知识点:机械能冲击
机械冲击试验标准
2015版国标GB/T31467.3-2015中要求:
对测试对象施加25g,15ms的半正弦冲击波形,z轴方向冲击3次。
GB+《电动汽车用动力蓄电池安全要求》报批稿-20181009中要求:
对试验对象施加7g,6ms的半正弦冲击波形,Z轴正负方向各6次。
UN38.3测试标准要求:
小型电池的定义:总质量≤12kg
大型电池的定义:总质量>12kg
(小型电池)持续6ms的半正弦波冲击,互相垂直的三个面冲击三次,再反方向进行三次冲击,共18次。加速度由下列方式确认150gn或取
小值。
(大型电池)持续11ms的半正弦波冲击,互相垂直的三个面冲击三次,再反方向进行三次冲击,共18次。加速度由下列方式确认50gn或取
小值。
其中国标相对于电池包系统而言,只对Z向有要求;UN38.3相对于电池模组而言,对X,Y,Z三个方向均有要求。
机械冲击仿真
1. 分析使用的软件
由于冲击工况带有强烈的非线性,一般采用hypermesh+dyna或abaqus来进行显式求解。
2. 模型的网格划分
电池包钣金件采用壳单元划分,一般上盖和下箱体按基准尺寸8mm划分,加强板,安装支架等钣金件按基准尺寸5mm划分,单元最小尺寸控制在1mm以上,三角形单元比例<5%。
3. 模型的简化处理
1)模组
对电池包进行冲击分析时模组可简化为重物块配重处理或详细建模,计算结果差别不大;
对模组进行冲击分析时必须详细建模,端版和侧板网格需要精细化。
2)电器件
对于电器件零件可适当简化配重处理。
4. 模型的连接
1)螺栓连接
在不考虑螺栓区域局部应力的情况下,螺栓用刚性单元模拟,螺栓孔周围至少应该有一圈Washer单元,Washer尺寸参考螺帽半径。
在关注螺栓区域精确应力时,需建立螺栓实体模型,加载预紧力及接触来模拟。

刚性连接模拟
精确模拟
2)焊点连接
焊点一般采用ACM类型来模拟,即rbe3-hexa-rbe3。在冲击分析中,由于rbe3单元对主从节点的位置要求较高,容易出现应力异常或计算报错等情况,需将rbe3单元删除,只保留焊点六面体单元,通过钣金和焊点之间建立Tie连接来模拟。

3)焊缝连接
在不考虑焊缝区域局部应力的情况下,在焊缝位置可直接节点合并或通过刚性单元rbe2将2个部件连接起来,但要保证网格几何的匹配。

节点合并

刚性连接
4)涂胶连接
一般模组底部和电池包钣金之间或模组内部电芯与隔板,端板,侧板之间会涂结构胶。
涂胶连接和焊点类似,采用六面体单元来模拟结构胶,通过与相邻零件建立Tie连接来模拟。

5.模型的接触设置
接触采用整体自接触即可。用dyna分析可采用Automatic_single_surface,注意排除焊点,结构胶等不参与接触的零件;用abaqus分析可采用general contact,软件会自动排除已经建立的接触对或Tie。
6. 边界条件及加载方式
实际的机械冲击试验是电池包通过安装点固定在刚性工装上,刚性工装固定在冲击台面上,冲击脉冲通过冲击台面-工装-电池包的传递方式作用在电池包上。
在进行仿真分析时一般不用建立刚性工装,可在电池包安装点处建立刚性单元,在刚性单元的主节点上施加加速度波形,同时约束其他方向自由度。(以地面为参考系)或者约束电池包安装点的全部自由度,以重力的形式加载反向加速度波形。(以振动台为参考系)
下图1为以地面为参考系方式加载,图2为在图1的基础上用tracking system(以刚性加载点为参考点)显示结果,图3为以振动台为参考系加载。两种加载方式相对变形完全一致。

7. 计算时间设定
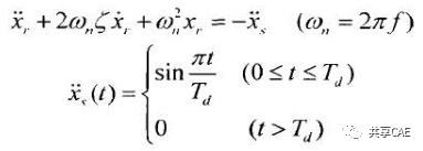
对于单自由度系统,在弹性冲击内,只考虑单位幅值,持续时间为Td的半正弦波,单自由系统的相对加速度满足:

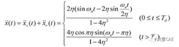
忽略阻尼并将零初始条件响应带入,求得单自由系统绝对加速度响应为:


分别取Td*f=1/3,1,4/3,用matlab作出分段函数的图像:
其中蓝色曲线为Td*f=1/3,橙色曲线为Td*f=1,黄色曲线为Td*f=4/3。
横坐标为,纵坐标为加速度。

当Td*f=1/3即冲击持续时间相对系统固有频率周期很短时,最大响应时刻会滞后于冲击时间出现,同时后续自由振动的最大响应不会降低;当Td*f=4/3相对较大时,最大响应时刻在半正弦波作用时间内出现,同时后续自由振动最大响应明显降低。
基于单自由系统的理论计算,电池包冲击的最大响应时刻由冲击持续时间Td和电池包一阶模态(一般为电池包上盖模态)频率f共同决定。一般Td取15ms或6ms,电池包一阶模态频率一般在30~40Hz之间,故Td*f<0.6,电池包冲击的最大响应时刻可能会滞后于冲击时间。
考虑到电池包为多自由度系统,在冲击过程中往往会产生塑性变形以及最大响应时刻会滞后于冲击时间的情况,一般的企业标准是在冲击完后再计算10ms。但是往往10ms的自由振动时间是不够的,个人建议将自由振动时间延长为一个固有频率周期时间,即计算总时间=冲击持续时间Td+固有频率周期时间1/f,这样才能得到更准确的结果。
8. 材料选取
冲击分析工况下材料一般都会产生屈服,应变率一般在0.1~10
之间,应选取带应变率的弹塑性材料进行分析,若采用准静态(应变率一般在
以下)下的材料本构进行冲击分析,则得到的结果偏保守。
9. 质量缩放
一般质量缩放比例保证在5%以内,不会对计算结果产生明显影响。
10. 计算结果检查
1)关注能量曲线,确保能量守恒,沙漏能不大于内能的5%,接触滑移能为正且足够小。
2)查看冲击结果动画,确认接触设置是否合理。
11. 结果评价
由于一般仿真分析只进行1次冲击,且后续冲击损伤相比第一次冲击损伤较小,可将报批版目标值设定为材料等效塑性应变<0.2A,老国标目标值设定为材料等效塑性应变,其中A为断后延伸率。
0人已收藏
0人已打赏
免费0人已点赞
分享
成套电气设备
返回版块15.97 万条内容 · 619 人订阅
阅读下一篇
为什么简谐振动是最基本的振动?知识点:振动 什么是振动?简单的说,就是 某个物理量的值随时间周期变化 的现象。 振动的物理量随时间周期变化的曲线叫振动曲线,例如(仔细看,周期是存在的哦) 最常见的振动是 机械振动 ,随时间周期变化的那个物理量是 位置 。质点的位置是一个时间的函数,对于一般的运动来说,它就是一个矢量函数,即
回帖成功
经验值 +10
全部回复(0 )
只看楼主 我来说两句抢沙发