
作为雨水章节的基础,必须要弄明白有关于雨量分析的几个要素以及其指代的具体意义,否则就会在面对好多类型的数据时,不知道如何选取,导致出错。雨量计算时最需要注意的7个方面,分别是降雨量、降雨历时、暴雨强度、汇水面积、重现期、地面集水时间、管内流行时间。
①降雨量:降雨量是指降雨的绝对量,即降雨深度。降雨量单位可以用降雨深度“mm”表示,也可以用单位面积的降雨体积“升每平方公顷”表示。其实“升每平方公顷”折算完也是深度单位,值得注意的是降雨量的单位,一定要注意不是“mm/min”或者“mm/h”,这点极具有迷惑性。
②降雨历时:降雨过程中的任意连续时段。关于这个因素需要注意的有两点,一点是降雨历时既可以是全部降雨时间,也可以是任意一段连续时段;第二点一定要是连续时段,不管这个时段很短或很长,必须是连续的,不连续的两段不能合并计算。
③暴雨强度:单位时间内的降雨量,工程上常用单位时间内单位面积内的降雨体积计算,单位为(L/(s?hm2)),其实这个单位的简化就是(mm/min),所以一定要区分暴雨强度和降雨量的不同。
④汇水面积:雨水管渠汇集降雨的面积,一般题中都会给出。
⑤重现期:在一定长的统计期间内,等于或大于某统计对象出现一次的平均间隔时间,在数值上就等于降雨频率的倒数。所以说,降雨频率越大则重现期越小,重现期越大则降雨频率越小。
⑥地面集水时间:雨水从相应汇水面积的最远点地面径流到雨水管渠入口的时间,简称集水时间。这里需要注意的是“相应”两字,计算的雨水量一定是相应的汇水面积,不相关的面积不能计入在内,当然这点在案例题中一般给出的数值都是相应汇水面积,但是在选择题中就要注意,假如选项中没有“相应”二字,这个项就不对。
⑦管内流行时间:雨水在管渠中的流行时间。这个点也是案例计算中经常用来出坑的一点,计算最大雨水设计流量时管内流行时间一定是雨水抵达设计断面的时间,假如某一段管道没有汇水,那这一段的管道内流行时间就不能计算在内,类似真题见2008年第二天上午11题,假如把这段时间也计算在内,那无疑就减少了整体的设计流量,是不安全的做法。

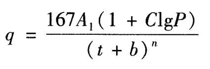
暴雨强度计算公式是整个第4章的基础,在所有计算雨水管渠设计流量的题目中,都离不开暴雨强度这个公式的应用,可谓重中之重,务必掌握。

初看这个公式,参数十分复杂,而其实我们只需要掌握q、P、t即可,至于地方参数,所有题中都会给出。这个公式在计算时,注意的3点,其一是降雨历时t一定要选对,其二是设计重现期会查表,其三就是会熟练按计算器。其余都不是什么难点。
以上是在案例计算中需要注意的点,在知识题中常考的还有一点,就是暴雨强度公式采用年最大值法的时候,要求具有20年以上自动雨量记录的地区,而不满足20年以上自动雨量记录的地区多采用年多个样法选定暴雨强度计算公式。
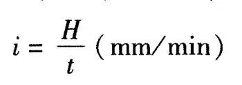
暴雨强度还有一个定义公式,就是对应单位为“mm/min”,也是其基本的定义公式。

i——单位时间内的平均降雨深度(mm/min);
H——降雨深度(mm);
t——降雨历时(min)。
虽然这个公式不常用,但是一定要掌握,因为不常用并不代表不会用,有时候题目就拐一个很小的弯,你不熟悉,就感觉像中了鬼打墙,永远也绕不出来一样。那设计暴雨强度q和单位时间内的平均降雨深度i这两个值怎么换算?有能力者可以自己推一推,以加深记忆,没时间者,也不必介怀亲自推导,直接用下面的关系式就行了,毕竟我们只是工程师而不是科学家,会用就行了。

本节作为雨水开篇基础,其重要程度不言而喻,所以应该重点掌握以下几点。
和雨量计算关系很大的7个要素(降雨量、降雨历时、暴雨强度、汇水面积、重现期、地面集水时间、管内流行时间);
大于20年雨量记录用年最大值法,小于20年雨量记录用年多个样法;
暴雨强度q的计算公式;
暴雨强度q的另一种叫法:单位时间内的平均降雨深度i的计算公式;
q和i的转换关系。
相关资料推荐:
暴雨强度及降雨量计算软件
https://ziliao.co188.com/s52637662.html
知识点:降雨量计算要素分析及暴雨强度公式
0人已收藏
0人已打赏
免费5人已点赞
分享
市政给排水
返回版块23.68 万条内容 · 859 人订阅
阅读下一篇
有关雨水降水量计算的几个因素解释本篇完成后续3点:④设计重现期的确定;⑤集水时间的确定;⑥特殊汇水面积上雨水设计流量的确定。 01 设计重现期的确定 暴雨强度设计重现期P这个参数,本身也没有什么难以理解的地方,命题专家组在出题时一般只会通过判断城市类型或者地区重要程度来考察大家规范的查表能力,所以这个点也不是难点。 对于暴雨强度设计重现期需要注意的2个点,其一是设计重现期和降雨频率的关系:这两者互为倒数,也就是说,设计重现期越大,降雨频率越低,设计重现期越小,降雨频率越高。其二是在同一排水系统中,可以采用不同的设计重现期,比如说某城市,重要地区和非重要地区的设计重现期,就是不一样的。
回帖成功
经验值 +10
全部回复(0 )
只看楼主 我来说两句抢沙发