本节主要讲解污泥处理的技术路线与方案选择以及污泥运输等内容。
污泥处理要遵循二十字原则:“安全环保、循环利用、节能降耗、因地制宜、稳妥可靠”。对于规划建设的基本要求有以下5个方面的内容:
1.污泥处理处置设施建设应首先编制污泥处理处置规划;
2.污泥处理处置应包括处理与处置两个阶段;
3.确定并预测污泥的泥量与泥质;
4.处理处置设施还应预先规划备用方案,建设必要的中转和储存设施;
5.“三同时”原则。
对于污泥处置方式的选择,要注意到以下3方面:
1.土地利用:包括土地改良、园林和农用;
2.建材利用:首先全面调查当地的垃圾焚烧、水泥及热电等行业的窑炉状况,优先利用上述窑炉资源对污泥进行协同焚烧;
3.污泥填埋:污泥填埋前需要进行稳定化处理,处理后泥质应符合《城镇污水处理厂污泥处置混合填埋用泥质》GB/T23485-2009的要求;
对于污泥处理处置方案的选择,需要考虑以下3方面的内容:
1.制定原则;
2.内容;
3.方案:大规模(20t干污泥/d及以上)、有机物含量高;大规模(20t干污泥/d及以上)、有机物含量低;小规模的污泥处理工艺。
对于几种典型污泥处理处置方案,包括厌氧消化+土地利用、好氧发酵+土地利用、机械干化+焚烧、工业窑炉协同焚烧、石灰稳定+填埋、深度脱水+填埋等工艺,对于以上工艺的综合分析与评价见下表。

对于污泥的运输方式,采用何种这取决于污泥的性质与数量、污泥处理的方式、输送距离与费用、最终处置与利用方式等,主要有以下4类形式:
1.★管道运输(案例题考点):优点是经济、安全、卫生、便于操作管理,规模较大,效率较高。适用于污泥输送的目的地不变,污泥流动性能好,腐蚀性低,污泥流量较大的情况。
2.螺旋、皮带、抓头输送:螺旋输送含水率为60%~85%的污泥,输送距离小于25m,扬程宜小于8m;皮带输送可用于含水率小于85%的污泥,输送距离小于100m,扬程宜小于20m;抓斗输送宜用于含水率小于85%,较松散污泥,后续系统无需连续进料,输送距离宜小于15m,提升高度小于20m;
3.卡车输送:适用于中小型污水处理厂,方便、灵活,不受运输目的地的限制,不需经过中间转运,但是运输量较小,运输费用较高,卫生较差;
4.驳船输送:适用于不同含水率的污泥,具有灵活方便,运输费用低的优点,但需设中转站。
《室外排水设计规范》7.5.1规定脱水污泥的输送一般采用皮带输送机、螺旋输送机和管道输送三种形式;7.5.2规定皮带输送机输送污泥,其倾角应小于20°;7.5.3规定螺旋输送机输送污泥,其倾角宜小于30°,且宜采用无轴螺旋输送机;7.5.4规定管道输送污泥,弯头的转弯半径不应小于5倍管径。
对于污泥的管道输送,常采用以下4种形式的泵:
1.隔膜泵;
2.旋转螺栓泵;
3.螺旋泵;
4.离心泵。
对于案例题常考点是污泥的管道运输,需要大家注意以下三个公式:
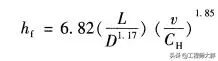
(1)沿程水头损失计算公式(哈森-威廉姆斯公式)

▲秘五公式17-18
?hf——输泥管沿程水头损失,m;
?L——输泥管长度,m;
?D——输泥管管径,m;
?v——污泥流速,m/s;
?CH——哈森-威廉姆斯系数,其值决定于污泥浓度,适用于各种类型的污泥,根据污泥浓度,查表17-9获得。

▲表17-9
对于这个公式,一定要注意水头损失系数K值!课本是这样描述的:“长距离管道输送时,由于污泥,特别是生污泥、浓缩污泥,可能含有油脂且固体浓度较高,使用长时间后,管壁被油脂粘附以及管底沉积,水头损失增大。为安全考虑,用哈森-威廉姆斯紊流公式计算出的水头损失值,应乘以水头损失系数K。K值与污泥类型及污泥浓度有关,可查图17-2获得。”

▲图17-2
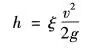
(2)局部水头损失计算公式

▲秘五公式17-19
?h——局部阻力水头损失,m;
?v——管内污泥流速,m/s;
?g——重力加速度,9.81m/s2。
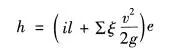
(3)污泥倒虹管水头损失计算公式

?h——倒虹吸的水头损失,m;
?i——单位长度的水头损失,m/m;
?l——倒虹吸的长度,m;
?v——流速,m/s;
?g——重力加速度,9.81m/s2;
?e——安全系数,一般为1.05~1.15。
本节考核重点是污泥的运输,其中污泥的管道运输又是案例常考点,因此需要大家重点注意以下3点:
1.4种污泥运输方式的优缺点比较;
2.污泥管道运输的3个计算公式;
3.对于哈森-威廉姆斯计算公式一定要考虑系数K值。
相关资料推荐:
https://ziliao.co188.com/p63054535.html
知识点:污泥的4种运输方式计算
0人已收藏
0人已打赏
免费3人已点赞
分享
中水处理回用
返回版块9852 条内容 · 214 人订阅
阅读下一篇
6种情况下的污泥产量计算本节主要讲解污泥的产量与计量部分内容。对于污泥的产量,有两种常用的方法,其一是估算法,其二是精确计算法。 对于估算法,《排水工程》上有相应的介绍,首先是P3每万m3污水精处理后的污泥产生量一般为5~8t(按含水率80%计算);其次是P426城镇污水处理厂的污泥量占处理水量的0.3%~0.5%(以含水率97%计算)。 对于精确计算法,分为以下6中情况: 01 预处理工艺的污泥产量
回帖成功
经验值 +10
全部回复(0 )
只看楼主 我来说两句抢沙发