本节主要讲解污泥的产量与计量部分内容。对于污泥的产量,有两种常用的方法,其一是估算法,其二是精确计算法。
对于估算法,《排水工程》上有相应的介绍,首先是P3每万m3污水精处理后的污泥产生量一般为5~8t(按含水率80%计算);其次是P426城镇污水处理厂的污泥量占处理水量的0.3%~0.5%(以含水率97%计算)。
对于精确计算法,分为以下6中情况:
预处理工艺的污泥产量,包括初沉池、水解池、AB法A段和化学强化一级处理工艺等。
①不接收剩余活性污泥时:

?△X1——预处理污泥产生量,kg/d;
?SSi、SSo——分别为进出水悬浮物浓度,kg/m3;
?Q——设计日平均污水流量,m3/d;
?a——系数,无量纲。初沉池a=0.8~1.0,排泥间隔较长时,取下限;AB法A段a=1.0~1.2,水解工艺a=0.5~0.8,化学强化一级处理和深度处理工艺根据投药量,a=1.5~2.0。
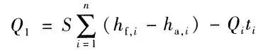
②初沉池不接收剩余活性污泥,间歇排放:

▲公式17-16
?Q1——初沉池每日排泥量,m3/d;
?n——每日排泥次数,n=24/T,T为排泥周期;
?S——初沉池截面积,m2;
?hf,i——集泥池中初沉污泥排泥前泥位,m;
?ha,i——集泥池中初沉污泥排泥后泥位,m;
?Qi——初沉池排泥期间,集泥池(浓缩池)提升泵流量,m3/h;
?ti——初沉池排泥时间,h。
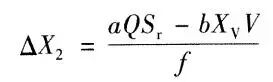
带预处理系统的活性污泥法及其变形工艺剩余污泥产生量,按如下公式计算:

▲公式17-11
?△X2——剩余活性污泥量,kg/d;
?f——MLVSS/MLSS之比值。对于生活污水,一般在0.5~0.75;
?Q——设计日平均污水流量,m3/d;
?Sr——有机物浓度讲解量,Sr=Sa-Se,kg/m3。Sa、Se为曝气池进水、出水有机物BOD浓度,kg/m3;
?V——曝气池容积,m3;
?Xv——混合液挥发性污泥浓度,kg/m3;
?a——污泥产生率系数(kg挥发性悬浮固体/kgBOD),一般可取0.5~0.65;
?b——污泥自身氧化率,kg/d。一般可取0.05~0.1。
当剩余活性污泥连续排放时,宜通过设置流量计方式进行计量,流量计设在剩余污泥压出管道上;生物膜法二沉池污泥间歇排出时,宜采用容积法计量。
生物膜法二沉池污泥间歇排出时,宜采用容积法计量:

▲公式17-12
?△X3——剩余活性污泥量,kg/d;
?Y——污泥产率系数,kgVSS/kgBOD5,20℃时为0.3~0.6;
?Q——设计日平均污水流量,m3/d;
?So——生物反应池内进水五日生化需氧量,kg/m3;
?Se——生物反应池内出水五日生化需氧量,kg/m3;
?Kd——衰减系数,d-1,一般可取0.05~0.1;
?V——生物反应池容积,m3;
?Xv——生物反应池内混合液挥发性悬浮固体平均浓度,kgMLVSS/m3;
?SSo——生物反应池内进水悬浮物浓度,kg/m3;
?SSe——生物反应池内出水悬浮物浓度,kg/m3。
剩余活性污泥连续排放时,宜通过设置流量计方式进行计算,流量计设在剩余污泥压出管上。

▲公式17-17
?Vs——剩余污泥排放量,m3;
?Qp——污泥提升泵流量,m3/h;
?t——排泥时间,h。
带有预处理的好氧生物处理工艺计算,采用如下公式:

▲公式17-13
?△X1——预处理污泥产生量,kg/d;
?△X2——剩余活性污泥量,kg/d;
消化工艺处理后污泥量计算采用如下公式:

▲公式17-14
?W2——消化后污泥质量,kg/d;
?W1——原污泥质量,kg/d;
?f1——原污泥中挥发性有机固体含量百分比;
?f2——消化污泥中挥发性有机固体含量百分比。
厌氧消化池进出泥量和沼气产量需设置计量装置或仪表:
1.消化池处理污泥量为初沉污泥和剩余活性污泥之和;
2.出泥量需计量;
3.污泥消化池产生的沼气计量装置或仪表宜安装在消化池出气管道上,沼气计量装置应具有瞬时流量和累计流量读取的功能;
其他计量规定有如下三条:
1.城镇污水处理厂污泥机械脱水输送管线应设置计量泵;
2.污泥好氧堆肥厂应为进出厂污泥设置运行良好的计量设施,计量设施宜采用汽车衡;
3.城镇污水处理厂污泥总的排放出口,应记录污泥输出车次、重量、取样测定含水率,并采用转移联单制度。
本节公式虽然比较多,但是实际上属于再版教材新编内容,还从未考过,因此即便会考,也不会出题太深,建议大家把涉及到的这几种污泥产生的条件重点勾画,遇到此类型题目时,会照号入座即可。
相关资料推荐:
污泥产量计算
https://ziliao.co188.com/s183474.html
知识点:污泥产量计算
0人已收藏
0人已打赏
免费3人已点赞
分享
中水处理回用
返回版块9852 条内容 · 214 人订阅
阅读下一篇
污水处理之生物膜法分类、构造以及各生物相指示作用汇总本节主要讲解生物膜法水处理工艺的相关知识,包括生物膜法概述、生物膜的构造、生物膜中的生物相3部分内容。 ▲第13章生物膜法知识框架 01 生物膜法概述 关于生物膜法,是污水处理的一种方法。该法采用各种不同载体,通过污水与载体的不断接触,微生物细胞在载体表面生长和繁殖,由细胞自内向外伸展的胞外多聚物使微生物细胞形成孔状结构,称之为生物膜。利用生物膜的生物吸附和氧化作用,以降解去除污水中的有机污染物。
回帖成功
经验值 +10
全部回复(0 )
只看楼主 我来说两句抢沙发