一、结构分析计算图示
斜拉桥是高次超静定结构,常规分析可采用平面杆系有限元法
柔性拉索可用拉压杆单元模拟,同时按后面介绍的等效弹性模量方法考虑垂度影响;对于梁和塔,则用梁单元模拟
最终恒载受力状态与施工过程密切相关

一座斜拉桥结构分析离散图
二、斜拉索的垂度效应计算
等效弹性模量
斜拉桥的拉索一般采用柔性索,斜索在自重的作用下会产生一定的垂度,这一垂度的大小与索力有关,垂度与索力呈非线性关系。

斜拉索的受力图式
索的伸长量包括弹性伸长和克服垂度的伸长,可用等效弹性模量的方法,在弹性伸长公式中计入垂度的影响。

q为斜索自重集度,fm为斜索跨中的径向挠度。因索不承担弯矩,根据索中弯矩为零的条件,得到:

索形应该是悬链线,对于fm很小的情形,可近似地按抛物线计算,索的长度为:

用弹性模量的概念表示上述垂度的影响,则有:


在T的作用下,斜拉索的弹性应变为:

因此,等效弹性模量为:


斜拉索两端的钢导管安装时,必须考虑垂度引起的索两端倾角的变化量β,否则将造成导管轴线偏位。
一般情况下,可按抛物线计算,即:

当索的水平投影长度很长时(L>300m),按抛物线计算会带来一定的误差,因而应采用更精确的悬链线方程求解。
三、索力的初拟和调整
恒载平衡法索力初拟

索力初拟计算图式
对于主跨,忽略主梁抗弯刚度影响,根据竖向力的平衡,得到:

拉索引起的水平力为:

进一步考察边跨,忽略塔的抗弯刚度,则主、边跨拉索的水平分力应相等,得到:

边跨第i号索支承的恒载重量Wb可依据Tbi作相应的调整:

可行域法调索计算
斜拉桥采用悬臂法施工时,随着梁体的伸长,拉索的数量逐渐增加,后期梁体悬挂和拉索张拉必然对前期各拉索的索力、梁体标高和应力产生影响。因而在确定了合理成桥状态的索力及成桥状态梁体标高之后,必须以此为目标确定相应的施工阶段各索的初张力和梁段初始安装标高。
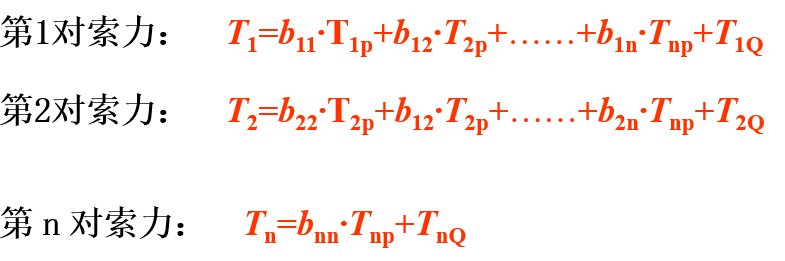
1、拉索初张力{Tp}的计算



2、施工中各梁段标高的确定


在确定了各索的初张力和梁体各控制点的初始标高之后,须作施工模拟计算,以确保施工过程中梁和塔的应力不超限,并确认成桥后恒载弯矩在可行域内。
四、温度和徐变次内力计算
温度次内力计算
(1)年温差
(2)日照温差
徐变次内力计算
弹性变形εe与徐变变形εc的总和ε为:

五、非线性问题的计算
内容源于网络,如有侵权,请联系删除
相关资料推荐:
https://bbs.co188.com/thread-3124575-1-1.html
知识点:斜拉桥的计算分析要点
0人已收藏
0人已打赏
免费5人已点赞
分享
桥梁工程
返回版块19.44 万条内容 · 655 人订阅
阅读下一篇
斜拉桥总体布置与构造1. 孔跨布置 (1) 双塔三跨式 由于它的主跨跨径较大,一般适用于跨越较大的河流。 双塔三跨式(2) 结构组成: 对称、不对称; 跨度比L1/L2=0.35~0.5 边跨可设1~2个辅助墩
回帖成功
经验值 +10
全部回复(0 )
只看楼主 我来说两句抢沙发