
沉砂池的功能是利用物理原理去除污水中密度较大的无机颗粒污染物,如泥沙、煤渣等。他们的相对密度约为2.65,城市污水厂一般均应该设置沉砂池。
平流式沉砂池是常用的形式,具有构造简单,处理效果好的优点。
一般设于泵站、倒虹管前以减轻机械、管道的磨损。也可设于初次沉淀池之前,以减轻沉淀池的符合及高山污泥处理构筑物的条件
1、沉砂池的格数≥2个,并应按并联系列设计,当污水量较小时,可考虑一格工作,一格备用。
2、沉砂池按去除相对密度大于2.65、粒径大于0.2mm的砂粒设计。
3、设计流量的确定。当污水由水泵提升时,应按水泵的最大组合流量计算;当污水自流进入时,应按最大设计流量计算;在合流制处理系统中,应按降雨时的设计流量计算。
4、设计流速的确定。设计流量时水平流速:最大流速应为0.3m/s ,最小流速应为0.15 m/s ;最大设计流量时,污水在池内的停留时间≥30s,一般为30~60s。
5、设计水深的确定。设计有效水深≤1.2m,一般采用0.25~1.0m,每格宽度不宜小于0.6m。
6、沉砂量的确定。城市污水的沉砂量可按3m?/10000 m?污水计算,沉砂含水率约为60%,容重为1.5t/m? 。
7、砂斗容积按2d的沉砂量计算,斗壁倾角55°~60°。
8、池底坡度一般为0.01~0.02;当设置除砂设备时,应根据设备要求考虑池底形状。
9、除砂一般宜采用机械方法。采用人工排砂时、排砂管直径≥200mm。
10、当采用重力排砂时,沉砂池和贮砂池应尽量靠近,以缩短排砂管的长度,并设排砂闸门于管的首端,使排砂管畅通和易于养护管理。
11、沉砂池的超高不宜小于0.3m。
某城市污水处理厂的最大设计流量为0.2 m?/s ,最小设计流量为0.lm?/s ,总变化系数 Kz=1.50,求平流沉砂池各部分尺寸?

(1)沉砂池长度 L,m
L=V*t
式中V-最大设计流量时的流速, m/s,取 v=0.25m/s
t-最大设计流量时的流行时间,s,取标t=30s。
则: L=V*t
=0.25×30
=7.5(m)
(2)水流断面面积 A,㎡
A=Qmax/V
式中, Qmax为最大设计流量,m?/s。
A=0.2/0.25
=0.8㎡
(3) 池总宽度B,m
B=n*b
取 n=2格,每格宽b=0.6m;
则: B=n*b
=2*0.6
=1.2(m)
(4)有效水深h2,m
h2=A/B
=0.8/1.2
=0.67(m)
(5)沉砂斗容积 V,m?
V=Qmax*T*X*86400/Kz *1000000
式中 X-城市污水沉砂量, m?/1000000 m?污水,取 X =30m?/1000000 m?污水;
T-清除沉砂的间隔时间,d,取 T =2d;
K-污水流量总变化系数,取Kz =1.5。
V=0.2*30*2*86400/1.5*1000000
=0.69 m?
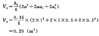
(6)每个沉砂斗容积 V0,m?
设每一分格有2个沉砂斗,共有4个沉砂斗。
则: VO=0.69/2*2
=0.17(m?)
(7)沉砂斗尺寸(见图)
①沉砂斗上口宽 a,m
a=( 2h3′/tan55°)+ a1
式中 h3′斗高,m,取 h3′=0.35m;
a1—斗底宽,m,取a1=0.5m。
斗壁与水平面的倾角55°
a=( 2h3′/tan55°)+ a1
=(2*0.35/ tan55°)+0.5
=1.0m
②沉砂斗容积V0,m

(8)沉砂室高度 h3,m 采用重力排砂,设池底坡度为0.06,坡向砂斗。沉砂室由两部分组成;一部分为沉砂斗,另一部分为沉砂池坡向沉砂斗的过渡部分,沉砂室的宽度为[2(L2+ a )+0.2]。
L2=(L-2a-0.2)/2
=(7.5-2*1-0.2)/2
=2.65(m)
( 0.2为二沉砂斗之间隔壁厚)
h3= h3′+0.06*L2
=0.35+0.06*2.65
=0.51( m )
(9)沉砂池总高度 H,m
取超高 h =0.3m
H = h1+h2+h3
=0.3+0.67+0.51
=1.48( m )
(10)验算最小流速 Vmin ,m/s
在最小流量时,只用一格工作(n=1)
Vmin=Qmin/n1*ωmin
式中 Qmin-最小流量 m?/s
n1-最小流量时工作的沉砂池数目,个
ωmin-最小流量时沉砂池中的水流断面面积,㎡
则:Vmin=0.1/(1*0.6*0.67)
=0.25 m/s>0.15 m/s 满足设计要求
相关资料推荐:
某地小型平流式沉砂池工艺设计cad图纸
https://ziliao.co188.com/d63498079.html
知识点:平流式沉砂池设计计算
0人已收藏
0人已打赏
免费3人已点赞
分享
中水处理回用
返回版块9852 条内容 · 214 人订阅
阅读下一篇
污水处理之隔油池计算方法及参考图集无论是化工废水处理,还是城市污水处理,对于含油废水,生化系统都是很难处理的。因此,有必要增加隔油设施,最简单的隔油设施就是隔油柜,今天对隔油柜的设计计算做一个简单的说明。 隔油池原理图 一、油罐的设计 计算如下: 无论是化学废水上游设备中的含油污水还是市政食堂中的含油污水和市政污水中的餐厅,都应通过脱脂装置的后部排入污水管道。 油分离器的设计应符合下列要求: 1、污水流量应根据设计的二次流量进行计算;
回帖成功
经验值 +10
全部回复(1 )
只看楼主 我来说两句 抢板凳感谢楼主分享的干货!楼主辛苦了~
回复 举报