一、地基承载力的组成
荷载作用下,地基的破坏形式主要包括以下三种:

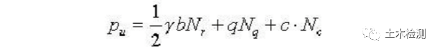
工程中地基土层,一般较好,基础埋深较浅。因此主要发生整体剪切破坏,地基极限承载力计算的太沙基公式为:

式中:
C---土的粘聚力,KPa;
q---基础两侧土压力q=γ0d,若地基土是均质,则基础两侧土压力q=γd;若地基土是非均质,则γ0是基底以上土的加权平均重度;
d---基底埋深,m ;b---基础宽度,m ;
Nr、Nq、Nc---无量纲承载力系数,可根据内摩擦角从下表查出

据此可知,地基承载力由以下三部分组成。

二、地基承载力的深宽修正
地基承载力深宽修正的计算公式为:

为什么要进行深度修正?
这主要是因为地基承载力特征值fak,一般都是通过载荷板试验得到的。

这下就很容易理解了,浅层载荷板试验测得的fak,没有包括埋深范围内侧荷载产生的抗力,必须进行深度修正。而深层载荷板试验测得的fak,已经包括埋深范围内侧荷载产生的抗力,因此不需要进行深度修正。
深度修正系数ηd=0
而对于宽度修正,由于实际基础具有一定宽度,比载荷板大很多。基础宽度越大,抗力越大,承载能力越高。因为需要进行宽度修正。但由于宽度大于6m很难发生整体破坏,因此宽度修正时限制。3≤b≤6,宽度修正容易,难把握的就是深度修正,深度d在不同条件下有不同的取值规定,到底d如何取值呢?




三、复合地基承载力的深宽修正
复合地基是指,部分土体被增强或置换,形成由地基土和竖向增强体,共同承担荷载的人工地基,按下列规定进行深宽修正:

为什么宽度修正系数取0,而深度修正系数取1.0呢?
这主要是因为:
01 复合地基破坏模式与天然地基不同,复合地基可能的破坏模式有:

02 载荷板尺寸不同,复合地基载荷试验所用承压板面积为单桩或多桩承担的处理面积明显大于天然地基载荷板试验的承压板面积。
03 复合地基承载力修正的研究成果很少,出于安全考虑。
推荐资料(点击文字跳转):
知识点:地基承载力、土方工程
0人已收藏
0人已打赏
免费0人已点赞
分享
建筑施工
返回版块66.02 万条内容 · 1638 人订阅
阅读下一篇
岩石、岩体、土的分类!一、岩土的分类原则 1、岩土分类应与工程目的相一致,按钻探的不同目的采用不同的系统定名。 2、按工程需要以岩土组成为主要定名依据,并结合其成因年代及结构、构造特征综合定名。 二、岩石的分类原则 岩石是天然形成的具有一定结构、构造的由一种或多种矿物组成的集合体,岩体是指包括各种结构面的原位岩石的综合体。岩石作为工程地基和环境可按下列原则分类:
回帖成功
经验值 +10
全部回复(0 )
只看楼主 我来说两句抢沙发