一 钢箱梁桥的结构形式与总体布置









不设加劲肋的箱梁的破坏形式:









二、主梁












三、横隔板





















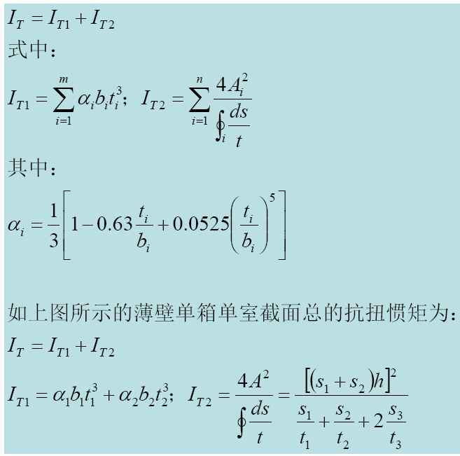
四、钢箱梁受力分析






















相关资料推荐:
https://ziliao.co188.com/d62770149.html
知识点:钢箱梁桥构造与受力
0人已收藏
0人已打赏
免费5人已点赞
分享
桥梁工程
返回版块19.44 万条内容 · 654 人订阅
阅读下一篇
关于组合梁桥构造细节设计有关问题的探讨摘 要 近年来,虽然我国公路钢结构桥梁建设取得了较大成就,但由于钢结构桥梁具有专业性强、工艺性高的特点,加之设计单位与制造单位协同性较差,设计人员往往忽略钢桥梁制造的工艺性。因此,钢结构桥梁制造过程中呈现出设计与制造之间脱节的现象。为提高设计人员对钢结构桥梁构造细节处理的意识,结合我国多座组合梁桥对钢桥梁构造细节方面进行了较详细说明。
回帖成功
经验值 +10
全部回复(0 )
只看楼主 我来说两句抢沙发