某商业项目,地上三层,长260m,宽85m,属于超长结构。
建筑主要功能为商业中心,内置不同业态,各层中间部位设有中庭若干,周边延高度方向设有退台,体型较不规则。
由于建筑超长存在温度效应过大问题,业主想了解温度应力的大小,以及对造价的影响程度,从而判断设缝与否。
1)降温温差如何取?
(解决思路:温降=收缩当量温差+季节温差,设后浇带后,收缩当量温差仅考虑后浇带封闭后期间的收缩当量温差)
2)温度筋如何配置?如何统计?
(解决思路:
利用预应力筋抵抗温度效应,目前软件无法选配温度筋,需手算并统计)
可以做温度应力分析的软件很多,比如SAP2000、Midas、ETABS、YJK等,前两者可通过精细化的施工过程模拟较为准确的进行温度效应分析,后两者对温度效应的分析显得较为粗鄙。以YJK为例,通过将温度转换为等效荷载,进行弹性分析,然后粗鲁地对计算结果进行折减得到最终结果。而折减的幅度可人为控制,结果的合理性与设计人员经验直接挂钩。下面就YJK使用过程中需注意的问题进行罗列:
1)温度荷载引起的构件变形分为两类,一类是构件内外表面温差造成的弯曲,一类是构件均匀升温或降温造成的伸长或缩短。由于高层建筑结构出现的温度荷载主要是均匀的普遍升温或降温作用,所以目前YJK程序采用杆件截面均匀受温、均匀伸缩的温度荷载加载方式。不能考虑杆件内外表面有温差时的弯曲。
2)事实上,温度对构件的影响不是均匀的。对钢构件,由于传热性能好,截面很薄,当温度变化时,可以认为截面中的温度是均匀变化的。而对于混凝土构件,由于截面厚度大,温度从里到外是逐渐衰减的,呈梯度变化。但YJK程序目前的做法无论对混凝土构件还是钢构件,都认为截面上的温度场是均匀的。这种均匀膨胀、收缩的温度荷载方式,比较适用于钢截面。但这种做法将使实心的混凝土结构温度荷载效应计算偏大。
3)注意在进行温度荷载下的分析时,应该将温度荷载影响范围内的楼板定义为弹性膜。
4)目前YJK程序是按照线弹性理论计算结构的温度效应,对于混凝土结构,考虑到徐变应力松弛特性等非线性因素,实际的温度应力并没有弹性计算的结果那么大。因此用户可以视情况在组合系数的基础上乘以徐变应力松弛系数0.3(未考虑构件开裂刚度折减)。对钢结构不应考虑此项折减。(该参数效果是直接对温度等效荷载打三折,比较粗暴)
5)除徐变应力松弛系数外,理论上还应考虑开裂引起的刚度折减,如下图所示。(有些人不考虑此参数影响,有些人通过直接对温度值的折减反映其影响)
上海-预应力混凝土结构设计规程2007,第10.2.2条明确规定需考虑刚度折减
6)ETABS温度效应分析荷载取值范例:某工程采用ETABS对结构进行温度效应分析,模型将地下室整体输入,地下室整体规模大,故考虑地下室顶板施加预应力,构件刚度无需折减,温度荷载取值0.3x1.0x(-21)=-6.3摄氏度;2层由于控制后浇带终凝温度10~15摄氏度,温度荷载取为0.3x0.85x(-21)=-5.4摄氏度;3层及以上不控制后浇带终凝温度,温度荷载取为0.3x0.85x(-49)=-12.5摄氏度。
1)降温工况平均温度作用标准值,详《荷规》9.3.1条:
公式中的Ts,min与附录E中的基本气温Tmin(50年一遇的月平均最低气温)不是同一个值,需考虑室内外温差(有维护结构)或太阳辐射(无维护结构)的影响进行修正。
2)合拢温度,具体详《荷规》9.3.3条及条文说明,钢结构取合拢时日平均气温并考虑日照影响。混凝土结构取合拢时月平均气温,通常是区间值。
3)
实际工程中,地勘报告会在气象条件中给出全年各月平均气温(基本气温),季节温差=最低月平均气温-预测合拢月份月平均气温。本项目气象资料如下图所示,预计9月、10月份合拢,合拢月份月平均气温取T0,max=(23.1+18.3)/2=20.7摄氏度,最低月平均气温Ts,min=3.8摄氏度(不考虑极端情况),季节温差
△T= Ts,min- T0,max=3.8-20.7=-16.9摄氏度,季节温差最终取-17摄氏度。
(根据规范的精神,Ts,min应该考虑极端情况取-9.3摄氏度,本项目季节温差取值未考虑最不利情况)
4)其他参考取值方法:当不确定合拢温度时,合拢温度为一个区间值;同时考虑室内外温差影响(即空调使用,最终取不利情况相当于没有考虑)。屋顶考虑顶底温差,取平均值(此做法未找到其他依据)。
设置后浇带时,收缩当量仅考虑后浇带封闭后期间的收缩值。180天后浇带封闭,后期收缩当量温差取-6摄氏度,90天取-16摄氏度,将常规90天封闭延长至180天,收缩当量温差差值为10摄氏度,相当可观。另外据推算,不设后浇带取-40摄氏度。
2)《上海-预应力混凝土结构设计规程》(2007)规定
上海规范未交代10~15摄氏度是否考虑后浇带,根据估算,认为其考虑了后浇带。
3)本项目收缩当量温差取-13摄氏度,最终降温工况平均温度作用标准值△T=-17-13=-30摄氏度。
(注:
当地审图单位接受此温降差,其余地区需咨询当地审图单位)
板厚120mm,降温工况温度差-30摄氏度,徐变应力松弛系数(YJK称为收缩徐变砼构件温度效应折减系数)0.5,刚度折减系数不考虑。
地上一层温度效应最大,且部分区域温度拉应力超过混凝土抗拉强度标准值2.01Mpa(C30),其余楼层温度应力均较小无需增加附加钢筋。
地上一层板中面温度应力较大区域及应力值(标准组合)
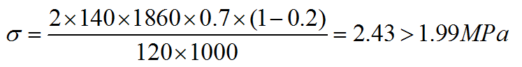
楼板采用C30混凝土,抗拉强度标准值为2.01Mpa,板厚120mm,温度拉应力中心值4.0 Mpa,采用二级裂缝控制,需提供预压应力为4.0-2.01=1.99 Mpa,采用φs15.2钢绞线,每米板宽布置2根,ftk=1860 Mpa,张拉控制应力σcon=0.7ftk,超张拉3%,同时考虑预应力损失20%,则板内产生的预压应力为
预应力钢绞线单价15000元/吨(综合造价),总造价=2.02x15000=30333元。可见预应力筋增加并不多。
钢筋单价4500元/吨(材料造价2019.11),总造价=4.74x4500=21330元。(计算方式为超出混凝土抗裂强度的应力全部由钢筋扛,钢筋强度取屈服强度360Mpa,方法很粗糙)
注:个人认为普通钢筋对裂缝的改善作用有限,原因在于钢筋的屈服应变很大(0.002),而混凝土的开裂应变很小(0.0001),二者相差20倍,钢筋屈服时混凝土早已裂的一塌糊涂,因此上述计算方法合理性欠缺,但却是人们经常采用的方法。理论上,个人推荐使用《混规》7.1.2条的裂缝验算公式反算钢筋用量。这样计算配筋会偏大很多,甲方不一定能接受。超长结构增设温度筋可以说是一个心理上的作用,加与不加有本质上的区别,加多加少反而显得无足轻重。超长结构温度裂缝的控制缺少一个严谨的人工预判机制,往往是建成之后,再返回去推究原因,形成研究成果,属于事后诸葛亮的行为。
温度应力分析完成后需人为判别应力分布的合理性,对不合理部位进行原因查找,举例如下:
经检查。附近有几根刚性杆所致,删除后结果如下,看上去舒适感较强。
徐变松弛系数对结果影响很大,通常取0.3,相当于温度等效荷载直接折减0.3倍。用SAP2000做施工模拟 可能折不了那么多,本项目取0.5,得到最大温度应力(应力集中除外)3Mpa左右,对于260m的结构来说较正常。
某专家认为,温度应力分布只是给人一种直观的感受,而影响应力大小的因素很多,实际工程中到底开不开裂谁也说不准。

1)不是所有的地方都需要预应力筋,但需要的地方,预应力筋最好穿过后浇带,原因是后期裂缝一般集中出现在后浇带部位。
某专家认为,板厚增加,刚度增大,不一定起到降低温度应力的作用。同时增加板厚对应力降幅有限,并不是一种很好的方式。
5、地下室顶板也在分析范围内,尤其是上部建筑范围内无覆土区域。
张坚.某超长混凝土结构温差效应分析及构造措施[J].建筑结构,2011,41(1):63-67.
DGJ08-69-2007,预应力混凝土结构设计规程(上海市)[S].北京:中国建筑工业出版社,2007.
资料来源:网络,版权归原作者所有,仅供分享不做任何商业用途。如有侵犯请联系作者,立即删除。
知识点:某超长结构温度效应分析及处理措施
全部回复(0 )
只看楼主 我来说两句抢沙发