知识点:线性集成运算放大器和运算电路
集成运算放大器是采用一定制造工艺将大量半导体三级管、电阻、电容等元件以及它们之间的连线制作在同一小块单晶硅的芯片上,并具有一定功能的电子电路。

本文重点讲解运算放大器的线性应用,线性应用重点掌握集成运放的传输特性、理想运放的特性,以及基本的同相放大器、反相放大器、加法电路、减法电路、积分电路和微分电路。
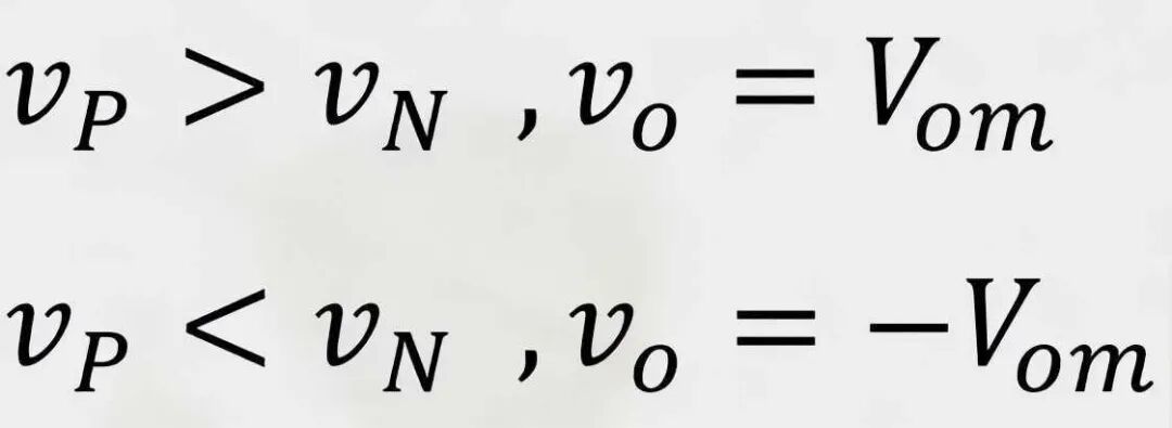
运算放大器的传输特性曲线如下图:

线性区满足:

由于运放的电压增益值很高,容易导致电路性能不稳定,并且线性区非常窄,为了使集成运放所组成的各种应用电路能稳定地工作在线性区,必须引入负反馈。
若运放处于开环或是正反馈的状态下,运放工作在非线性区,这时可以用作比较器:

理想运放的特性是:
开环电压增益视为无穷;
输入电阻视为无穷;
输出电阻视为零。
因此,当运放工作在线性区时,可将同向输入端和反向输入端电压视为相等,称为“虚短”。

由于输入电阻也视为无穷,因此输入电流可视为零,称为“虚断”。

注意:
“虚”字,都不是真正的短路和断路,只是在计算时,将电压视为相等,电流视为零,实际中没有短路和断路的现象。
另外,只有运放工作在线性区时才具有“虚短”特性。
运算电路是运放引入深度负反馈,这时的运放工作在线性区,具有“虚短”和“虚断”的两大特点,这也是分析运算电路的基本出发点。
大家熟悉以下几个基本的运算电路,有助于求解复杂的运算电路。



相关推荐链接:
1、电磁测量与仪表丛书 运算放大器在电测技术中的应用(闻伍椿)
0人已收藏
0人已打赏
免费0人已点赞
分享
电气工程原创版块
返回版块2.2 万条内容 · 598 人订阅
阅读下一篇
基本放大电路的分析方法知识点:放大电路基础 基本放大电路是电路的一种,可以应用在电路施工中。基本放大电路输入电阻很低,一般只有几欧到几十欧,但其输出电阻却很高。 基本直放大电路既可以放大交流信号,也可放大直流信号和变化非常缓慢的信号,且信号传输效率高,具有结构简单、便于集成化等优点,集成电路中多采用这种耦合方式。 放大的概念 放大的前提是不失真,即只有在不失真的情况下放大才有意义。晶体管和场效应管是放大电路的核心元件。
回帖成功
经验值 +10
全部回复(0 )
只看楼主 我来说两句抢沙发