洁净室的设计计算
洁净室的设计计算包括空调负荷计算,风量计算,洁净度校核计算等内容。
空调负荷计算
洁净室的空调负荷包括复季冷负荷与冬季热负荷。有人认为计算方法与一般空调负荷的计算方法相同。其实,洁净室的负荷计算与一般空调的负荷计算有许多区别。对于许多材料中推荐的负荷估算指标,不知道这些估算指标的详细来源,在工程实践中发现这些估算指标比实际负荷大很多。对于一些没有经验的设计人员,也许会受到估算指标的影响而不相信自己的计算数据,进而加大安全裕量,或者干脆套用估算指标,这是非常有害的。在前几年GMP认证后,许多制药企业感叹净化空调系统能耗太大而用不起。难道是净化空调系统的错误吗?有学者发现,无论是冷负荷还是送风量都是层层加码,导致机组、水泵、风机等容量偏大很多。净化空调比一般空调的能耗大是肯定的,但应大的有依据。当前,对净化空调的节能设计迫在眉睫。
在调研中发现,有不少空调用户在最热月,实际用冷量是设计冷量的1/2 ~ 3/5。若把这样的设计作为估算冷负荷指标的统计源,其数据必然大很多。所以,设计人员应相信自己的计箅,回访自己的用户,获得真实的冷负荷指标。对于各种书籍中相互复制的冷负荷估算指标成科学对待,只有在工程设计初期估算造价时,有一点参考价值。在施工图阶段,应采用计算出的冷负荷选择设备。
空调负荷计算方法很多,目前有许多负荷计算的软件,使负荷计算变得非常容易。在应用软件或手工计算负荷时,应了解净化空调与一般空调负荷计算的不同点。计算软件大多是针对- 般空调而编制的,在计算洁净室负荷时应把围护结构的参数做一调整。
洁净室的围护结构与一般空调的不同,它是在房子中套房子,外层房子就是土建结构,可以是框架结构加空心砖砌块,也可以是砖混结构,外墙、屋面的相关参数可在相关手册中查得。套入内层的房子是用符合洁净室装修要求的装修材料建造的,这种装修材料有快立墙板、轻钢加人造板、轻钢加经喷涂的电解钢板、还有彩钢夹心复合板等。而彩钢夹心复合板的夹芯,可采用阻燃自熄聚苯乙烯板(现行规范禁用)、岩棉板、聚氨酯板、纸蜂窝板、铝蜂窝板等材质。可见,这种两层围护结构建造成的洁净室,其建筑负荷很小。当内层材料的保温性能好时(如彩钢夹芯板),不透明围护结构引起的冷负荷可按稳态传热计算(特别适合于手算),在一些特殊情况下甚至可以忽略不计(有一定经验后方可这么做)。
不管是正压洁净室,还是负压洁净室,都不考虑冷风渗透引起的负荷。冷负荷系数法的计算步骤(这种方法非常适合手工计算)
一 .外墙、屋顶瞬变传热引起的冷负荷
外墙、屋顶属不透明围护结构,在日射和室外气温的共同作用下,由外墙、屋顶瞬变传热引起的逐时冷负荷均可按下式计算。
CL = FK (T2 - T1 )
式中CL— 瞬变传热引起的逐时冷负荷(W);
F— 外墙、屋面面积(m2);
T1— 室内设计温度
T2— 外墙、屋面的冷负荷计算温度的逐时值(T ) ; 计算时刻的选取和一般空调相同,通常可在8 时至18时中,每隔l h 取一个计箅时刻。有经验者可根据具体情况,减少计算的时刻点,如可从12时算至17时;
K— 外墙、屋面的传热系数[W/(m2? ^ ) ] ;如果洁净室在内区(无外墙),外墙引起的冷负荷为零;如果洁净室靠近外墙,如图5-1所示,传热系数的计算应考虑内、外围护结构之间空气间隙的热阻。若间隙间的空气被装修材料封闭,可按多层复合壁计算&值;当内层结构为彩钢夹芯板,则计算尺值时只考虑由夹芯材料、空气层、外墙组成的复合壁,可忽略夹芯两面的彩钢板的热阻影响。如果空气间隙未被装修材料封闭,把靠外墙的洁净室按内区处这里的空气间隙就变成非空调空间。这时,只需计算非空调空间对该洁净室的传热负荷(在后面介绍其算法)。
由于洁净室特殊的双层外围护结构,外墙传热系数K 值按多层复合壁计算(数值很小),算出的非轻型外墙传热形成的冷负荷与采用冷负荷系数法箅出的冷负荷相差不大。这就是前面所提到的当内层材料的保温性能好时(如彩钢夹芯板)不透明围护结构引起的冷负荷可按稳定传热计算的依据之一。
洁净室吊顶以上都留有足够的夹层空间来安装管道、设备,即使是位于顶层的洁净室,由于这个夹层的存在,屋顶的瞬变传热引起的冷负荷可不必计算,而只需计算相当于非空调房间的夹层对净室传热而产生的冷负荷。洁净室的装修,由T需要吸收土建施工的误差,其墙板紧贴上建外围护结构的很少,一般都留有较大的间隙。根据前面的分析,当把这个间隙按非空调房间对待时,对于非轻甩外墙和屋顶瞬变传热形成的冷负荷可以不做计算,把该洁净室按内区对待(紧贴土建外墙的洁净室除外)。
二 .内墙、楼板传热引起的冷负荷
三 .外玻璃窗瞬变传热引起的冷负荷
许多洁净室是不允许设计外玻璃窗的,对于洁净度级别要求低的洁净室,虽然允许设计外玻璃窗,但必须保证是密闭固定窗。根据洁净室的建筑结构特征,大多采用两层固定密闭玻璃窗。当洁净室按内区对待时,其玻璃窗传热按内窗考虑;当洁净室的墙板紧贴土建外墙或上建外墙经表面涂层处理作为洁净室墙面时(洁净度低的洁净室也有此结构),在室内外温差作用下,通过外玻璃窗的瞬变传热引起的冷负荷可按下式计算
四 .玻璃窗日射得热引起的冷负荷
不考虑外遮阳时,透过玻璃窗进人室内的日射得热形成的逐时冷负荷可按下式计算
五 .地面传热引起的冷负荷
参照《采暖通风与空气调节设计规范》(GB 50019—2003)的规定,若洁净室内的空凋属舒适性的,夏季可不计算通过地面传热引起的冷负荷;当洁净室位于低层,下面无地下室且有外墙时,对工艺性空调,宜计算距外墙2m范围内的地面传热形成的冷负荷。
六 .室内热源散热形成的冷负荷
洁净室内的热源散热主要指室内工艺设备散热、照明散热、人体散热等。设备种类较多,有些设备只能满足生产工艺的功能,对保温、隔热等方面存在先天缺陷,在运行过程中,散发大量的热蜇、湿景及粉尘。在设计时应充分调研、仔细研究,不能单纯按相关计算公式进行冷负荷计算。否则,设备形成的冷负荷太大,即使是洁净室的大风童也难以消除余热余湿,这就相当于室内生火炉再用空调降温一样,能耗太大。因此,要求设计人员仔细了解工艺过程,通过隔热、排热等措施,在方案阶段就考虑节能措施,不能等大M:的热散发至室内后再进行空调降温。如大输液配液罐的散热、纤维车间湿喷湿拉伸工艺的水槽散热、纤维碳化加热炉散热等。
在采用冷负荷系数法计算室内电动设备形成的冷负荷时,电动设备的额定功率只反映装机容量,实际的最大运行功率往往小于装机容量,而实际的运行功率也要比最大功率小。所以,在计算冷负荷时一定要考虑这些因素。
室内热源散热包括显热、潜热两部分。潜热散热直接成为室内的瞬时冷负荷,显热散热中只有以对流形式散出的热量成为室内瞬时冷负荷,而以辐射形式散出的热量先被周围壁面及物体的表面吸收,然后逐渐以对流方式散出,形成滞后的冷负荷。所以,在计算中,应分析各种设备的散热特点,采用相应的冷负荷系数。
洁净室风量计算
一、正压洁净室送风量QⅠ计算
1.乱流洁净室送风量计算Q1-1
乱流洁净室——1000级、10000级、100000级、300000级的洁净室,送风量是以换气次数为准来计算的:
QⅠ-1=KV
式中:K——换气次数;
V——洁净室净体积;
N——非单向流洁净室稳定含尘浓度;
G——洁净室内单位体积发尘量;
M——室外空气含尘浓度;
S——回风量与送风量之比;
ηH——回风通路上空气过滤器的总效率;
ηX——新风通路上空气过滤器的总效率。
实际工程计算中换气次数K很难用以上公式计算,一般均采用经验换气次数。在各国的洁净室标准中,相同级别的非单向流洁净室的经验换气次数并不相同。我国《洁净厂房设计规范》(GB50073-2001)中明确规定了不同级别的非单向流洁净室洁净送风量计算所需的经验换气次数,见下表:
空气洁净度等级GB 50073-2001ISO/DIS 14644—4医药洁净厂房设计规范
6级(1000级)50~6025~56
7级(10000级)15~2511~25≥25
8级(100000级)10~153.5~7≥15
9级(1000000级)10~153.5~7≥12
注:①换气次数适用于层高小于4.0m的洁净室。
②室内人数少、热源小时,宜采用下限值。
③大于100000级的洁净室换气次数不小于12次。
二、系统送风量QⅡ计算
系统送风量应在洁净室送风量基础上再加上系统漏风量。对于严格按《洁净室施工及验收规范》制作安装的风道系统和空调设备,建议其漏风率取下表数值:
式中:ΣQⅠ为各洁净室送风量之和。
三、系统新风量QⅢ计算
1.满足卫生要求洁净室所需的新风量Q1
(1)对于室内无明显有害气体发生的一般情况,按《洁净厂房设计规范》每人每小时新风量不得小于40m3计算:Q1-1=人数×40 m3/h。
(2)对于室内有多种有害气体发生的情况:
Q1-2= Qa+Qb+…+Qn
Qa= La/Ta Qb= Lb/Tb … Qn=Ln/Tn
式中:Qa…Qn——稀释各种有害气体必需的通风量;
La…Ln——各有害气体的发生量;
Ta…Tn——各有害气体允许最高浓度
有害气体允许最高浓度(mg/ m3)
式中:F1——缝隙面积;
E1——流量系数通常取0.3~0.5
v1——漏出风速
ΔP——室内外压差
ρ——空气重力密度常取1.2kg/m3。
以上缝隙法公式计算繁琐,还可以采用另一种换气次数法进行计算,换气次数根据经验值估算,即当洁净室的压差值为5Pa时,压差风量相应的换气次数为1~2h-1,当洁净室的压差值为10Pa时,压差风量相应的换气次数为2~4h-1。因为洁净室压差风量的大小是根据洁净室维护结构的气密性及维持的压差有关,所以在选取换气次数时,对于气密性差的房间可以取上限,对于气密性好的房间可以取下限。
2. 综上所述保持室内正压新风量:
Q2= Q2-1+Q2-2+Q2-3
对正压室要求特别严时,还应在Q2加上开关门和传递窗的漏风量。
3.满足一定比例的新风量Q3
当不能确切知道人员数或漏泄情况时,或者在初步方案时作为估计用,可采用新风应占总风量一定比例的方法来确定新风量。按《洁净厂房设计规范》规定,对于乱流洁净室,新风量不应小于总风量的10%~30%,对于单向流洁净室,新风量应不于总送风量的2%~4%。原则是:洁净度越低新风比越大。当然,对于全部用循环风的场合,或者工艺需要或允许时,新风比可不按以上比例取。
4.补充送风系统漏泄所需的新风量Q4
Q4=系统送风量×εΣ
=QⅡ×εΣ
5.系统新风量QⅢ
比较ΣQ1、ΣQ2和ΣQ3,取其最大值,“Σ”为各室该风量之和。然后加上系统漏风量Q4,即为系统的最后所需新风量。
QⅢ=(ΣQ1、ΣQ2、ΣQ3)max+Q4
四、系统的回风(循环风)量QⅣ的计算
系统的循环风量应为系统总送风量减去新风量。即:
QⅣ= QⅡ-QⅢ
洁净室洁净度校核计算
洁净室洁净度的计算按均匀分布理论计算,不均匀分布理论计算两种方式。
1,均匀分布理论计算
设洁净室系统的基本图示,如图所示:

系统假设:
A.认为室内含尘浓度是均匀分布的
B.设通风稳定
C.发尘量是常数
D.大气层浓度也是常数
E.忽略室内外灰尘的密度和分散度的变化对过滤器效率的影响
F.忽略灰尘在管路系统和室内的沉降作用等
则通路上过滤器的总效率为:

根据上述图示和一系列假设,进入洁净室内的尘粒应由3部分组成:
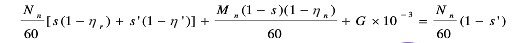
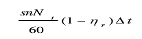
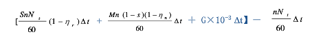
A.新风带进室内的尘粒:在△t时间内每升空气由新风而增加的尘粒数量为:

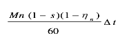
B.由回风带进室内的尘粒:在△t时间内,由回风而增加的尘粒数为:

C.在△t时间内:室内发尘而使室内每升空气增加的尘粒数量为G*10-3 △t(Pc/L);在△t时间内室内每升空气由通风换气排出的尘粒数量为:

由以上分析可知,在△t时间内洁净室内含尘浓度的变化为:△Nt=进入的含尘浓度-排出的含尘浓度为:

根据初始条件,当t=0时,室内的含尘浓度即为洁净室原始含尘浓度N0,将此条件带入上式即可求出积分常数C,之后再带回原式即可求得洁净室含尘浓度瞬间式为:

应用此式时,需要注意系统中哪些过滤器组合效率是ηn,哪些是ηr,就可以较方便的列出某一系统的稳定式。
单向流洁净室含尘浓度计算问题:
单向流洁净室内人的发尘可以不考虑;
回风带入的尘粒也可忽略。
多室、有局部净化设备时的含尘浓度计算
A.多室含尘浓度计算。
如图,设第一洁净室的含尘浓度N1=3 pc/L,第二洁净室N2=3000pc/L。

一般多室系统总回风的含尘浓度不会超过该系统最脏的1个洁净室的含尘浓度,就本图而言,则不会超过N2=3000pc/L。若假定3000pc/L就是总回风含尘浓度,即比N1提高1000倍。所以对于多室系统的1室来说,极端情况相当于在回风含尘浓度提出1000倍条件下的单室系统的运行。其含尘浓度平衡方程式为:

由于回风通路上设有高校过滤器,对于不小于0.5um尘粒的效率达ηr=99.999%,即:

式中,N:单室系统时的含尘浓度。
上述分析推导说明,对于末级过滤器的空气净化系统,不管多室还是单室,均可按单室的稳定式求多室各室的稳定含尘浓度。www.iwuchen.com
B.有局部净化设备时的含尘浓度计算。
列出稳定状态时的浓度平衡方程式:


2,不均匀分布理论计算法
设发尘量是均匀的、稳定的,只是尘粒分布不均匀,即室内区域的浓度差。下面将针对单个送风口的房间的3区不均匀分布模型给予理论分析,如右图所示。

下表列出了室内尘粒分布的不均匀性和区域间浓度比变化。
工作区浓度和回风浓度的比率:



洁净室含尘浓度N-n通式的物理意义是:
N=Nr (60G*10-3)/n部分即为尘粒均匀分布条件下的含尘浓度。剩余部分令其为不均匀系数ψ。

由上式可以看出,按不均匀分布理论计算的含尘浓度等于按均匀分布理论计算的含尘浓度乘以不均匀系数。
若已知洁净室要求达到的含尘浓度,而求换气次数nv.

b.不均匀分布系数ψ的确定
Ψ=(β,φ,vb/v)
β=主流区发尘量与总发尘量之比。
Φ值的确定,对侧送封口:

vb/v:对于单向流洁净室,过滤器满布时,vb/v=0.02;
满布比为60%时,取vb/v=0.06;
满布比为40%时,取vb/v=0.12;
对侧送风口,取vb/v=0.5-0.7。
根据换气次数可查Ψ(顶送风口)

0人已收藏
0人已打赏
免费1人已点赞
分享
洁净空调系统
返回版块7.34 万条内容 · 483 人订阅
阅读下一篇
当前洁净室暖通通风设计的现状及问题洁净室对室内的温湿度、压力及洁净等级都有很高的要求,这需要借助通风系统向内部持续输入经过处理的空气,这样才能确保洁净室内的各项指标在规定的范围内。换句话说,要确保洁净室内空气的洁净度及温湿度等,需要不断地进行换气,将室内不达标的气体排出,再通入合格的气体,而这一过程离不开一套完备的通风体系。本文对洁净室通风系统设计的原则和需要注意的一些问题进行了分析。 1
回帖成功
经验值 +10
全部回复(0 )
只看楼主 我来说两句抢沙发