
地表水的基于产汇流原理的流速观测已经相当成熟,那么对于地下水渗流,有没有可靠的观测手段呢?
01 地下水渗流特点
首先来了解一下地下水渗流的特点(本文只讨论最为广泛的孔隙流,其他不在此列):
首先,回忆一下有关的几个概念
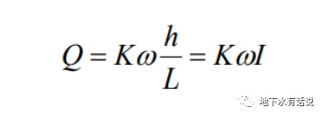
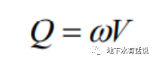
断面流量
从水力学已知,通过某一断面的流量Q等于流速V与过水断面
ω
的乘积:

达西定律

渗流流速

过水断面和实际过水断面
断面流量中的断面
ω
指的是砂柱的横断面积;在该面积中,包括砂颗粒所占据的面积及空隙所占据的面积;而水流实际流过的乃是扣除结合水所占据范围以外的空隙面积
ω'
。

水力梯度
水力梯度I为沿着渗透路径水头损失与相应渗透路径长度的比值。
水在空隙中运动时,必须克服水与隙壁以及流动快慢不同的水质点之间的摩擦阻力,从而消耗机械能,造成水头损失。
因此,水力梯度可以理解为水流通过单位长度渗透路径为克服摩擦阻力所耗失的机械能。
从另一个角度,也可以将水力梯度理解为驱动力,即克服摩擦力使水以一定速度流动的力量。
雷诺数
雷诺数是判断地下水渗流的流动状态:层流、紊流的参数。如Reynolds数小于临界值,地下水处于层流状态;若大于临界值,则为紊流状态。

对于地下水,用实验方法求Reynolds数比较困难,不同的研究者也不尽相同。
天然孔隙含水层中地下水流的Reynolds数远小于临界值,因此普遍认为天然地下水多处于层流状态。
其次,区别一下与地表水径流的不同
产流机理不同
地下水为渗流,地表水是管流;
动力条件不同
地下水渗流的动力条件是水头差,是压力流;地表水流的动力是重力,属重力流;
赋存介质不同
地下水的赋存介质为土壤、岩石等空隙介质,地表水为渠道、河道等管道介质;
最后,总结地下水渗流特点及观测难点
物理不可见性
地下水渗流的物理不可见性给地下水渗流的测量带来了极大的挑战,难以准确确定断面,而且即使确定断面也难以在不改变水流状态的前提下安装计量设备。
即使在少有的地下水露头-泉分布的地区,也很难在水出泉变成管道重力流之前做观测。
孔隙流带来的流速方向不确定性
如果是物理不可见性仍可借助示踪剂这一媒介进行观测,那么孔隙流方向的不确定性这一特点更是打到了七寸。
孔隙流在介质里的洞洞里穿行,方向极大程度上受到介质颗粒的物理制约,导致只能放大尺度去看方向,但流量观测又是在某一断面,可以说微观尺度的,他们的不一致性对观测造成了极大的难度。
那么,可以在井中进行观测么
观测井可以说是地下水的人工露头,我们通过打井可以和地下水进行直接接触,那么,可以在监测井、抽水井等各种人为垂直钻孔中做地下水流速的观测么?
结合地下水渗流及井的特点,在井中观测地下水流速有两方面的难度:
1、流速是否真实。井中不是地下水实际流速,不是在孔隙中的流速,即使是井壁的流速,也不能代表实际流速;
2、流向是否真实。在地下水流入井壁中的过程中存在水跃,流速不是沿流向法线方向。

图2 水跃示意图
02 地下水渗流观测仪
市面仪器
我们来看看仪器市场对地下水流速测定仪器的反应,市面上的地下水流速观测仪中的原理是这样的:
首先应该有个观测井,然后将探头放入监测井中进行测量。
图3 地下水流速观测仪组成图
以下是原理部分原文:
该仪器的核心技术之一是地下水流速和流向的定量测量,经许多次的挑选和试验,我们选定了放射性同位素示踪作为我们的测量方法,示踪测量犹如动物学家观测候鸟,先给标记鸟带上小型无线发报机,然后放回鸟群,装有发报机的鸟随鸟群迁飞,我们就能够知道鸟群的飞行路线,飞行速度,在何处停留等系列问题,这里先让我们解释一下什么是同位素?我们知道物质是由原子组成的,不同的原子是由于它的外层电子数和质子数不同。
那些质子数相同(在元素周期表中处在同一位置)但中子数不同的元素我们称它们为同位素,会发射出射线的同位素被称作放射性同位素。
选择同位素作为示踪剂,是因为采用同位素测量的灵敏度特别高,它甚至可以探测到单个同位素原子的存在,因此所使用的同位素的浓度可以很低,能很好示踪水的流动,在地下数百米的水下,存在很大的水压,并且可能存在泥浆,工作条件苛刻,探头必须完全密封,因为同位素发出的射线能穿过探头的金属壁被探测到,能适应这种工作条件。
能精确可信地直接测量出地下水的运动参数,结合抽压水实验等现有的测量手段和地质数学模型,就能计算出地下水的流速,流向,渗透系数,导水系数,等效水力隙宽等多种地质参数,优越性是其他测量方法无法比拟的。

图4 地下水流速观测仪原理示意图
那么,这个仪器有没有解决我们提到的难题呢?
无论是从原理和实例看,现在的设备只能解决有和无的问题,没法说明对和错的问题。
比如渗漏在那一段发生,这个可以测出来,但是渗漏具体是不是这个速度,无从证明。
流速方面
水从井壁管进入井内再流出井壁管这个过程,对地下水流速产生两次影响:
第一次是通过过滤器流入井壁管,会产生水头损失,参见《地下水动力学》;
这两个过程对井中及径流方向下游的含水层的流速都有影响。
流向方面
上述两个过程对地下水雷诺数的影响,相对于观测的水中示踪剂来说,绝对是灾难级的。即使大量观测示踪剂的流向,也很难说结果是准确的。类似以下这种结果,不能简单的说平均值就是地下水流向;

图5 地下水渗流流向角度示意图
既然有以上种种不准确,是不是这个机器就没有意义了呢?
1、解决了从无到有的问题。做了很有益的探索,为后续持续改进打下基础。
2、有一定的适用场景。精度要求不高的地方可以使用,要求解析研究的课题慎重。
03 普遍做法
既然没有一个精确的测量方法,那么学者或者水文地质从业者普遍怎么做呢?
但是野外不可能实现,
所以现在水文地质领域普遍认可的方法是解析法;
抽水试验
抽水试验结合达西定律可以求K;但是抽水试验毕竟是对含水层施加了大量的人为干预,《地下水动力学》里面对这种误差也有论述,感兴趣着可翻阅。
提水试验
相比要与抽水试验,提水试验目的就是减少对含水层的扰动;提水试验可在岩土工程勘察的同时?利用工程钻机在工程钻探孔中进行操作的一种简易抽水试验。
微水试验
微水试验是一种简便且相对快速测定水文地质参数的野外试验方法,已成为工程勘察中的一种重要手段。微水试验的实质是通过一定激发手段(如瞬时抽水或注水、气压泵、振荡棒等) 使得井孔内水位发生瞬时变化,通过观测和记录钻孔水位随时间的动态变化数据,并与相应的理论数学模型的标准曲线拟合,进而计算试验孔附近的水文地质参数。根据试验过程,又可分为降水头微水试验( 使水位瞬时上升,然后记录水位下降恢复)和升水头微水试验( 使孔内水位瞬时下降,然后等待水位上升恢复)。
但是无论如何,在井中做的试验不是原位试验,都不代表实际含水层中的情况。
内容源于网络,如有侵权,请联系删除
相关资料推荐:
https://ziliao.co188.com/p63264142.html
知识点:地下水渗流量/流速
全部回复(0 )
只看楼主 我来说两句抢沙发