土木在线论坛 \ 注册考试 \ 注册结构工程师 \ 注册结构考试易错总结202505

注册结构考试易错总结202505

发布于:2025-05-30 16:58:30 来自:注册考试/注册结构工程师 [复制转发]

1 《混凝土结构设计规范》11.4.16

图片

关于轴压比,计算公式分子上一定是地震作用组合下的轴向压力设计值,即使非地震作用组合(1.3恒载+1.5活载)的压力设计值大于地震组合压力设计值,也要采用地震组合的压力设计值。

因为轴压比是跟抗震等级挂钩的,因此压力设计值是与地震组合相关的。而非地震组合是不发生地震时的荷载组合,因此轴压比限制应该不大于1.0就可以。

 

2 《混凝土结构设计规范》6.3.4

图片

注意“独立梁”。

“独立梁”是两侧均没有楼板的梁。

对于两侧有楼板的梁,那么“受剪承载力系数”直接取0.7,不需要验算集中荷载/均布荷载比例。

 

3 《混凝土结构设计规范》8.4.3和4.2.7条文说明

 

图片

 

图片

 

这两条是完全矛盾的。8.4.3条并筋接头面积百分率计算要求按单根钢筋计算,在4.2.7条文说明中又说要按照并筋等效直径计算。

这种自我矛盾的条文,考试考到还是按照正文来吧,正文怎么说也比条文说明重要。

我个人理解,举个例子,对于2根20钢筋的并筋,在计算接头面积百分率的时候,如果2根钢筋在同一个位置搭接,那么就应该将这两根钢筋当作一根钢筋来计算,钢筋直径取等效直径;如果两根钢筋不在一个位置搭接,那就按照2根钢筋来计算,钢筋直径按实际直径。

 

4 《混凝土结构设计规范》6.4.8四肢箍梁剪扭配筋计算

图片

《混凝土结构规范》6.4.8可以求解出剪切所需要的Asv和受扭所需要的Ast1.

如果是两肢箍,Asv / 2 + Ast1 就是所需要单根箍筋的面积。

但是如果是四肢箍,用 Asv / 4 + Ast1 作为单根箍筋面积是能够满足要求的,但是考试通常要求求最小满足要求的选项,用 Asv / 4 + Ast1 方法来求的结果可能是偏大的。

正确的方法,第一步,求 (Asv + 2*Ast1)/4 作为单根箍筋面积求得一个直径,然后看看这个直径对应的面积是否大于Ast1,如果大于,那么就用这个直径的箍筋是最优解,如果这个面积小于Ast1,那么就将直径放大一个型号,继续演算是否大于Ast1,直到满足为止。

举个小例子,求得Asv = 100 , Ast1 = 60.

用第一种的方法, 100 / 4 + 60 = 85平方毫米,需要12直径箍筋。

用第二种方法,(100 + 2 * 60)/4 = 55平方毫米,需要10直径箍筋。用10直径箍筋验算是否满足Ast1,满足,用10直径就可以了。

记得大学本科学《混凝土结构设计原理》那门课程,湖南大学出的那版课本的计算方法是第一种,第一种没问题,就是有可能算大了。设计时大点就大点,考试大点就错了。


5 《混凝土结构设计规范》11.4.16和11.4.17

图片

在求解配有箍筋柱子的轴压比限值的时候,考虑了表11.4.16和表下面的小注之后,还要去11.4.17验算箍筋体积配箍率能达到的轴压比限值。

比如一根框架结构800*800的柱子,抗震等级为一级,箍筋配筋为10@100(6)。

根据11.4.16得到轴压比限值为0.65.

但是计算得到体积配箍率大约是1.3% ,查表11.4.17,对应的轴压比为0.5。

那么这根柱子的轴压比就要取小值0.5.如果这跟柱子受轴压比0.6大小的轴力时,箍筋的配筋率就不满足规范要求了。

 

6 《混凝土结构设计规范》6.3.12

图片

上图中红色框中,当偏心受压构件承受均布荷载时候,剪跨比取1.5。这是没问题的,然后结合6.3.4和6.3.12一起理解,那么,当同时承受均布荷载和集中荷载时,集中荷载对支座截面或节点边缘所产生的剪力值占总剪力的75% 以下的情况,剪跨比同样取1.5.

也就是说“同时承受均布荷载和集中荷载时,集中荷载对支座截面或节点边缘所产生的剪力值占总剪力的75% 以下”这种情况,也是属于“承受均布荷载”。

 

7 《混凝土结构设计规范》6.3.14

计算偏心受拉构件的受剪承载力时,剪跨比计算方法同6.3.12.那么此时上图中红框中“偏心受压”就是“偏心受拉”了。

 

 

8《异形柱规范》公式5.3.2-1

Fv应该改为Fc。

规范应该是写错了,再说规范里也没有Fv这个参数。

 

 

9 《钢结构设计标准》公式17.2.2-2

规范中这个公式中“MEhk2”和“MEvk2”位置写反了,正确公式应该是下图这样的:

图片

 

对于“MEhk2”和“MEvk2”这两个参数的理解。

图片

“MEhk2”是设防水平地震时构件的弯矩值。

“MEvk2”是设防竖向地震时构件的弯矩值。但这个弯矩值只有8度区大于50米的结构才需要求得,否则这个弯矩值取0. 

 

这个公式可以理解为,“一个构件能为水平地震准备的承载力”除以“该构件在水平地震下产生的弯矩”。

 

10《钢结构规范》8.3.1

图片

在区分有支撑框架和无支撑框架时,当一个方向设置了支撑,那么所有的框架柱在这个方向上都是有支撑框架柱。即某一榀X方向框架上没有支撑,但是只要X方向的其他榀有支撑,那所有框架柱在X方向都认为是有支撑框架。

 

11 《高钢规》7.5.5

图片

公式7.5.5-1中的抗震调整系数取值为0.8.千万不要因为看到是承载力计算就取了0.75.

这里的承载力是稳定承载力。

 

12《砌体》公式3.2.1-1

图片

图片

当需要采用条文3.2.3对灌孔混凝土砌块砌体就行调整的时候,需要将调整系数ya乘以f,而不是ya乘以fg。

 

13《建筑地基基础设计规范》图8.5.21

图片

图中ax的标注是错误的,正确的应该是我画红线的长度,从桩边到柱边,而不是桩心到柱边。

 

14《建筑地基基础设计规范》8.2.9

 

图片

这个条文中“基底平均净反力”,不要理解成整个基础底部的平均净反力。应该只是图中阴影区域的平均净反力。

求解方法就是先求最大和最小净反力,通过最大最小净反力得到阴影区域两个边缘净反力,然后将阴影区域两个边缘位置的净反力取平均值。

 

规范里这句话容易让人误解,可以改成“阴影面积乘以阴影区域平均净反力”,更直观点儿。

 

15 《建筑地基基础设计规范》C.0.8和Q.0.10-6

图片

图片

 

这两个条文对比看一下,不太一样。

对于Q.0.10-6第二个红色框中的桩数,是指的总桩数,不要理解为试验桩数。C.0.8中的3是试验数。

 

16 《建筑桩基技术规范》5.5.6和5.5.9

图片

图片

Bc是承台短边,Lc是承台长边。

我之前一直默认B是弯矩受力方向的边,这是不对的,思维定势了。

 

17 《建筑桩基技术规范》5.1.1

 

图片

M和F都是作用于桩群形心。

规范中M的表述是对的,作用于承台地面,绕群桩形心。

F也是这样,作用与群桩形心,而不是作用于柱子形心。

差不多是下面这个意思。

图片

 

 

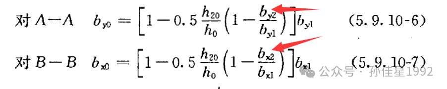
18《建筑桩基技术规程》公式5.9.10-6 和5.9.10-7

图片

公式中的BY2和BX2是不对的,这里的BY2和BX2是指的柱子长和宽,正确应该是承台顶面的长和宽。

《建筑地基基础设计规范》附录U里的计算是正确的。

以前我认为《建筑桩基技术规程》公式5.9.10-6 和5.9.10-7是用来计算柱边位置的剪力承载值,《建筑地基基础设计规范》附录U是用来计算承台顶边位置剪力承载值。

这种想法是不对的,不管计算柱边还是承台边的剪力设计值,都应该采用《建筑地基基础设计规范》附录U中的计算公式,《建筑桩基技术规程》公式5.9.10-6 和5.9.10-7是完全没道理的。

 

19《高规》4.2.3-2和《荷载规范》8.3.1-30

对于正六边形结构体型系数的求法。

《高规》

图片

求正六边形结构体型系数

0.8 + 1.2 /(根号下6) = 1.29

 

《荷载规范》8.3.1-30

图片

求正六边形结构体型系数

0.8 *0.5 + 0.5 = 0.9

这两种计算结果不同。原因是高规求解的体型系数为结构模型填写的那个体型系数,应该可以认为是各个方向风荷载包络过的。

荷载规范求解的那个体形系数,只是图中那一个方向的体型系数,风向变了,就不能这样计算了。

 

20 《高规》6.4.7和11.4.6

图片

图片

  

图片

在确定柱子加密区箍筋最小体积配箍率的时候,普通混凝土柱子和型钢柱最小体积配箍率计算公式是不同的。

对于剪跨比小于2的柱子,普通混凝土柱子和型钢柱体积配箍率限值也是不同的,注意区分。

结构既然都用上了型钢混凝土柱,那就很有可能出现剪跨比小于2的情况。由于型钢柱最小配箍率特征值也是去6.4.7查,因此容易直接用了6.4.7的公式,需注意。

 

22《抗规》5.5.5和《高规》3.7.5

图片

图片

 

大震弹塑性位移,当柱子箍筋加大到一定程度,框架结构的位移角限值可以增大。

但是《抗规》和《高规》在这个问题上有点不一致,一个是最小配箍率特征值增大30%,一个是体积配箍率增大30%。

两种求解方法有可能得到相同的结果,也有不小的可能得到不同的结果,考试要注意题目提示用哪本规范。

来源:公众号sun,作者孙佳星1992,如有侵权请联系删除



全部回复(0 )

只看楼主 我来说两句抢沙发

注册结构工程师

返回版块

105.1 万条内容 · 2207 人订阅

猜你喜欢

阅读下一篇

为什么有的人考了 N 年还没考过注册结构工程师?揭露考生必中的 5 大陷阱

在新建筑 行业资格考试九重天中,一级注册结构工程师位居最顶端;二级注册结构工程师位居七重天。 注册结构工程师专业考试则难度较大,知识点广泛,重难点较多,需要大量的工作经验与积累。通过率相对较低,导致很多考友考了好多 年都未能通过。今天,小编就来为大家揭露导致考友多年折戟的 5 大陷阱。 陷阱一:复习无规划,盲目乱学注册结构工程师考试涵盖内容极为广泛,基础考试涉及

回帖成功

经验值 +10