本节内容主要讲解课本第三章污水管渠系统设计方面内容,从本章开始,《排水工程》进入案例高频考点章节,其内容为重中之重,应该着重掌握,认真理解。
本节主要讲解污水管渠设计流量的确定,主要从4个方面入手:①综合生活污水设计流量的确定;②设计工业废水流量的确定;③地下水渗入量;④城镇污水设计总流量的计算。本节内容在考试时属于案例考察重点,每年必考,非常重要。
开讲之前,需要先弄明白综合生活污水的概念,根据《室外排水设计规范》2.1.12解释:综合生活污水就是居民生活污水和公共服务产生的污水的统称。在这里提醒一句,看规范时一定要重视第2章的名词解释部分,近年来,命题专家越来越喜欢考察第2章名词解释的内容了,不仅仅是排水,而是给水、排水、建水所有规范都需要重视第2章名词解释内容。
根据《室外排水设计规范》3.1.2条:居民生活污水定额和综合生活污水定额应根据当地采用的用水定额,结合建筑内部给排水设施水平和排水系统普及程度等因素确定,可按当地相关用水定额的80%~90%采用。注意!此处有坑!命题专家在出题时,会有意给你居民生活用水定额而非居民生活污水定额,一定要记得乘以0.8~0.9!否则就进坑了,不管后面算的多对,这道题肯定没分了。
另外需要强调的是,在《排水工程》全书中,最基本的流量是平均日平均时流量,也就是书中所说“居民生活污水定额”或者“综合生活污水定额”都是指的平均日平均时流量,这和给水和建水中的基本流量(最高日平均时流量)不同。而均日均时流量和高日均时流量相差一个日变化系数Kd,所以在排水中,计算污水设计流量(高日高时流量)时,需要乘以总变化系数Kz,总变化系数Kz也是《排水工程》中独有的一个概念,其余两科没有这个系数。

明白以上前提后,我们引入设计综合生活污水流量Qd的计算公式如下。

Qd——设计综合生活污水流量(L/S),是最高日最高时流量;
n——综合生活污水定额(L/(人?d)),是平均日平均时流量,可以按照下图所示选用数值来源;
N——设计人口数(人),指的是污水排水系统设计期限终期的规划人口数,不是当前人口数,这点要切记。
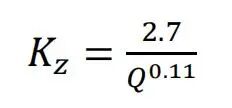
Kz——总变化系数,Kz=Kd×Kh(日变化系数×时变化系数)。

关于总变化系数Kz的计算是本节内容重点难点,其计算方法有公式法和查表法两种,这两种方法不能乱用,毕竟按照公式法计算出来的结果和查表法是不能完全对应的(至于为什么,不必细究),解题时只要题干中给出了均日均时流量,就要选用查表法(查表法需要注意的是Q≤5L/s时,Kz=2.3;当Q≥1000L/s时,Kz=1.3)。要是题干中没有给出均日均时流量,给出的是高日高时流量,那就要用公式法,后面会放两道题目,分别针对查表法和公式法,结合题目就能对这个点有很深刻的理解了。

查表法

公式法(式中Q为均日均时流量)

题中直接给出均日均时流量,直接查表即可

题中给出的是高日高时流量,需要用公式法
设计工业废水流量的计算这一部分中,同样隐藏着一个易错点,就是在案例计算中,工业废水是包括厂区生活污水的,这在第二讲时已经专门提过:厂区生活污水比较特殊,考试时一定要在知识题中把它归为生活污水,而在案例计算时一定要把它归为工业废水之中。原因就是本节内容。
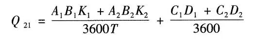
本节规定了设计工业废水流量Q2包括两部分:①设计工业生活污水流量Q21,②设计生产废水流量Q22,也就是设计工业废水流量Q2=Q21+Q22。
其中设计工业生活污水流量的计算公式如下:

这个公式需要注意的问题有3点:(1)车间生活污水设计流量计算,采用的都是最大班人数,而不是所有人数。(2)公式中的K1、K2代表的是时变化系数,至于为什么不采用总变化系数,是因为在工业废水中默认为每日的废水量恒定,所以日变化系数Kd=1,所以Kz=Kh。(3)公式中的3600代表的是淋浴时间按照60min计算,假如题干中给出了具体淋浴时间,那就按照题干中的时间计算,就不能用3600了。
设计生产废水流量的计算公式如下:

这个公式中最需要值得注意的有2点,①系数M代表的意义:产品的平均日产量!切记是平均日产量,这和其它的设计流量一般要求最高日最高时流量不同,所以做题时,一定要看好题中给出的数据,千万别想当然的套用最大班产量,一定要用产品平均日产量!②式中Kz≈Kh,而根据教材中所述,Kh可按照以下范围取值:冶金工业1.0~1.1、化学工业1.3~1.5、纺织工业1.5~2.0、食品工业1.5~2.0、皮革工业1.5~2.0、造纸工业1.3~1.8,假如题干中没有明确给出Kh数值,而是给出了工业类别,要记得会查这些数据。
在计算设计流量时,地下水渗入量并非必要组成部分,只是在地下水水位较高地区,受当地土质、地下水位、管道及接口材料、施工质量等因素的影响时应适当考虑入渗地下水量。也就是说,题目中没有明确要求会有可能存在地下水入渗的情况时,就不要考虑这一部分的水量了。

城镇污水设计总流量的计算,要分为两种情况考虑:①合流制;②分流制。
对于合流制的计算,由于雨水和污水是混合在一起通过一套管渠排放,所以城镇污水设计总流量一定要包括污水量和雨水量,而污水量又包括生活污水和工业废水,如果是地下水位较高地区,海英考虑一部分入渗地下水,所以其计算公式为:Q合=Qd+Qm+Qs+Qu。
Q合——合流制污水设计总流量;
Qd——生活污水流量(平均日平均时);
Qm——工业废水流量(最大班平均时);
Qs——雨水量;
Qu——入渗地下水量(仅在地下水位较高地区考虑,题中不提则不考虑)。
其实关于合流制管道设计流量的计算,在雨水章节会有更详细的说明,但是个人感觉,作为城镇污水排水系统的两个基本类型,合流制和分流制设计流量放在一起学习,会更有对比性,所以在此简单叙述一下,至于后面雨水章节,还会详细介绍。
合流制计算当中,需要注意的问题主要有两个:(1)城镇污水,包括生活污水和工业废水,采用的都是平均时流量,至于原因,是因为雨水的设计流量会远远大于旱流污水量,所以在旱季时也能够满足最高日最高时的污水量,因此从经济性上选择平均时的污水量计入。(2)一旦提到工业废水流量,除了单独计算产品产生废水量时,其余一定是以最大班为基础,只要选项提到就是“最大班平均时”或者“最大班最高时”。
对于分流制的计算,由于污水和雨水是分别在两套管路中排放的,所以计算城镇污水设计总流量不包括雨水,计算公式为:Q分=Qd+Qm+Qu。
Q分——分流制污水设计总流量;
Qd——生活污水流量(最高日最高时);
Qm——工业废水流量(最大班最大时);
Qu——入渗地下水量(仅在地下水位较高地区考虑,题中不提则不考虑)。
为什么在分流制计算当中,生活污水量和工业废水量又变成了最高日最高时和最大班最大时?这是因为分流制污水管渠中没有雨水了,所以设计时必须要考虑其能够通过最高日最高时的极端情况,所以要按照最高日最高时和最大班最大时考虑了。
对于以上计算城镇污水总设计流量的方法,是假定排出的各种污水都在同一时间内出现最大流量,即污水管道设计采用简单累加法计算流量。这当然是不科学的,因为所有污水的最大流量不可能同时出现,所以最科学的计算方法应该是逐时监测,选取最大时流量,但是这个方法太过于繁琐,操作起来根本不太现实,所以仍旧采用简单累加法,这个知识点在知识题中可能考察,一定要记住。
本节为案例考察重点,需要理解并掌握以下7点:
《排水工程》中出现的流量是均日均时流量,不要误以为是高日均时流量;
总变化系数Kz的概念,以及求解方法(查表法和公式法),其中查表法要会用内插法计算;
工业废水中的厂区生活污水流量考察的是最大班流量,而产品产生的废水流量是按照平均日产量计算;
会查找不同行业的时变化系数Kh;
合流制污水设计流量中,生活污水和工业废水采用的是平均日平均时流量和最大班平均时流量;
分流制污水设计流量中,生活污水和工业废水采用的是最高日最高时流量和最大班最大时流量;
入渗地下水题中不提则不计。
相关资料推荐:
https://ziliao.co188.com/p62459156.html
知识点:污水流量的确定原则
0人已收藏
0人已打赏
免费3人已点赞
分享
市政给排水
返回版块23.68 万条内容 · 858 人订阅
阅读下一篇
我国西南地区首座全地下污水处理厂栏目导语 每一座水厂,都凝聚着几代人的智慧和汗水,都是一城一地老百姓安居乐业的根本保障。《净水技术》与国内各大水司强强联手,用科普与专业并重的视角探究各地标杆性水厂的每一个角落,让水厂在云端打开大门,展现别样的风采。
回帖成功
经验值 +10
全部回复(2 )
只看楼主 我来说两句抢地板资料很难得,感谢分享,贡献就是功德
回复 举报
学习了,谢谢分享!
回复 举报