Estimation of base grout quantity based on field test results of cast in situ pile
Bagui S.K.*, Puri S.K., Rao V., Dinesh B.C., Das A.
基础灌浆可有效提高桩的承载能力,减少地基沉降,改善桩—土协同工作特性。该方法简单经济,近年来在全世界范围内得到了广泛的应用。基础灌浆可以改善竖井对荷载的响应,并尽可能减少由施工缺陷导致的沉降。靠预压桩端下部土体形成灌浆球茎,增加了桩端面积。同时通过顶压注浆,提高了桩顶阻力和刚度。目前还没有模型可以用来估算现场基础灌浆所需的浆液量。因此,有必要对基础灌浆量估算和模型建立进行研究。
基础岩土勘察
结合桩基深度范围内土壤参数调查,由
《中国建筑规范》
(2008)
确定桩基灌浆压力:在土壤致密的地方可以施加较高的灌浆压力,在土壤疏松的地方施加较低的灌浆压力。对于松散和中等的土壤、裂隙岩石,可以增加注浆时间;对于致密、完整的岩石,可以缩短注浆时间。
基础灌浆量计算模型
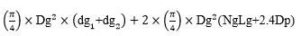
典型模型如图1所示。Lp和Dp为桩长和桩径;灌浆管长度为Lg,直径为Dg,管径为Ng;桩底沉降深度为dd,dg1
为桩底灌浆深度,
dg2
为桩底灌浆深度,dg3
为桩底灌浆深度,dga为每桩实际沉降深度,由此可得:
总淤积情况下的实际灌浆要求将由总淤积加注浆管所占用的灌浆量来代替。这将通过以下方程来确定:
其中
未知因子k将由现场执行的基础浆液数量和基础浆液的理论数量确定。
现场数据分析
在桩基施工过程中对沉降量进行了测量,如图2所示。从开挖桩到完成混凝土浇筑工作,一根桩共历时7天。用带重物的钢丝绳测量沉积物沉积,如图3所示。当桩长为110m时,桩基灌浆量随沉降量和桩径变化如图4所示;在沉积物沉积深度为500mm时,灌浆量随桩径和桩长变化如图5所示;在完成灌浆配合比(W/C)设计时,还进行了模型试验,水泥浆与灌浆压力的关系见图6。

图
2
基层灌浆的一些典型照片

图3 直径2.5m桩底浆量随长度和沉降的变化情况

图4 110m长桩基灌浆量随沉降量和桩径变化

图5 灌浆量随桩径、桩长的变化

图6 W/C与灌浆压力曲线
模型验证
通过对
10
根直径
2.5m
长度
130m
的灌注桩和
8
根直径为
40mm
的灌注管的现场数据验证了所提出的模型(如表
1
所示)。平均耗浆量为
5730L(
变异系数为
0.016)
,而平均理论耗浆量为
5771L
。使用提出的模型,浆液耗量的变化在
5%
之内。变异系数为
0.048<0.25
。因此,可以得出模型具有统计学显著性并得到验证。

在缺乏合适的经验证的模型以及方法情况下,本文所提出的模型可用于确定基础灌浆量。经过试验验证,该模型可准确估计基础灌浆量。同时,底部沉积物深度是估算基础灌浆量最重要的因素,基础灌浆量取决于允许的沉积程度
。
内容源于网络,如有侵权,请联系删除
相关资料推荐:
https://ziliao.co188.com/p62357070.html
知识点:现浇桩基灌浆量评估
全部回复(0 )
只看楼主 我来说两句抢沙发