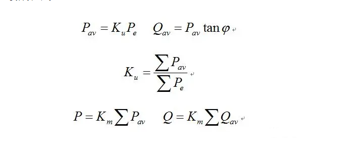
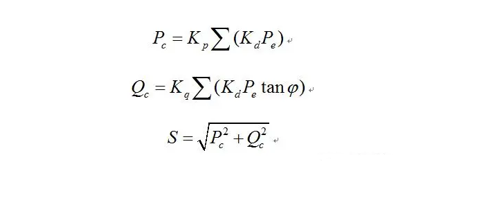
负荷计算是电气设计人员必须掌握的一必修课,选导体、设备还有保护开关的选择,电网系统分析,都离不开负荷计算的内容,为此小编特意总结9个负荷计算的入门基础知识,另有负荷计算免费课程2022年注册电气供配电专业考试全程班(直播+高频考点分析+专家答疑)分享给大家,希望能在工作和学习中作为一份参考。

分享是一种快乐,转发是我们前行的动力!
长按下方二维码,关注我们


0人已收藏
0人已打赏
免费2人已点赞
分享
供配电技术
返回版块97.93 万条内容 · 2214 人订阅
阅读下一篇
两张图,供配电电源要求全搞定《民用建筑电气设计标准》( GB51348)中根据对供电可靠性的要求及中断供电所造成的损失或影响程度分为:特级负荷(一级负荷中特别重要的负荷)、一级负荷、二级负荷和三级负荷。虽然规范中把各个符合要求说的很清楚,但没有图示的辅助,还是很难理解。今天从网上找到两张图共大家理解学习。我们首先看一下各级符合适用的范围。 下列场所的消防负荷应为特级负荷(一级负荷中特别重要的负荷)∶
回帖成功
经验值 +10
全部回复(1 )
只看楼主 我来说两句 抢板凳老师的分享非常有用,赞一个!
回复 举报