在厌氧反应器的运行中,我们经常提到上升流速、水力停留时间和容积负荷等,那么这些数据都是如何计算的呢?今天我们就来讲一讲厌氧反应器日常运行中最常用的5个名词。
1.
上升流速
上升流速(Up flow Velocity)也叫表面速度(Superficial Velocity)或表面负荷(Superficial Loading Rate)。假定一个向上流动的反应器的进水流量(包括出水的循环)为Q(m
3
/h),反应器的横截面面积为A(m
2
),则上升流速u(m/h)可定义为:

U – 上升流速,单位米/小时
Q - 反应器的进水流量,单位立方米/小时
A - 反应器的横截面面积,单位平方米
2.
水力停留时间
水力停留时间(Hydrolic Retention Time)简写作HRT,它实际上指进入反应器的废水在反应器内的平均停留时间,因此,如果反应器的有效容积为V(m
3
),则

HRT –
水力停留时间
V – 反应器容积,单位立方米
Q - 反应器的进水流量,单位立方米/小时
如果反应器高为H(m),则:因为Q=uA,V=HA
所以HRT也可表示为如下公式,即水力停留时间等于反应器高度与上升流速之比。

HRT – 水力停留时间
H - 反应器高度,单位米
u -上升流速,单位米/小时
3.
反应器的有机负荷
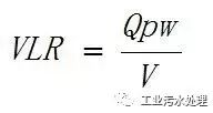
反应器的有机负荷(Organic Loading Rate,简写作OLR)可“分为容积负荷(Volume Loading Rate,简写作VLR)和污泥负荷(Sludge Loading Rate,简写作SLR)两种表示方式。
VLR即表示单位反应器容积每日接受的废水中有机污染物的量,其单位为kgCOD/(m
3
d)或kgBOD/(m
3
d)。假定进水浓度为pw(kgCOD/m
3
或kgBOD/m
3
),流量为q(m
3
/d),则:

VLR – 容积负荷
Q - 反应器的进水流量,单位立方米/小时
Pw - 进水浓度, 单位kgCOD/m3
V - 反应器容积,单位立方米
4.
污泥的比产甲烷活性
比产甲烷活性(Specific Methanogenic Activity)是在一定条件下,单位质量的厌氧污泥产甲烷的最大速率。其单位为
mlCH4/(gVSS?d)、m
3
CH
4
/(kgVSS?d)或gCODCH
4
(gVSS?d)
比产甲烷活性是污泥性质的重要参数。比产甲烷活性要通过专门的方法测定,它不是指反应器内污泥实际产甲烷的速率而是表示了这种污泥所具有的潜在产甲烷能力。由于比产甲烷活性受到很多因素的影响,例如温度、底物浓度与组成等的影响,所以在不同条件下测得的比产甲烷活性不同。
由于反应器负荷取决于反应器内污泥的量、污泥的比产甲烷活性与污泥与废水混合的情况,因此无论对于何种厌氧反应器,比产甲烷活性都是反应器负荷与效率的重要参数。比产甲烷活性的参考值一般在0.35-0.42之间。
进入厌氧反应器的溶解性废水中的COD厌氧过程中转化为甲烷、少量细胞物质和未完全利用的VFA.由于细胞物质和VFA量相对较少,且对于溶解性废水的厌氧处理,产甲烷是限速的一步,因此,反应器预期的最大负荷可以近似表示为:

式中:
Ps - 为反应器内污泥平均浓度,kgVSS/m3;
U - 污泥的比产甲烷活性,kgCOD
ch4
/(kgVSS?d);
f
c
– 污泥和废水的混合系数,对良好混合的反应器f
c
=1。
5.
反应器内的污泥停留时间
污泥停留时间(Sludge Retention Time,简写作SRT)也称为泥龄。延长SRT是所有高速厌氧反应器最主要的设计思想。换言之,高的SRT是厌氧反应器高速高效运行的基本保证。
在连续运行的厌氧反应器中:

或

式中:
Ps - 反应器中污泥平均浓度,单位kgTSS/m
3
或kgVSS/m
3
;
Ps’ -出水中污泥平均浓度,单位与Ps相同
V - 反应器容积,单位m3
Q – 日处理废水量,单位m3/d。
0人已收藏
0人已打赏
免费0人已点赞
分享
水处理
返回版块43.13 万条内容 · 1505 人订阅
阅读下一篇
夏日一笑 |工程人专属表情包,看懂的都是工程界老司机!在这个斗图不停的时代,手机里不存点私货怎么行? 今天为大家送上 工地表情包发射系列!大家,接招吧! 发射安全帽 ▲ 发射营养快线 ▲ 发射香烟 ▲ 发射混凝土 ▲ 发射站房施工秘籍 ▲ 发射加班通知 ▲ 发射减肥讯号 ▲
回帖成功
经验值 +10
全部回复(8 )
只看楼主 我来说两句-
zzllss521
沙发
2017-12-04 16:15:04
赞同0
-
abc407367686
板凳
学习了,感谢
2017-11-23 15:29:23
赞同0
加载更多讲得比较详细专业,非常好,学习啦,谢谢!!!!
回复 举报
回复 举报