值计算方法如图5、图6,公式计算结果为标准值,乘以1.35系数即为反力设计值。

图5 柱下独立基础地基反力标准值计算


图6 柱下多桩承台基桩竖向反力标准值计算
2、从土力学概念上讲,二者的反力设计值均为“净反力”,即扣除基底以上基础和土自重,计算时可直接代入基础顶部轴力和弯矩设计值求得“净反力”设计值p和N。
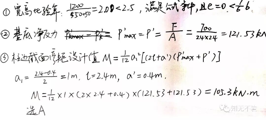
截面弯矩对比计算
选择算例(2010上午第5题)如下:


为了进行对比,将该算例进行改编:其他条件不变,阶型基础改为4桩阶型承台,桩直径300mm,分别位于承台4个角部,桩中心距离承台边最近距离为400mm,计算柱边截面弯矩。

小结
从以上计算过程可知:浅基础和桩基础抗弯验算时应牢记采用“净反力设计值”,不难理解,基底反力需克服基础和上覆土重后,多余的力(即净反力)才能对基础截面产生作用;此外,相同条件下,采用桩基础产生的截面弯矩远大于浅基础,因此桩基础设计时需保证承台刚度,为减小承台配筋,可尽量使基桩布置在离承台中心较近的地方。
内容源于网络,如有侵权,请联系删除
相关资料推荐:
知识点:浅基础与桩基础抗弯计算
0人已收藏
0人已打赏
免费7人已点赞
分享
地基基础
返回版块12.11 万条内容 · 717 人订阅
阅读下一篇
筏板、防水板的相关问题探讨1、概念辨析 筏板: 采用天然地基的一种基础形式,承受上部结构荷载,整体性好。早年的建筑做成梁板式筏基的比较多,如今的建筑多为平板式筏基,施工方便,经济性高。基床反力系数的取值根据地勘报告提供的数值或软件说明书中的附录取值,也可根据沉降试算结果进行反算。基床反力系数越大,筏板配筋越小。此数值对经济性影响较大。 防水板: 只用来抵抗水浮力,不考虑防水板的地基承载能力。 作用于防水板上的荷载有:
回帖成功
经验值 +10
全部回复(1 )
只看楼主 我来说两句 抢板凳还会手算的,已经不多了,点个赞
回复 举报