发布于:2022-08-30 15:40:30
来自:电气工程/成套电气设备
[复制转发]
知识点:电容式电压互感器








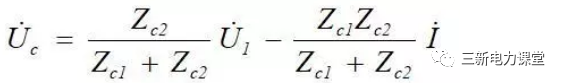
由电路原理中串联电容的分压原理可知,在中压电容区(抽头处)测得的电压Uc可通过以下关系折算出整个电容分压器承担的电压(一次系统电压):Un=Uc*K;
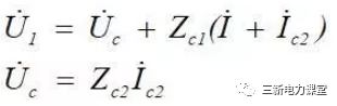
电容分压器正常工作的情况下,等效电路满足以下方程:


其中,U1表示一次系统高压,Uc表示中压电容抽头处电压;I表示中压变压器原边电流,Ic2表示流经中压电容电流;Zc1、Zc2分别表示高压、中压电容容抗。

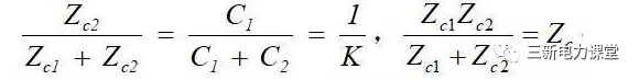
Zc表示电容分压器的等效容抗,综上,可得到:



补充电抗器电路图与实际设备位置比对如下图所示:

由于补偿电抗器的串入,使得电磁回路的一次侧工频情况下在谐振点附近运行。系统稍有扰动,回路易产生谐振,因此需要在二次绕组中并入阻尼装置。
针对老旧CVT,阻尼装置通常简单采用阻尼电阻Rd,长期运行与互感器二次侧,令二次负荷避开分次谐波区域,防止过电压的产生。但此种阻尼装置虽然有效,却使得CVT的输出容量受限并降低其精度,新型CVT已不再采用;转而使用谐振型阻尼装置。

由上图可见,谐振型阻尼装置由阻尼电阻Rd、阻尼电抗L、阻尼电容C组成。工频情况下,阻尼电抗L、阻尼电容C工作于并联谐振状态,回路呈现高阻抗,仅消耗很小的功率。
在CVT受到扰动,进入分频谐振过电压时,阻尼电抗L、阻尼电容C由于频率改变,停止谐振工作状态,回路呈现低阻抗,由阻尼电阻Rd抑制谐振过电压。
相关推荐链接:
1、电容式电压互感器故障分析处理
2、新型绝缘结构的电容式电压互感器的研究
遇到了一点小问题
内容不能包含下列词语
返回修改
回帖成功
经验值 +10
全部回复(0 )
只看楼主 我来说两句抢沙发