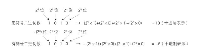
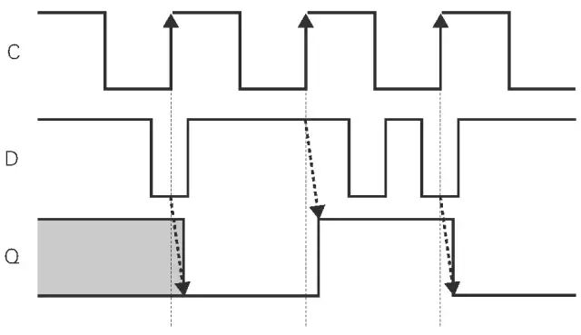
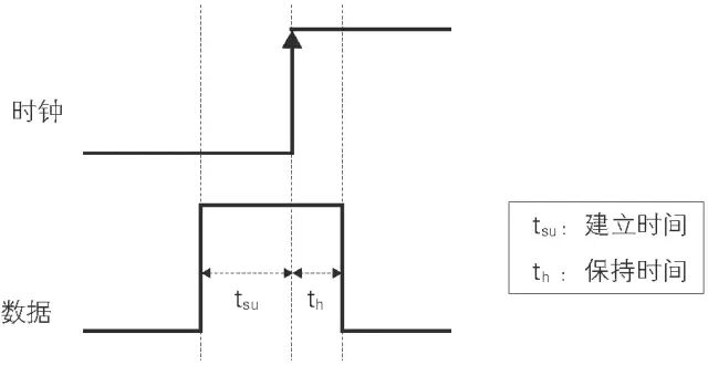
知识点:数字电路基础知识




相关推荐链接:
1、数字电路
2、数字电路设计软件
0人已收藏
0人已打赏
免费1人已点赞
分享
电气工程原创版块
返回版块2.2 万条内容 · 598 人订阅
阅读下一篇
使用直流稳压器构成的限流稳压电路知识点:直流稳压电流 LM317 是线性稳压器,正常工作时会在Vout 和ADJ引脚之间保持 1.25V 的参考电压。如果没有虚线框里的电路,这个电路会输出一个电压加到负载R4上,电压为 1.25/R3*(R2+R3)。 虚线框中的电路是一个电流采样电路,采样电阻为R1,运算放大器和周边的电阻构成一个差分放大电路。由反馈放大电路虚短的概念可得: 可以解得: 从上式可知,流过R1的电流越大,则 V1-V2越大,V1-Vo正比于V1-V2。即V1-Vo越大。使用二极管连接到调节端。当流过R1的电流大于一定值时,产生低电压使D1导通,将ADJ处电压被钳位到Vo。电流不能继续增加,实现限流。当电流小于阈值时,D1不起作用ADJ电压由分压电阻产生,实现稳压。
回帖成功
经验值 +10
全部回复(0 )
只看楼主 我来说两句抢沙发