这一节主要讲解第五章排洪沟部分内容,包括设计防洪标准、排洪沟洪峰流量的确定与水力计算方法、排洪沟设计要点、排洪沟设计计算等4部分内容。本章内容重要性稍差,仅排洪沟设计计算部分可能作为案例题出现。

本部分内容就看看教材中的两个表格即可,本部分不是考查重点内容。

对于本表格中有一个当量经济规模的概念,当量经济规模为城市防护区人均GDP指数与人口的乘积,人均GDP指数为城市防护区人均GDP与同期全国人均GDP的比值(不过能够考到的概率仍然不大)。

对于本表需要注意地下采矿业的坑口、井口等重要部位,应该按照上表规定的防洪标准再提高一个等级进行校核,或采用专门的防护措施。
这一部分内容多以知识题的形式考核,一般需要注意的点有以下几项。
排洪沟属于小汇水面积上的排水构筑物,不要一看到“洪”字,就联想到滔天巨浪,就认为排洪沟是服务于大汇水面积的。
计算小汇水面积山洪洪峰流量一般有三种方法:洪水调查法、推理公式法、经验公式法三种,其中特别需要重视的是洪水调查法,他又包括形态调查法和直接类比法两种。推理公式法适用面积为40~50平方公里。经验公式法课本上那四种常用方法,不看也罢,根本不会考到。
排洪沟包括明渠、暗渠、截洪沟等,一般情况下排洪沟应该采取明渠,但是当不能避免要穿越市区、厂区时,就得采用暗渠了,否则排洪不成反被淹,这就背离了排洪沟的初衷了。
在设计时应注意排洪沟应该与建筑物的距离应该大于3米,这样规定主要是为了建筑物安全,毕竟距离过近,洪水冲刷下建筑物基础有被损毁的风险。
排洪沟的进口设计有两种形式,第一种是高速排洪沟直插山洪沟,此时的排洪沟和山洪沟的高低落差小,连接平缓,才能这样不加任何限制直接连接。第二种是侧流堰形式作为进口,此时排洪沟进口高程要高于山洪沟,所以就采取溢流堰形式。这里需要注意山洪沟和排洪沟的区别,山洪沟是山洪流经自然形成的,其在排洪沟前段,而排洪沟是人工建成,在山洪沟后端。
排洪沟转弯时,由于离心力的作用,外侧水位要高于内测水位,就像滚筒洗衣机一样,越靠近圆心水量越少,水位自然就越低。至于具体的水位差,有一个计算公式如下所示(教材公式5-3)。

内外水位差公式没什么坑点,真正的坑点在于接下来的外侧沟高应大于内侧沟高的高度计算:弯道外侧沟高=沟内水深+安全超高+内外水位差h的一半!注意这个一半,不注意的话,很容易丢掉这个1/2系数的。
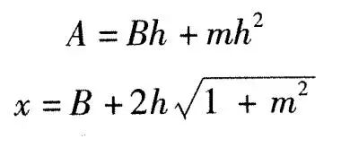
本节是第五章的重点内容,也是有可能出案例题的点,排洪沟的设计断面可能有矩形和梯形,其中矩形的计算比较简单,考试时就是现推也来得及,但是梯形的计算非常繁琐,坚决不能在考试时现推,否则会非常浪费时间,必须在课下就总结好,在考场时直接应用。
对于梯形断面的设计,流量Q和流速V都和污水管道流速流量公式一致,只是在计算断面积A和湿周x时很麻烦,需要提前总结好,这两个计算式如下所示。

对于这两个公式中,需要注意3个概念:边坡角a、边坡i、边坡系数m。
1.边坡角a:坡角就是坡面与水平面的夹角,常用a表示;
2.边坡i:边坡就是坡面的铅直高度H与水平宽度b的比值,也即i=H/b=tan(a);
3.边坡系数m:是坡面水平宽度b与铅直高度H的比值,m=b/H=cot(a)。

最好把上面图片划在书上,结合这幅图,就能很好理解边坡系数m的意义了,然后,整个第五章最重要的部分,就剩下考试时套公式了,很简单就能拿到分数。否则临场计算,估计没有三十分钟计算不出来结果,还很有可能因为计算量大出错。
本节属于边缘章节,仅需掌握以下几点即可。
1.排洪沟外侧沟高的计算方法,不要忘记要加的是内外水位差的一半;
2.梯形断面排洪沟的水力计算。
相关资料推荐:
https://ziliao.co188.com/d62948131.html
https://ziliao.co188.com/d62769771.html
知识点:排洪沟的设计计算
0人已收藏
0人已打赏
免费3人已点赞
分享
市政给排水
返回版块23.68 万条内容 · 858 人订阅
回帖成功
经验值 +10
全部回复(0 )
只看楼主 我来说两句抢沙发