本节主要讲解活性污泥法的工艺设计中的生物反应池容积计算、污泥回流系统、二沉池设计与校核设计。
关于曝气生物反应池容积计算,最常用的有四种方法,分别是负荷法、泥龄法、估算法、数学模型法,这四种方法中最重要的就是负荷法和泥龄法,至于估算法和数额模型法,可以不理会。
(1)对于负荷法来说,计算公式如下所示。

(2)对于泥龄法来说,计算公式如下所示:

▲秘五教材公式12-59
对于这个公式中的衰减系数Kd,因污水温度不同而不同,需要进行修正,具体可按公式12-60做出修正。

▲密五教材公式12-60
对于生物反应池容积计算负荷法和泥龄法两种计算方法,大多采用泥龄法进行设计,原因是通过控制每日从系统中排除的污泥量,即可控制活性污泥的平均停留时间,而且直接从曝气池排除剩余污泥比较容易操作。
并且泥龄还有助于说明微生物的组成,世代时间比泥龄长的微生物在系统中将被逐渐淘汰。所以要达到预期的处理效果,必须使泥龄适当,使活性污泥中精华微生物得到充分的增殖。
在活性污泥法设计中既可以使用污泥负荷作为设计参数,也可以采用泥龄做设计参数。但是在实际运行时,控制污泥负荷比较困难,需要测定有机物量和污泥量,而用泥龄作为运转控制参数,只要求调节每日的排泥量,过程控制将会变得十分简单。
但是对于泥龄法的设计计算中,需要注意该公式不适用于泥龄大于15d的延时曝气工艺,所以基本上延时曝气氧化沟工艺是不适用于该公式的。
《室外排水设计规范》第6.10.1条规定,回流污泥设施,宜采用离心泵、混流泵、潜水泵、螺旋泵或空气提升器。当生物处理系统中带有厌氧区、缺氧区时,应选用不易复氧的回流污泥设施。
《室外排水设计规范》第6.10.2条规定,回流污泥设施宜分别按生物处理系统中的最大污泥回流比和最大混合液回流比计算确定。回流污泥设备台数不应少于2台,并应有备用设备,但空气提升器可不设备用。回流污泥设备宜有调节流量的措施。
对于污泥回流量的计算,应该根据秘五教材公式12-65计算:QR=R?Q;污泥回流系统设计按最大回流比考虑,并使其在最小回流比条件下工作的可能性,即回流比应在一定的范围内变化,污泥回流比的计算公式如秘五教材公式12-66计算:R=X/(Xr-X)。
(1)对于二沉池的作用来说,是泥水分离、污泥浓缩和暂时贮存污泥。其中大中型污水处理厂多采用机械吸泥的圆形辐流式二沉池,中型污泥处理厂也可以采用多斗式平流沉淀池,小型污水处理厂多采用竖流式沉淀池。
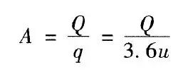
(2)对于二沉池的设计,有两种方法,分别是水力表面负荷法设计和成层沉速法设计,其中总沉淀面积计算公式如下所示。

▲秘五教材公式12-72
1.Q——污水最大时流量,m3/h;
2.q——水力表面负荷,m3/(m2?h);
3.u——正常活性污泥成层沉淀之沉速,mm/s,其取值见下表所示。

▲随混合液浓度而变的u值,秘五教材表12-8
(3)对于二沉池的校核,采用固体通量法,校核其固体通量一定要≤150kg/m3?d,沉淀池设计校核数据见下表所示。对于固体通量这个概念,要和污泥浓缩池区别开来,对于污泥浓缩池来说,是按照固体通量进行设计的。

▲规范表6.5.1
污水经活性污泥系统处理后出水中的BOD值(Se)由溶解性BOD和非溶解性BOD两者组成,处理后出水要达到的BOD值应是溶解性和非溶解性两者之和。这里一定要注意,出水中的BOD值一定是要由两部分组成的,别忘了还有一个非溶解性BOD物质。
对于非溶解性BOD值的计算公式参考秘五教材公式12-74。

▲秘五教材公式12-74
对于处理后出水中的总BOD5值参考秘五教材公式12-75。

▲秘五教材公式12-75
这部分内容在历年真题中并未出现,说明其并非重点,所以大家稍作了解即可。
1.活性污泥的培养,是指活性污泥法处理污水过程开始时,利用原水培养活性污泥的过程;
2.活性污泥的驯化,是指已经培养成熟的活性污泥逐步具有处理特定废水能力的转化过程。

活性污泥培养与驯化的分类
对于活性污泥法运行的控制指标包括直接检测指标和计算指标,详细指标见下图所示。

▲控制指标
对于活性污泥法运行过程中的异常现象及解决方案见下图所示。

▲异常现象及解决办法
本节最重要的内容包括前三节:生物反应池容积计算、污泥回流系统设计、二沉池的设计与校核,这三节是案例考试常考点,需要大家熟练掌握,综合知识点如下所示:
1.负荷法和泥龄法计算生物反应池容积;
2.污泥回流比计算;
3.二沉池按照水力表面负荷法设计和成层沉速法设计,以固体通量法校核;
4.活性污泥法异常现象以及其对应解决方案。
相关资料推荐:
https://ziliao.co188.com/d63281781.html
知识点:活性污泥法水处理工艺
0人已收藏
0人已打赏
免费3人已点赞
分享
中水处理回用
返回版块9852 条内容 · 214 人订阅
阅读下一篇
污水厌氧处理工艺之流化床、膨胀床简介本节主要讲解厌氧膨胀床与厌氧流化床。 01 厌氧膨胀床与厌氧流化床工艺定义及特点 厌氧膨胀床和厌氧流化床是应用固体流态化技术的厌氧生物反应器,和固定床相比较,厌氧膨胀床和厌氧流化床具备处理效率高、有机负荷大、占地省的优点,并且可以避免厌氧生物滤池易堵塞的难题。另外厌氧膨胀床和厌氧流化床不另设泥水分离设备,因为其本身自带三相分离器,这点和UASB相似。 ▲厌氧膨胀床/流化床构造示意图
回帖成功
经验值 +10
全部回复(0 )
只看楼主 我来说两句抢沙发