1、需氧量计算
R=a'QSr+b'VXv
式中:
R—混合液理论标准需氧量;
a'—活性污泥微生物每代谢1 kgBOD所需的氧气kg数,对于生活污水,a'值一般采用0.42~0.53之间;
Q —污水的流量(m3/d);
Sr—被降解的BOD浓度进水BOD浓度与出水BOD浓度之差(g/L);
b'—每1 kg活性污泥每天自身氧化所需的氧气kg数,一般采用0.188~0.11之间;
V —曝气池有效容积,m3;
Xv—挥发性总悬浮固体浓度(g/L),总悬浮固体浓度的0.75~0.85倍。
2、供气量

式中:
R —混合液需氧量(kg/h);
CS(20)—20℃氧在蒸馏水中的溶解度(mg/L);
ɑ、β—杂质、盐类修正系数;
ρ—压力修正系数;
C—曝气池出口处溶解氧浓度(mg/L);
Csb(T)—r温度为最不利温度条件时的溶解氧。

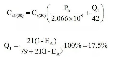
式中:
Csb(30)—30 ℃时,鼓风曝气池内混合液溶解氧饱和度的平均值(mg/L);
Cs(30)— 30 ℃时,氧在蒸馏水中的溶解度7.63(查表)(mg/L);
EA—空气扩散器的氧转移效率,设计中取为20%;
Pb—空气扩散装置出口处的绝对压力(Pb=P+ρgH),pa;
H—曝气装置安装深度。
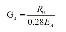
3、风机供气量

式中:
Gs—曝气池供气量(m3/h);
R0—混合液需氧量(kg/h);
0.28—标准状况下空气中的氧气含量;
EA—空气扩散器的氧转移效率,设计中取为20%。
4、剩余污泥量计算
△X=YQ(S0-Se)-KdVXv+fQ(SS0-SSe)
式中:
X —剩余污泥量(kg/d);
Y —污泥产率系数(VSS/BOD5),一般采用0.5~0.65;
S0—生物反应池进水BOD5浓度(kg/m3);
Se—生物反应池出水BOD5浓度(kg/m3);
Q —污水量(m3/d);
V —生物反应池池容积(m3);
Kd—衰减系数,0.04~0.075(给排水手册) ;
f—ss的污泥转化率 (MLSS/SS)g/g,无实验资料时取0.5~0.7;
SS0、SSe—进出水悬浮物质量浓度(kg/m3);
Xv—反应池内混合液挥发性悬浮固体平均浓度(kgMLVSS/m3),在条件一定时,MLVSS/MLSS是较稳定的,对城市污水,一般是0.75~0.85。
相关资料推荐:
https://ziliao.co188.com/p63054479.html
知识点:需氧量计算
0人已收藏
0人已打赏
免费4人已点赞
分享
市政给排水
返回版块23.68 万条内容 · 858 人订阅
阅读下一篇
特征因子法如何高效检测污水管道地下水入渗?导 读 本文以中国江西省九江市某区的污水管道诊断项目为例,先使用CCTV检测该片区的全部污水管道并进行评级,寻找到适合当地情况的水质特征因子并分别使用常规水质指标和特征因子计算了地下水入渗量,对比计算结果并与CCTV检测的结果相比较,发现基于水质特征因子的污水管道地下水入渗检测准确率较高,有助于显著减少CCTV检测的工作量,提高检测效率。
回帖成功
经验值 +10
全部回复(0 )
只看楼主 我来说两句抢沙发