本节主要讲解厌氧膨胀床与厌氧流化床。
厌氧膨胀床和厌氧流化床是应用固体流态化技术的厌氧生物反应器,和固定床相比较,厌氧膨胀床和厌氧流化床具备处理效率高、有机负荷大、占地省的优点,并且可以避免厌氧生物滤池易堵塞的难题。另外厌氧膨胀床和厌氧流化床不另设泥水分离设备,因为其本身自带三相分离器,这点和UASB相似。

▲厌氧膨胀床/流化床构造示意图
厌氧膨胀床和厌氧流化床的区别在于采用的水流上升速度不同,因而生物填料在床中的膨胀率不同。在膨胀床系统中,一般采用较小的上升流速,使床的膨胀率在10%~20%之间,在该条件下,填料在水中处于部分流化状态,而流化床填料颗粒膨胀率达到20%~70%,甚至高达100%。

▲理想流态化上升流速和床的特性关系
厌氧流化床和厌氧膨胀床的反应器形式和运行方式基本相同,填料种类也相同,只不过流化床的填料颗粒尺寸比流化床颗粒尺寸更小,所以其填料比表面积更大,也是其能够流化的关在所在。
对于厌氧流化床和膨胀床工艺设计计算来说,有5个概念需要注意,分别如下所示。
1.空床停留时间:污废水在生物滤池滤料层所占容积的水力停留时间,单位为h;
2.水力停留时间:填装滤料后,污废水通过生物滤池滤料层的实际平均接触停留时间,单位为h。实际上一个是没有填装滤料的停留时间,一个是填装滤料后的停留时间;
3.临界流速:膨胀率为5%时的空床流速;
4.极限流速:由流态化变为输送态时的流速;
5.回流比:回流水量和废水设计流量的比值,流化床回流比较大,膨胀床回流比较小。
知道这5个概念的定义后,就可以设计反应器的各项参数,但是对于注册考试来说,最重要的几个公式如下所示:
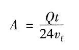
(1)有效容积:
(2)反应器截面积:

关于厌氧流化床和厌氧膨胀床的设计计算,有一个历年案例题目还没有涉及到的考点,就是求最小回流比问题,假如真的碰到此类问题,基本按照以下套路进行计算即可:
1.先求有效容积V;
2.按照公式(Q+Qr)/A≥Vf;
3.按照公式Q+Qr≥A?Vf=V;
4.可以推出Qr=V-Q;
5.可以推出R=Qr/Q。
本节主要讲解厌氧流化床和膨胀床工艺,需要掌握的知识点有以下几点:
1.厌氧流化床和膨胀床的联系与区别:填料尺寸、回流比不一样,其余相差无几;
2.厌氧流化床和膨胀床工艺设计计算5个重要概念:空床停留时间、水力停留时间、临界流速、极限流速、回流比
3.关于厌氧流化床和厌氧膨胀床,求最小回流比问题的解题套路。
相关资料推荐:
江西某1×330MW电厂循环流化床机组扩建工程施工组织设计(创鲁班奖)
https://ziliao.co188.com/d62786255.html
知识点:污水厌氧处理工艺之流化床、膨胀床
0人已收藏
0人已打赏
免费3人已点赞
分享
中水处理回用
返回版块9852 条内容 · 214 人订阅
阅读下一篇
污水消毒工艺的优缺点总结本节主要讲解水的消毒处理,包括消毒技术总结、各消毒剂能力比较、氯系消毒、臭氧消毒和紫外消毒,重要指数:★★★ 01 消毒技术总结 对于污水处理,消毒是一项必不可少的工艺部分,所以《室外排水设计规范》相关条款也对消毒工艺做出了明确的规定。 ?6.13.1规定城镇污水处理应设置消毒设施; ?6.13.2规定污水消毒程度应根据污水性质、排放标准或再生水要求确定; ?6.13.3污水宜采用紫外线或二氧化氯消毒,也可采用液氯消毒。
回帖成功
经验值 +10
全部回复(0 )
只看楼主 我来说两句抢沙发